Next Article in Journal
Enhancing the Performance of Biodegradable Lignin Nanoparticle/PVA Composite Films via Phenolation Pretreatment of Lignin Using a Novel Ternary Deep Eutectic Solvent
Next Article in Special Issue
Experimental Study on Impact Resistance of Thermoplastic Fiber–Metal Laminates with Different Layup Sequences
Previous Article in Journal
Microstructure and Mechanical Properties of Steel/Lead Bi-Metal Tubes Produced by Magnetic Pulse Welding
Previous Article in Special Issue
RETRACTED: Study on the Alloying Elements Competition Mechanism of Nix1Crx2Cox3Al15Ti10 Alloys Based on High-Throughput Computation and Numerical Analysis
 
 
Font Type:
Arial Georgia Verdana
Font Size:
Aa Aa Aa
Line Spacing:
Column Width:
Background:
Review

Evolution from Microstructure to Macroscopic Properties: Zirconium Alloys Under Irradiation

1
State Key Laboratory for Reliability and Intelligence of Electrical Equipment, Hebei University of Technology, Tianjin 300401, China
2
Key Laboratory of Hebei Province on Scale-Span Intelligent Equipment Technology, Hebei University of Technology, Tianjin 300401, China
3
School of Mechanical Engineering, Hebei University of Technology, Tianjin 300401, China
*
Author to whom correspondence should be addressed.
Coatings 2024, 14(12), 1543; https://doi.org/10.3390/coatings14121543
Submission received: 8 November 2024 / Revised: 28 November 2024 / Accepted: 4 December 2024 / Published: 10 December 2024
(This article belongs to the Special Issue Microstructure, Mechanical and Tribological Properties of Alloys)

Abstract

The application of zirconium alloy in nuclear reactors is supported by its excellent performance and corrosion resistance, but under the action of high-energy neutrons, the atoms in the lattice will change, resulting in the accumulation of lattice defects and the evolution of the microstructure, which not only affect the strength and shape of the material but also affect the tensile resistance, impact resistance and other mechanical properties of the zirconium alloy. Common industrial processes for the preparation of nuclear-grade zirconium sponges are discussed, the advantages, disadvantages and applications of the main production processes are summarised, and the characteristics of irradiation-induced loops are comprehensively examined, encompassing their formation mechanisms, interactions with dislocations, and the range of potential microscopic defects during irradiation. In addition, the phenomena of irradiation growth and irradiation creep and their relationship with microstructure evolution are also discussed. The effect of oxidative corrosion under irradiation has also been explored. Specifically, irradiation can aggravate the corrosion process of zirconium alloy and lead to the thickening of the corrosion layer, but the specific degree of influence is closely related to the working temperature and irradiation conditions. The comprehensive study of zirconium alloy under irradiation conditions aims to provide a scientific basis for the future design of long-life and high-reliability nuclear reactor materials and support the sustainable development of the nuclear industry.

1. Introduction

The development of the nuclear industry is inseparable from the support of high-performance structural materials, and Zr alloy plays a pivotal role in nuclear reactors due to its excellent performance and corrosion resistance. Nevertheless, exposure of Zr alloys to irradiated environments leads to alterations in their microstructure and mechanical characteristics, thereby presenting novel challenges to the safety and reliability of nuclear reactors. The atoms in the Zr alloy lattice undergo various changes, resulting in the accumulation of lattice defects and the evolution of the microstructure under the action of high-energy neutrons. The intense neutron bombardment of atoms in the lattice of Zr alloy leads to the accumulation of lattice defects and the evolution of the microstructure, triggering the formation of defects such as irradiation-induced loops, which affect not only the strength and plasticity of the Zr alloy but also other mechanical properties such as tensile and impact resistance. It can be seen that a thorough understanding of the behaviour of Zr alloy under irradiation conditions is essential to predict the evolution of their macroscopic properties.
Placing a particular emphasis on the progression of microstructural alterations, the emergence and classification of irradiation-induced loops, as well as their subsequent effects on dislocation migration, the present work endeavours to offer a comprehensive examination of previous investigations into Zr alloys subjected to irradiation conditions. By conducting a thorough analysis of these microscopic deformation mechanisms, a deeper understanding of the behaviour of Zr alloy under irradiated conditions can be attained, laying a robust groundwork for predicting and optimising their macroscopic properties. Detailed discussions will encompass the characteristics of irradiation-induced loops, encompassing their formation mechanisms and interactions with dislocations. Furthermore, embarking on an examination of the diverse microscopic defects that can manifest during irradiation, the present review endeavours to analyse their probable influence on the macroscopic mechanical characteristics and corrosion resilience of Zr alloy. The comprehensive study of Zr alloy under irradiation conditions is expected to provide an in-depth scientific basis for the design of safer and more efficient nuclear reactor materials in the future and will provide strong support for the sustainable development of the nuclear industry.
The structure of this review is illustrated in Figure 1. Firstly, an overview of the preparation process of nuclear-grade Zr alloys is provided, followed by a description of the transformation of the microstructure of Zr alloys under irradiation. Subsequently, the discussion will proceed to examine irradiated Zr alloys in greater detail and in a systematic manner, beginning with an analysis of the microstructure and progressing to an investigation of macrodeformation. Furthermore, the particular phenomenon of oxidative corrosion under irradiation is presented in summary form. In conclusion, the findings of the comprehensive review and summary are used to discuss the prospective developments and future research directions of Zr alloys under irradiation.

2. Preparation of Nuclear-Grade Zr Alloys

Nuclear-grade Zr alloys represent a significant component of the nuclear industry, with the synthesis process relying heavily on the production of high-purity nuclear-grade Zr sponge. This chapter will examine the intricate steps involved in the synthesis of these alloys, with a particular focus on the pivotal processes of Zr purification, magnesium thermal reduction and vacuum distillation. The synthesis process begins with the raw material, Zr sand. Several key stages are involved, including the production of Zr tetrachloride (ZrCl4), the separation of Zr from hafnium, the purification of ZrCl4, magnesium-thermal reduction and finally, vacuum distillation to refine the final product.

2.1. Zr Tetrachloride Production and Purification

The first step involves the conversion of zircon sand to Zr tetrachloride (ZrCl4) by the carbochlorination process, which is represented by the reaction:
ZrO2(s) + 2C(s) + 2Cl2(g) → ZrCl4(g) + 2CO(g)
One of the crucial intermediate products is subsequently purified to eliminate any impurities, including iron (Fe) and chromium (Cr), which may have a detrimental impact on the quality of the final alloy. The purification process typically entails the reduction of FeCl3 and CrCl3 to the divalent form through the use of hydrogen (H2), as demonstrated by the following reaction:
2FeCl3 + H2 →2 FeCl2 + 2HCl
2CrCl3 + H2 → 2CrCl2 + 2HCl
Following this purification stage, the purity of Zr chloride is markedly enhanced, thereby facilitating the manufacture of high-quality nuclear-grade Zr sponge.

2.2. Magnesium Thermic Reduction

The core of the synthesis process is the magnesium thermic reduction of purified ZrCl4, which is represented by the reaction sequence:
2ZrCl4(g) + Mg(l) → Zr(s) + MgCl2(l)
As shown in Figure 2, This exothermic reaction is conducted in either a single-tank or dual-tank reduction furnace, with the latter offering better control over reaction conditions and product quality. However, the single-tank approach is more prevalent due to its simplicity and higher throughput.

2.3. Vacuum Distillation

A mixture of Zr, unreacted magnesium and magnesium chloride, known as the magnesium thermic reduction product, is then subjected to vacuum distillation. This process enables the separation of the desired Zr sponge from impurities, employing the different vaporisation pressures of the components when heated. This purification step effectively removes residual chlorine and magnesium, enhancing the purity of the Zr sponge.
The synthesis of nuclear-grade Zr alloys is a complex process that necessitates precise control at each stage. From the initial production and purification of Zr tetrachloride through to the final vacuum distillation, it can be seen that each step plays a pivotal role with regard to the attainment of the desired high degree of purity and quality in the finished product. Ongoing research and the application of technological innovations are aimed at further optimising the process, with the objective of enhancing efficiency, reducing costs and mitigating environmental impacts, thereby ensuring the future of nuclear energy and the sustainability of the nuclear-grade Zr alloy industry.

3. Effect of Irradiation on the Microstructure of Zr Alloy

The tensile strength and yield strength of Zr alloy both increase, and the elongation decreases after neutron irradiation. Neutron irradiation affects Zr alloys in two main ways: the formation of microstructural defects and the alteration of mechanical properties due to the accumulation of these defects. A comprehensive experimental analysis of the microscopic deformation mechanisms is essential for elucidating and predicting the macroscopic mechanical behaviour of irradiated Zr alloys. Irradiation-induced changes in microstructure primarily include dislocations, voids, vacancy loops and the evolution of defect clusters and cavities.

3.1. Microscopic Defects

Neutron irradiation induces a cascade of displacements in crystalline materials, generating numerous point defects (vacancies and gaps) (SIAs) localised near the impact site. Within a few picoseconds post-collision, a cascade of fragments persists, comprising single-point defects (vacancies and gaps) and clusters thereof [1]. As shown in Figure 3, these defects propagate, aggregate and emit further point defects, giving rise to macroscopic defects like dislocation loops or voids. The evolution of crystal defects in Zr alloys is a complex process involving the formation of interstitial <a> loops and void <a> loops, which are closely related to specific crystallographic orientations and stress states. Although simulation studies have observed the formation of vacancy loops and stacked-layer fault pyramids (SFPs), these structures have not yet been detected experimentally in zirconium alloys, suggesting the need for further experimental validation and parameter optimisation. Enhancing the correlation between experimental and simulation results, optimising material properties and designing new alloys to improve their stability and performance in irradiated environments are key future trends.
The evolution of microstructure, influenced by the formation of defect clusters, serves as the fundamental mechanism responsible for the macroscopic deformation seen in numerous irradiated materials. While certain materials display isotropic deformation (radiation-induced expansion in cubic alloys), others, such as Zr alloys, reveal anisotropic growth patterns. Zr alloys are widely utilised as fuel cladding tubes within the nuclear sector due to their low thermal neutron absorption cross-section and outstanding corrosion resistance. It is well-established that radiation damage in Zr alloys predominantly manifests as small prismatic dislocation loops aligned along substrate vectors within the {1010} prism plane. These radiation-induced loops have been observed to exhibit vacancies or interstitial sites along the substrate vectors. In the hexagonally closest-packed arrangement, there are three unique sets of induced loops that correspond to the three potential basal vectors within the {1010} prism habit plane, all of which are uniformly distributed. Furthermore, these loops exhibit near-perfect characteristics, making them susceptible to sliding along their respective cylindrical axes.
The documented rise in metal intensity following irradiation can be attributed to the formation of high-density, radiation-induced loops, which serve as impediments to dislocation slip. Indeed, when a dislocation encounters an induced loop, a junction may form, serving as a pinning site for the dislocation. However, in face-centred cubic (FCC) metals, dislocations can drag or even annihilate the induced loop. The process of eliminating irradiated loops through dislocation mobility results in the formation of defect-free channels, which subsequently serve as favoured pathways for enhanced dislocation motion. This phenomenon is evidenced by the dislocation channelling observed in a range of irradiated metallic materials.
In 2005, using molecular dynamics simulations under strictly controlled parameters, a significant investigation was conducted into the interactions of dislocation loops within irradiated Zr alloys [2]. Despite these methodical investigations, the delineation between prismatic and basal slip systems persisted in ambiguity, underscoring the need for deeper inquiry. To address this, the genesis of the dislocation channel mechanism and the modifications within the easy-slip system subsequent to irradiation were probed through ion irradiation of recrystallised Zr-4 alloy samples. Post-irradiation, these samples underwent in situ uniaxial tensile testing within a transmission electron microscope (TEM), facilitating an unobstructed view of the dynamic interplay between dislocation slips and the radiation-induced loops. Further investigations conducted by F. Onimus utilised the advanced techniques of TEM and revealed the fascinating occurrence of defect-free pathways within Zr alloys [3]. Prior to irradiation, the prismatic slip system predominates at 350 °C, demonstrating the alloy’s propensity for plastic deformation under normal conditions. However, upon exposure to irradiation at equivalent temperatures, a significant shift occurs; the basal slip system emerges as the primary mode of dislocation movement. Due to the complex interactions between radiation-induced loops and dislocations, as they traverse the basal and prismatic planes, this transition can be credited. The observations have been instrumental in deciphering the alterations in slip systems post-irradiation, offering a compelling perspective on the microstructural dynamics within Zr alloys.
Figure 4 shows that the dislocation structure underwent three stages. At the low dose (Figure 4a), small rings are formed before incorporating the dislocation network (Figure 4b), at which the dislocation density is saturated. At high doses (Figure 4c), a complete gap-type atomic plane is formed and the dislocation network breaks into a ring that can decrease the dislocation density [4].
Figure 5 illustrates the evolution of the {1 1 ¯ 02} diffraction peak profile with dose. This plot demonstrates the saturation of microstructure within the peak profile at high doses. In the transient region, the peak intensity initially decreases, subsequently increases and stabilises at a consistent level. The indication that the dislocation density nears saturation emerges from this. The interaction between the irradiation-induced ring and slip dislocations was investigated in recrystallised Zr-4 specimens using in situ transmission electron microscopy during tensile testing. The findings indicate that under high induced ring densities, dislocations from the main prismatic slip planes can bypass the irradiation-induced loops through narrow channels.
When the induced loop exhibits significant dimensions and low densities, it is observed that the induction loop and the prism-slipping dislocations within the primary prismatic plane tend to coalesce. Elucidating the specific instances observed in neutron-irradiated Zr alloys, this discourse delves into the mechanisms of induced loop clearance and the formation of primary prismatic channels. Conversely, induced loops were observed to serve as robust impediments to primary prismatic plane slipping, thereby elucidating the macroscopic irradiation-induced hardening phenomena. A detailed theoretical analysis of the linkage between dislocations and induced loops reveals that the connection is stable when formed on the primary prismatic surface. However, when slipping occurs on the basal plane, the linkage becomes mobile. The enhanced likelihood of basal channel formation in neutron-irradiated Zr alloys is thereby explained. Nevertheless, even with the advancements achieved in dislocation dynamics modelling, it is crucial to elevate the accuracy in assessing the complex behaviours of dislocation-induced loop interactions within these alloys when subjected to irradiation.

3.2. Modeling Under Simulated Irradiation Conditions

Owing to the exorbitant costs, extended durations and substantial risks associated with neutron irradiation experiments, coupled with the pronounced radioactivity of irradiated materials, which impedes sample preparation and microscopic characterisation, it has increasingly become conventional practice to investigate the irradiation effects on Zr alloys using charged particles (e.g., electrons, protons or heavy ions) to emulate neutron irradiation conditions or to model the microstructural changes of Zr alloys under irradiated conditions.
A Monte Carlo model of object dynamics (OKMC), parameterised through atomic-scale calculations and experimental data, was employed. To elucidate the growth and microstructural evolution of recrystallised Zr alloys under irradiation, pioneering the development of a target dynamics Monte Carlo (OKMC) approach for simulating the microstructural evolution of pure Zr crystals under neutron irradiation, Christiaen achieved a notable advancement by focusing on systems devoid of additional alloying elements [1]. As depicted in Figure 4, an accelerated increase in pyramid density, pivotal for vacancy capture and subsequent enhancement of interstitial object growth, is observed from 3 dpa onwards through simulation, as noted by Christiaen [1]. Notably, at 8 dpa, the microstructure reveals a marked enlargement of the void ring. Both the size and density of pyramid loops exhibited substantial augmentation alongside the pyramid density. The model effectively reproduces macroscopic deformations, encompassing the presence of various defect types: (a) void loops and vacancy loops, (c) vacancy loops and (a) loops aligned parallel to the base plane. According to this model, once the hierarchy of the (a) interstitial prismatic ring forms, the absorption of self-interstitial atoms (SIAs) by the (a) ring is optimised, thereby facilitating the growth of vacancy defects. Despite its predictive capability, the OKMC method still exhibits limitations in accurately replicating the irradiated microstructure of Zr alloys. Specifically, it fails to simultaneously generate void loops and both (a) and (c) vacancy loops, all of which are observed experimentally. In practice, once the (a) vacancy ring initiates and expands significantly, the (c) ring lacks stability under these conditions to support its growth.
Unveiled by the comprehensive sensitivity analyses conducted in this study are phenomena not detected in prior simulations, which identify particular parameter configurations that facilitate the coexistence of various vacancy ring types (a) and (c) within the system [1]. Focused on the modelling of several critical parameters within the OKMC method, a sensitivity analysis is conducted to enhance its predictive accuracy by Sakaël [5]. They proposed an object dynamics Monte Carlo (OKMC) model that is parameterised using advanced atomic-scale calculations and relevant experimental data. Accelerated macroscopic growth arises from the simultaneous formation of (c) vacancy loops and (a) gap loops parallel to the basal plane, which is directly related to the anisotropy of vacancy diffusion. We investigate the transition probability from vacancies to (a) vacancy loops and the relative stability between stacked pyramids, (c) loops and (a) vacancy loops. The results show that these parameters have a significant impact on the macroscopic deformation or point defect density, which includes factors such as irradiation flux and temperature at 1 × 10−7 dPa s−1. Figure 6a shows that near 3.5 dPa, the structures formed at lower doses disappear and are rapidly replaced by new arrangements. At 5 × 10−7 dPa s−1, Figure 6b depicts the arrangement formed at the lower dose and the subsequent appearance of the arrangement between 3.5 dPa and 4 dPa.
The simulation results clearly indicate that the generation or dissolution of alignment exhibits fluctuating behaviour at low fluxes, whereas this phenomenon does not manifest at high fluxes. The study results emphasise the critical need to enhance our understanding of its nucleation mechanism under irradiation conditions. Researchers focus on the study of Zr-0.6Fe alloy deep inside the dislocation ring forming <c>. The bright field (BF) and dark field (DF) maps of the c-type dislocation ring in Zr-0.6Fe under Ne+ irradiation are shown in Figure 7. The considered imaging g-vector is orientated at (0002) near the {11 2 ¯ 0} zone axis; the loops are carefully depicted using red arrows, and the distribution of dislocation loops within Zr-0.6Fe comprises a much wider regional span within the damage layer, mainly concentrated within approximately 400 nm from the irradiated surface. This finding is consistent with the penetration depth predicted by SRIM, where 400 keV Ne+ produces an antipodal damage region of about 360 nm in the Zr matrix. Statistical analysis of the observations of 264 dislocation loops yielded average sizes and densities of 129.8 nm and 2.35 × 1020 m−3 for these loops, respectively. For the case involving the irradiation of Au3+, a similar observation was made for the (c) characterised loops, and the relevant results are shown in Figure 7c,d. A large number of loops were observed within Zr-0.6Fe at doses up to 30 dpa, uniformly dispersed throughout the irradiated layer [6]. Furthermore, it is worth noting that the projection of dislocation loops in Zr-0.6Fe under Ne+ and Au3+ irradiation exhibits a significant orientation dependence, maintaining a rough alignment along the g = 0002 direction.
By further combining the average size and density of these defects and following Taylor’s law of hardening, Xia established a mechanical model for Zr-Fe alloys based on the experimental results after ion irradiation, as shown in Figure 8, which theoretically investigated the contribution of different hardening mechanisms in ion irradiation, especially addressing the effect of non-uniformly distributed defects [6]. Theoretical analyses show that the hardening of irradiation defects in Zr-Fe alloys follows different patterns at different depths, whereas precipitation hardening is attributed to the high density of reinforcing particles induced by the addition of Fe.
The current understanding of irradiated creep and irradiation-induced growth (IIG) remains predominantly phenomenological, with existing models unable to predict changes in dislocation content from first principles that are consistent with, or at least validated by, experimental data.

4. Irradiated Growth and Irradiated Creep

4.1. Irradiated Growth

Irradiation growth is a phenomenon initially observed in uranium alloys. Early research on the mechanism of irradiation-induced growth and modelling in Zr alloys heavily relied on insights derived from uranium. It refers to dimensional changes in Zr alloy reactor components, even under zero nominal applied stress. In a constant-volume process, a decrease in width, thickness or both is required as component length increases to maintain the constant volume. While the detailed mechanisms are still being elucidated, a clear correlation exists between growth and microstructural evolution, supported by numerous empirical observations revealing key mechanistic insights.

4.1.1. Irradiation Growth Mechanism

Drawing parallels to the mechanism observed in U, the irradiation-driven growth in Zr can be rationalised by an analogous process [7]. Notwithstanding qualitative resemblances, Zr distinguishes itself through its reduced thermal expansion anisotropy in comparison to U. For Zr alloys specifically, we can advance the hypothesis that the stresses generated by thermal spikes within the collision cascade foster the preferential emergence of clearance loops on {10 1 ¯ 0} prismatic planes and vacancy loops on the basal plane (0001). Acknowledging the c-axis as the primary axis of pronounced thermal expansion, Buckley surmised that the stress component would manifest as compression along this direction [8,9]. While the stresses within thermal spikes may uniformly assume a compressive nature contingent upon temperature conditions, the predominant forces conspire to favour the formation of vacancy loops on (0001) and clearance loops on {10 1 ¯ 0}, thereby accounting for the energy expenditure in establishing the supersaturated solid solution, as illustrated in Figure 9.
The prevalent presence of vacancies in basal loops in natural settings prompts a logical hypothesis of selective vacancy absorption at A-type loops. The reasoning is based on a simplified model of irradiation-induced growth proposed by Buckley, which focuses on two main types of point defects: C-type dislocation loops located on basal planes and A-type dislocation loops found on prismatic planes [7]. The model is suitable for coarse-grained Zr alloys after annealing, where dislocation loops induced by radiation damage serve as the primary sinks for defects. Currently, the mechanism underlying the stabilisation of vacancy basal loops remains incompletely elucidated. Several studies indicate that impurities play pivotal roles, yet conflicting observations, notably concerning iron, suggest they may retard growth [7,10,11,12]. Iron can impact radiative growth via diverse pathways, including the direct promotion of recombination or indirect enhancement of recombination site density [13,14]. Additionally, Fe seems to catalyse the formation of c-type dislocation loops in electron-irradiated doped Zr, varying by Fe concentration [15]. Segregation of Fe at dislocation loops has also been documented in Ti irradiated with electrons and protons [16]. Alloying elements and impurities notably influence irradiation growth by affecting point defect aggregation; however, other critical factors include the manufactured microstructure, encompassing texture, dislocation density and grain morphology.

4.1.2. Irradiation Temperature

Transients in irradiation-induced growth occur due to microstructural changes (such as the evolution of subsidence structures like dislocation loops), residual relaxation of intergranular stress or both revert and recrystallisation effects. In a static microstructure, irradiation temperature, besides dose, is the primary factor influencing irradiation-induced growth when transient effects are absent [5]. Zr and uranium (U) exhibit similar patterns of irradiation-induced growth, attributable to their anisotropic crystal structures and properties. However, they diverge regarding temperature dependence: irradiation growth decreases with temperature for uranium (higher at lower temperatures), whereas for Zr alloys like Zr-2 and Zr-4, it generally increases (higher at higher temperatures) [16].
The reasoning is based on a simplified model of irradiation-induced growth proposed by Buckley, which focuses on two main types of point defects: C-type dislocation loops located on basal planes and A-type dislocation loops found on prismatic planes [7,16]. Nonetheless, the axial irradiation growth of cold-worked Zr-2.5 Nb declines with rising temperature. This insensitivity could stem from the resistance of cold-worked Zr-2.5Nb to factors governing the formation of C-type dislocation loops observed in Zr alloys, originating from pre-existing helical dislocations in cold-worked materials [17]. Furthermore, the Zr-2.5Nb pressure tube exhibits a small grain size, potentially enhancing grain boundary dominance in the sedimentation structure. Thus, the inverse relationship between axial irradiation growth and temperature arises from the growing impact of increasing DAD [18,19]. Given that irradiation-induced growth depends directly on the allocation of excess vacancies to basal planes and gaps to the mesa sites, enhanced grain boundary influence on growth increases the likelihood of deviation.
Furthermore, should the population of C-type dislocation loops indeed rise at higher temperatures, as suggested, circumventing this phase in microstructural evolution through nucleation and growth on the pre-existing Cpa helical network dislocations could mitigate reliance on this rate-determining constituent amid irradiation-induced expansion [10,19]. In fine-grained materials like Zr-2.5Nb pressure tubes—characterised by radially flat grains with a transverse basal texture—achieving negative temperature dependence involves reducing anisotropic diffusion (DAD) at lower temperatures and correspondingly increasing it as the temperature rises.
The concept of DAD was initially introduced by Thom and applied to the irradiated growth of Zr alloys. Based on this, a radiation growth model, which mainly focuses on dislocation, is further developed [18,19,20,21,22,23]. Incorporating grain boundaries as bias sinks—a concept attributed to anisotropic diffusion—the DAD concept elucidates the anomalous temperature dependence observed in the irradiated growth of non-standard Zr-2.5Nb pressure tubes (TG3 RT1 tubes) [22,23,24]. Despite similar textures, TG3 RT1 tubes exhibit negative axial irradiation growth compared with standard pressure tubes [25].
TG3 RT1 tubes are designed with a lower dislocation density to mitigate growth; consequently, grain size is reduced to maintain strength [24,25]. Assuming anisotropic diffusion intensifies with rising temperature, DAD explains both the negative temperature dependency in growth for standard pressure tubes and the growth sign variance in non-standard TG3 RT1 tubes [23,26]. Unlike the negative temperature dependence seen in axial irradiation growth of cold-worked Zr-2.5Nb pressure pipes, cold-worked Zr-2 shows an opposite temperature response when c-type dislocation loops are not formed [16,26]. Specifically, results suggest that between 550 K and 600 K (277–327 °C), the growth rate of cold-worked Zr-2 decreases as temperature rises, which is unlike annealed Zr-2, above approximately 673 K (400 °C), irradiation-induced growth intensifies, showcasing considerable variability attributed to the formation of c-type dislocation loops, as evidenced in Rogerson’s investigation [27].
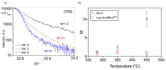
Figure 10a illustrates the impact of various a-ring structures in Zr-2 on the tail of the (103) peak following irradiation to 2 dpa at 280 °C and 450 °C. The increased tail observed in the sample irradiated at 280 °C suggests a pronounced dipole characteristic, whereas the diminished tail in the sample irradiated at 450 °C indicates a weaker dipole feature. The variation in dipole properties among the three samples arises from alterations in the diameter of the a-ring. Figure 10b illustrates the Wilkens permutation parameter values from the CMWP as a function of irradiation temperature. The M values of Zr-2 alloy notably increased with rising irradiation temperatures, whereas those of low tin exhibited a slight decrease.
The distinct temperature sensitivity observed in the formation of a-loops between Zr alloys arises from the inclusion of niobium in low-tin ZIRLOTM [28]. Notably, as irradiation temperatures escalated, Zr-2 alloy exhibited a significant augmentation in the size of a-type dislocation loops and a corresponding reduction in the density of a-loops. Conversely, the low-tin ZIRLOTM displayed minimal responsiveness to such temperature variations. Specifically, between 280 °C and 450 °C, the diameter of a-type dislocation loops in Zr-2 expanded remarkably from approximately 7 nm to around 86 nm, whereas in low-tin ZIRLOTM, it increased marginally from about 6 nm to 9 nm. A similar trend of decreasing number density of a-type dislocation loops with increasing irradiation temperature was observed in both Zr-2 and Zr-2.5Nb alloys, as explored by Buckley in a parallel study examining the influence of electron irradiation temperature [9]. However, further examinations revealed that upon irradiation at 500 °C, the A-ring in Zr-2 was notably larger compared to that in the Zr-2.5Nb alloy.

4.1.3. Simulated Irradiated Growth Modelling

Two methods exist for modelling irradiation-induced growth: empirical and mechanistic. Empirical models differ from mechanistic models in that they aim to describe the phenomenon by establishing statistical relationships from the data and are only applicable within the variable range used to derive their parameters [29]. Mechanistic models are intended to accurately describe phenomena, including contributions to the underlying physical mechanisms of the model under study, and are generally applicable beyond available data limitations. In the absence of operational experience, many early models were mechanistic or semi-empirical in nature.
Prior to 1980, the earliest empirical and semi-empirical models of irradiation-induced growth in Zr alloys were pioneered by Christensen, Harbottle, Cornell and Bullough and Wood [30,31,32,33,34]. Owing to the paucity of high-quality data on irradiation-induced growth, a shift toward mechanistic models became prevalent among researchers. Presently, researchers have leveraged an additional 40 years of operational data alongside abundant test data accumulated from numerous research reactors operational for over 50 years. In design and licensing analyses, the empirical correlation for irradiation-induced growth in Zr alloys often follows a power law proposed by Woo and Mahmood [33,34,35,36,37].
In the simulation of irradiated growth in Zr alloys, a diverse array of mechanical models has been proposed, predominantly rooted in rate theory. Early models posited that only interstitial loops formed under irradiation, whereas subsequent models regarded dislocations as net sinks for interstitials, promoting growth via migration across grain boundaries.
Certain models account for the coexistence of vacancies and type A-dislocation loops despite grain boundaries predominantly exhibiting gap characteristics at reactor temperatures. The concept of intrinsic anisotropic interstitial diffusion, offering an explanation for irradiated growth—particularly in the context of mixed populations of vacant and interstitial A-type dislocation loops—was introduced by Woo and Gosele [22]. Some models also entertain the possibility of a stable vacancy ring forming on the basal surface. As irradiation dose accumulates, transient behaviour becomes pronounced, prompting study into the impact of grain interaction stress on irradiation growth. Grain boundaries are recognised as crucial sinks for point defects in polycrystalline Zr, particularly in annealed Zr alloys. Reduction in grain size correlates with heightened irradiated growth. Certain models regard grain boundaries as sinks for vacancies, particularly in annealed Zr alloys. Methodologies are offered by certain models that establish correlations between growth and texture during the initial transient phase of irradiation growth in annealed materials, in describing this phenomenon. Under these conditions, irradiation-induced strain increases rapidly with dose escalation before tapering off to zero or minimal rates.
These models aim to elucidate the intricate physical mechanisms underlying irradiated growth in Zr alloys, considering various variables and factors, thereby offering a framework to comprehend material behaviour in a radiative environment.

4.2. Irradiation Creep

Irradiation creep should be distinguished from irradiated growth, even though the latter contributes to the observed creep strain, as the material undergoes stress increase from an initial zero-stress state. Unlike most other engineering alloys, Zr alloys exhibit anisotropic deformation under irradiation in the absence of external stress. The application of stress alters this deformation, characterising it as irradiation creep.
Radiation creep and growth exhibit distinct separability and additive characteristics. Historically, irradiation creep was attributed primarily to network dislocation slippage, yet recent findings indicate that it also involves cumulative strain resulting from diffusion transport and dislocation slip. Irradiated creep exhibits a distinct anisotropic response compared to thermal creep, likely due to differing influencing mechanisms [2]. In contrast to thermal creep, irradiated creep seemingly impedes dislocation slip. Yet, there remains insufficient data on whether the dislocation climbing mechanism prevails under nuclear reactor conditions. Since its initial observation in nuclear reactors during the 1950s, irradiation creep research has represented a frontier in international scientific inquiry [36]. Nonetheless, further investigation into the underlying deformation mechanisms is warranted.

4.2.1. Irradiation Creep Mechanism

Irradiated creep displays anisotropy due to dislocation slip, which contrasts with thermal creep. The effect may arise from stress impacting the intrinsic anisotropic diffusion of point defects induced by irradiation, known as the elastic diffusion effect. Effective linkage of irradiated creep to the growth process can be achieved by considering the influence of stress on mass transfer, which facilitates the continuous evolution of stress. The mechanism of irradiation creep likely extends to deformation even without applied stress, attributed to (1) grain interaction stresses inherent in manufacturing and (2) stresses induced by intrinsic irradiation growth in textured polycrystals’ individual grains. However, particularly at high irradiation growth rates, deformation without applied stress can be attributed solely to the material’s intrinsic deformation (irradiated growth). Irradiation creep illustrates how applied stress externally influences growth behaviour.
Involving the direct accumulation of strain through diffusion-driven mass migration and dislocation slip, the mechanism underlying irradiation creep is influenced by the relative dominance of each process, which depends on neutron flux and irradiance. Nevertheless, further investigation is warranted into the underlying mechanisms of deformation.
Figure 11 shows the deformation microstructures that formed after the indentation creep test under irradiation at 300 °C. Figure 11a is an overall STEM image of the FIB sample, with three grains observed in this sample. The grain orientation is similar to the room temperature sample. However, different to the room temperature microstructure, more twins are present after testing at 300 °C, identical to what was seen in the nonirradiated microstructure [38]. Twins that surround the contact surface are much larger than seen in the room temperature sample. In addition, there are extremely large twins that stretch into the grain down to the grain boundary, as indicated by red arrows. These twins are determined to be {1 1 ¯ 01} < 1 ¯ 012> type by acquiring DP along the [11 2 ¯ 0] zone axis.
Figure 11e–g show the presence of double dislocations in this sample. After the indentation creep test at 300 °C, the dislocation network was observed close to the surface, while most of the irradiated loops were eliminated. The irradiated ring-free channel is shown in Figure 11e with visible bicrystalline dislocations inside.
In regions with varying stress intensities, a kinetic model was proposed to explain the evolution of dislocation density and the irradiation-induced creep [39]. The evolution of the steady-state creep strain rate in irradiated materials can be categorised into two distinct regimes. As depicted in Figure 12, in regions of low stress, the stress exponent n for irradiation-induced creep exhibits a smooth variation with stress, albeit significantly lower than that observed in thermal creep, attributable to the elevated creep strain rates [39]. Experimental findings indicate that within the stress range of 100 MPa to 200 MPa and temperature range of 548 K to 663 K, the relationship between creep strain and stress is nearly linear, irrespective of creep orientation and material composition. Similarly, Zr-2 and Zr-4 alloys exhibit a direct proportionality between creep strain rate and irradiation flux [39].
In regions of lower stress, dislocation movement is governed by mechanisms such as dislocation climbing and heat-activated slip. The presence of point defects due to irradiation stimulates dislocation climbing activity, leading to an increased creep strain rate under irradiation. Conversely, in regions of higher stress, the irradiation creep is primarily controlled by the displacement cascade unpinning mechanism, resulting in a lower creep rate compared to thermal creep. Recently, the mechanism of high-stress irradiation creep of recrystallised Zr-4 was studied using the molecular dynamics method [39]. The results show that when the applied stress is close to the yield stress, as shown in Figure 13, the screw-type dislocations can directly form cross-dislocation loops under the irradiation of high-energy particles. When the screw dislocation encounters an irradiation-induced defect, two pinning points are generated, and it is noted that the distance between these two points decreases with the applied stress. During the irradiation of energetic particles, there is a displacement Δ l o o p ( σ ) cascade around the primary striking atom (PKA). Under two-dimensional conditions, the impact region of the displacement cascade can be regarded as a circle with radius Rc, which is closely related to the PKA energy, E P K A . .
However, under high applied stress (below the yield stress) and exposure to high-energy particles, dislocations initially pinned by irradiation-induced defects can be directly unpinned and glide over obstacles. In contrast to thermally activated dislocation slip under low stress, this mechanism of displacement cascade unpinning may govern irradiated creep behaviour in high-stress conditions, leading to a lower irradiation creep strain rate compared to thermal creep. Indeed, the displacement cascade is believed to directly facilitate dislocation unpinning from irradiation-induced defects when the cascade region effectively spans the crossing region.

4.2.2. Primary Irradiation Creep

In recent decades, the predominant focus of irradiation creep models has been on dislocations or dislocation loops and their heterogeneous interactions with point defects. The majority of mechanical models concentrate on steady-state irradiation creep, which is the principal source of strain-induced reactor deformation following prolonged operation [40,41]. Besides conventional (slip-based) creep models, there has been scant theoretical investigation into the mechanism of primary irradiation creep.
Primary irradiation creep significantly influences stress relaxation and power transients, with sulfur playing a crucial role in mitigating primary creep. The influence of sulfur seems to correlate with the initial control of dislocation slip creep, potentially forming distinct dislocation cores that hinder dislocation mobility. During steady-state irradiation creep, sulfur’s impact appears modest, potentially indicating that dislocation slip might not govern steady-state irradiation creep.
Certain findings, such as those by Rebeyrolle, indicate that low-sulfur materials exhibit a higher steady-state creep rate compared with high-sulfur counterparts, though this disparity may diminish under transient conditions [41,42,43]. Furthermore, Zr alloys experience in situ deformation due to ion irradiation and applied stress. Dislocations initially fixed to irradiated defects can become unfixed and slide under lower stresses induced by irradiation, as observed by Gaumé, M [44]. This novel mechanism of irradiation-assisted dislocation slip plays a crucial role in the irradiation creep behaviour of Zr alloys under reactor conditions.
Irradiation creep is not primarily driven by dislocation slip; instead, it is not primarily governed by climb-and-slide mechanisms, according to available data. Theoretical analysis of polycrystalline creep indicated that creep due to elastic diffusion is an order of magnitude lower than slip-induced creep [44,45,46]. It appears that the slip-based polycrystalline model is dominant, or there may be an issue with the diffusion model parameters. Due to the exclusion of grain boundaries in their analysis, [40] concluded that strains induced by dislocation slip exceed those generated by dislocation climb. Even at the monocrystalline level, the parameters of the slip-based model are adjusted to align polycrystalline output with experimental data. However, prismatic dislocation loops cannot serve as sources for mobile dislocations; even if they have developed into a coarse network through climbing [45,46], they cannot generate creep strain through sliding. The strain produced by the dislocation loop remains unchanged regardless of whether the dislocation ring moves along its slip plane or tilts.
Due to the action of energetic particles, the defects and dislocations caused by irradiation will become effective barriers to the movement of dislocations. When the external load is much less than the yield stress of the irradiated material, overcoming these obstacles is mainly achieved by dislocation climbing and thermally activated slip, as shown in Figure 14. In these activities, the dislocation mobility corresponding to the escalation and thermally activated slip of irradiation defects and dislocations can be characterised by M c d e f and M g d e f , as well as M g d i s and M c d i s , respectively. Considering the dependence between dislocation climbing and thermally activated slip, the co-calculation of the total dislocation mobility M c g d i s ( d e f ) of M c d i s ( d e f )   a n d   M g d i s ( d e f ) is as follows.
M c g d i s ( d e f ) = ( 1 c ) M c d i s ( d e f ) + c M g d i s ( d e f )
where c is the ratio coefficient of the dislocation to overcome the barrier by thermally activated slip. If we ignore the difference in dislocation mobility of irradiation defects and dislocations, we can get M c d e f = M c d i s , M g d e f = M g d i s and M c g d e f = M c g d i s . Considering the dependence between dislocation climb and thermally activated slip, the synergy of M c g d e f and M c g d i s on the total dislocation mobility M c g i r r is calculated as follows.
2 M c g i r r = 1 M c g d e f + 1 M c g d i s
Equations (5) and (6) show that the theoretical derivation of M c d i s ( d e f ) and M g d i s ( d e f ) is essential for analysing the effect of M c g i r r on the creep deformation mechanism of irradiation.
Irradiation creep is primarily governed by the internal response of the material to irradiation, which is further influenced by applied stress, resulting in an extrinsic phenomenon known as irradiation creep. Dislocation slip remains significant at low radiation damage densities, with thermal activation enhancing dislocation mobility at elevated radiation temperatures [37]. Dislocation slip will dominate under sufficiently high stresses, leading to yielding.
Both the material properties and creep rate vary with microstructural evolution. The presence of dislocation loops inhibits slip and acts as a point defect; however, additional hardening effects beyond dislocation loop evolution should also be considered, even if such evolution is not directly observable or detectable.

4.2.3. Secondary Steady-State Irradiation Creep

Previously, it was hypothesised that stress-induced creep and slip (SICG) constituted the primary mechanism governing steady-state irradiated creep in cold-worked Zr alloys. Early models tacitly incorporated this mechanism to elucidate irradiation creep, wherein the anisotropy of dislocation density structure and dislocation slip (subject to change during irradiation) governed the creep phenomenon [4]. Recent years have witnessed increasing evidence underscoring the critical role of grain boundary segregation, particularly pronounced when grain sizes are within the sub-micron regime. The weak influence of dislocation density has been acknowledged for some time. Recent analyses indicate that this influence varies, being either weak or even negative, contingent upon the strain direction [47,48,49]. A greater rate of diameter creep was observed in Zr-2.5Nb creep capsules cold worked to 27% compared with those cold worked to 12%, as demonstrated by a recent study showing that the extent of cold working significantly influences irradiation creep [37]. This finding suggests a positive correlation between irradiation creep and dislocation density in such instances. These findings are particularly relevant under conditions of low irradiance, where slip-induced thermal creep could potentially manifest.
The primary phase is completed after about 3000 h, namely primary creep [4]. The timing of this phase appears to be insensitive to neutron flux 1017 n · m 2 and is characterised by an almost instantaneous jump in strain at the onset of irradiation. Instantaneous jump in strain at the start of irradiation. This transition does not appear to be present at high fluxes, which may be due to the high rate of damage rapidly inhibiting the strain. This may be due to the fact that the high damage rate rapidly inhibits thermal creep at high molecular flux. The second stage consists of slowing creep as the density of the dislocation loop increases, and the creep is almost complete when the type A dislocation loop stops evolving at a flux of about 1024 n · m 2 but any continuous evolution of the microstructure of the C-component dislocation loop will also have an effect on the unit creep rate.

5. Oxidative Corrosion Under Irradiation

Given that the growth of the oxide film on Zr alloy necessitates the diffusion of oxygen ions within the film, it is anticipated that upon initial exposure of Zr alloy in the reactor, fast neutron or heavy particle irradiation induces ion displacement from their lattice positions leading to heightened concentration of point defects, facilitated diffusion, and consequent escalated corrosion within the reactor. The phenomenon resembles mechanisms observed in accelerating rate processes in metals. This assertion is corroborated by findings from reactor loop experiments and other oxidation studies [49,50].
Neutron irradiation produces a large number of defects, which contribute to the migration of oxygen ions, but the degree of influence of the defects on the oxidation properties of Zr alloys is closely related to the operating temperature. The net mobility of irradiation-induced defects is related to the rate of oxidation and constitutes the concentration term of the thermo-activated migration multiplication r 0 , as announced by Cox [50,51].
As shown in Figure 15, Zr alloy is rapidly oxidised to Zr4+ by neutron irradiation and then combined with O2− cracked by water molecules to form zirconia, which accelerates oxidative wear in the reactor environment. The operational conditions of Zr alloy components within nuclear reactor cores are intricate, necessitating investigation into the interplay between irradiation and mild alkaline corrosion on these alloys. With escalating displacement damage, the growth of the oxide film thickness on Zr alloys subjected to ion irradiation occurs. According to N. Bérerd [52], the irradiation-induced corrosion behaviour of modified N36 Zr alloy was studied. It was noted that irradiation significantly accelerated the corrosion kinetics, induced structural defects and thickened the corrosion layer [53]. In contrast, the irradiated Zr-Sn-Nb alloys exhibited a reduced weight gain compared to their unirradiated counterparts [54]. Hence, while studies have addressed the corrosion behaviour of Zr alloys under simultaneous irradiation and corrosion, unresolved issues necessitate further investigation.
Following irradiation, vacancy defects, including isolated vacancies, vacancy clusters and dislocation loops, form within Zr alloys. The formation of vacancy defects diminishes at elevated temperatures compared with ambient conditions. Vacancies contribute to the hardening of Zr alloys at both room and elevated temperatures. The irradiation-induced damage layer accelerated the corrosion of irradiated alloys, as evidenced by weight gain measurements [55]. The irradiation behaviour and corrosion properties of modified N36 Zr alloys were investigated, and the controlling mechanism was elucidated by studying the microstructural characteristics of cross-sectional TEM specimens of the alloys after irradiation corrosion [53].
Figure 16 illustrates numerous inhomogeneous micropores and fine equiaxed grains distributed throughout the oxide layer. Furthermore, moiré streaks are discernible within the oxide layer [56]. The formation of moiré fringesis is attributable to (1) slight orientation variations between the two layers stemming from planar defects within the same particle and (2) the overlapping of two distinct particles within the sample’s thickness range [56].
The average oxide thicknesses of Zr alloys irradiated with 400 keV Kr+ were found to be 1.29 μm, 1.51 μm, and 2.1 μm, corresponding to irradiation doses of 1.43, 2.86, and 7.14 × 1015 ions/cm2, respectively, as determined by Lei [53]. Under identical corrosion conditions, the average oxide layer thickness measures approximately 1.21 μm. Consequently, the respective increments in oxide thickness are 0.08 μm, 0.3 μm, and 0.89 μm. Evidently, the oxide thickness increases with higher Kr+ ion flux. The rate of oxidative corrosion in Zr alloys correlates with corrosion temperature, duration, environment, and irradiation-induced displacement damage. Thus, under specific corrosion conditions of temperature, duration, and environmental factors, the corrosion rate is influenced by ion irradiation effects.
Meanwhile, the concentration of alloying elements and the size of oxide grains under irradiation effect are important factors affecting the corrosion resistance of Zr alloys. Lower concentrations of niobium and tin help to reduce the formation of transverse cracks in Zr alloys; larger oxide grains reduce the diffusion path of oxidising substances. The concentration of alloying elements and the size of oxide grains are important factors affecting the corrosion resistance of Zr alloys. Hu [57] found the CZ-1 alloy to have superior corrosion resistance to other Zr alloy systems, such as Zr-4 and Zr-1Nb-1Sn alloys, due to cracks and delamination found by transmission Kikuchi diffraction (TKD) and transmission electron microscopy (TEM). Even trace additions of alloying elements significantly improved the corrosion resistance of Zr alloys, probably because these elements alter the structure and properties of the oxide film or because they form a protective second phase in the oxide film. The effect of Cu addition on the corrosion behaviour of Zr alloys in dissolved oxygen water was investigated. Huang [58] found that alloys with 0.13% Cu additions exhibited better corrosion resistance, and their final weight gain after 250 days was even lower than that of commercial Zr-4 alloys. The addition of certain alloying elements may not have a significant effect on the oxide film properties under certain environmental conditions, which are important factors influencing the oxide film properties. The effect of Zn injection on the oxide film properties of Zr alloy fuel cladding in high-temperature pressurised water was investigated. Xue [59] found that in the absence of supercooled nucleus boiling (SNB), Zn injection did not significantly affect the thickness, elemental distribution or crystalline details of the oxide film. Hydrogenation treatment and hydrogen content significantly affect the corrosion resistance and microstructure of Zr alloys. The micromotion corrosion behaviour and organisational evolution of hydrogenated Zr alloys in a high-temperature, high-pressure aqueous environment were investigated by Kang [60]. They found that hydrogen loading significantly reduced the wear volume, especially at low hydrogen content, and the formation of tetragonal ZrO2 induced cracking and delamination at the oxide/transformation structure of friction (TTS) interface.
The oxidative corrosion behaviour of Zr alloys is influenced by a variety of factors such as alloy composition, microstructure, internal stress and environmental conditions. The corrosion resistance of Zr alloys can be significantly improved by adjusting the content of alloying elements (e.g., Cu, Sn, Nb) and optimising the heat treatment process. In particular, the addition of Cu was found to improve the corrosion resistance of Zr alloys in high-temperature water containing dissolved oxygen, while changes in the contents of Nb and Sn affected the stability and phase transition behaviour of the oxide film. In addition, the structure and internal stresses of the oxide film are key factors in determining the corrosion resistance of Zr alloys in the oxide/tribo-transformation structure (TTS) interface. The oxidation process of Zr alloys is notably intricate, particularly as ion irradiation alters the oxidation kinetics, thereby facilitating oxygen diffusion into Zr-based alloys. Ion irradiation not only expedites the oxidation rate but also modifies oxidation behaviour, which is attributed to the generation of point defects, vacancies, and dislocations within the Zr matrix. While the corrosion behaviour of Zr alloys under the combined influence of irradiation and corrosion has been documented, several inquiries remain unresolved, including the interplay among irradiation parameters and corrosion traits, corrosion mechanisms and evolutionary patterns, notably pertinent for nascent Zr alloys.

6. Conclusions

The common industrial preparation processes of the nuclear-grade Zr sponge, the microstructural evolution of Zr alloys, encompassing dislocation ring formation, irradiation growth, creep phenomena and oxidative corrosion intensification, are comprehensively scrutinised. High-energy neutron irradiation leads to the accumulation of lattice defects, which affect the strength, plasticity and macromechanical properties of Zr alloys. Dislocation loops increase strength but decrease plasticity. Irradiation growth and creep are closely related to microstructural evolution and are influenced by temperature and irradiation conditions. Irradiation exacerbates the corrosion of Zr alloys, leading to a thickening of the corrosion layer; however, the effect is highly dependent on the operating temperature and irradiation conditions. A comprehensive understanding of these phenomena is essential to optimism nuclear reactor material performance and safety.
The mechanism of microstructure evolution of Zr alloys under irradiation can be further discussed from the following five aspects.
(1) A comprehensive investigation into the dynamics of irradiation-induced loops is undertaken.
Utilising advanced experimental techniques and computational simulations, the study explores their formation mechanisms, stability, and interactions with other microstructures, such as dislocations and voids. This enhances our understanding of how these defects collectively impact the mechanical properties of Zr alloys.
(2) The mechanisms of irradiation growth and irradiation creep have been investigated.
Irradiation growth is the phenomenon of dimensional changes in Zr alloys under irradiation conditions and is closely related to the evolution of the microstructure. Irradiation creep, on the other hand, is the deformation behaviour that occurs under the combined effect of irradiation and applied stresses and involves mechanisms such as dislocation slip and diffusive mass migration. The two are interrelated and together affect the long-term service performance of the material.
(3) The corrosion mechanism of Zr alloy under irradiation conditions is summarised.
Irradiation significantly aggravated the oxidative corrosion process of Zr alloys, leading to a thickening of the corrosion layer. The point defects produced by neutron irradiation promote the migration of oxygen ions, which accelerates the generation of oxide films. However, the exact magnitude of the effect is closely related to the operating temperature and irradiation conditions.
(4) Development of new models for irradiation assessment and prediction.
By establishing the model and numerical simulation, the microstructure change trend of Zr alloy under irradiation and its effect on mechanical properties, irradiation growth and creep can be predicted. These models can provide strong theoretical support for material design, safety assessment of reactor materials and corrosion prevention design.
(5) The critical examination of the conventional preparation processes for nuclear-grade Zr.
The preparation of nuclear-grade Zr is a topic of considerable interest, and it is essential to balance the reduction of production costs, the improvement of product quality and the reduction of environmental pollution. Furthermore, the production process should be shortened.

Funding

This research was funded by the Natural Science Foundation of Hebei Province (No. E2024202190), the National Natural Science Foundation of China (No. 52205260), and the Outstanding Youth Innovation Fund of State Key Laboratory for Reliability and Intelligence of Electrical Equipment (EERI_OY2022009), and S&T Program of Hebei (225676163GH).

Conflicts of Interest

The authors declare no conflict of interest.

References

  1. Christiaen, B.; Domain, C.; Thuinet, L.; Ambard, A.; Legris, A. Influence of vacancy diffusional anisotropy: Understanding the growth of zirconium alloys under irradiation and their microstructure evolution. Acta Mater. 2020, 195, 631–644. [Google Scholar] [CrossRef]
  2. Voskoboinikov, R.E.; Osetsky Yu, N.; Bacon, D.J. Interaction of 1/3 1120 (0001) edge dislocation with point defect clusters created in displacement cascades in α-zirconium. Mater. Sci. Eng. A 2005, 400–401, 49–53. [Google Scholar] [CrossRef]
  3. Onimus, F.; Dupuy, L.; Mompiou, F. In situ TEM observation of interactions between gliding dislocations and prismatic loops in Zr-ion irradiated zirconium alloys. Prog. Nucl. Energy 2012, 57, 77–85. [Google Scholar] [CrossRef]
  4. Warwick, A.R.; Thomas, R.; Boleininger, M.; Koç, Ö.; Zilahi, G.; Ribárik, G.; Hegedues, Z.; Lienert, U.; Ungar, T.; Race, C.; et al. Dislocation density transients and saturation in irradiated zirconium. Int. J. Plast. 2023, 164, 103–119. [Google Scholar] [CrossRef]
  5. Sakaël, C.; Domain, C.; Ambard, A.; Thuinet, L.; Legris, A. Modelling of zirconium growth under irradiation and annealing conditions. Int. J. Plast. 2023, 168, 148–176. [Google Scholar] [CrossRef]
  6. Wei, T.; Dai, X.; Zhao, Y.; Wang, D.; Lv, J.; Huang, Y.; Zhang, J. ZrO phase embedded in the oxide of Zr-Sn-Nb-Fe-Cr alloy after corrosion. J. Nucl. Mater. 2022, 571, 153–160. [Google Scholar] [CrossRef]
  7. Griffiths, M.; Gilbert, R.W. The formation of c-component defects in zirconium alloys during neutron irradiation. J. Nucl. Mater. 1987, 150, 169–181. [Google Scholar] [CrossRef]
  8. Griffiths, M. A review of microstructure evolution in zirconium alloys during irradiation. J. Nucl. Mater. 1988, 159, 190–218. [Google Scholar] [CrossRef]
  9. Buckley, S.N.; Bullough, R.; Hayns, M.R. The direct observation of irradiation damage in zirconium and its alloys. J. Nucl. Mater. 1980, 89, 283–295. [Google Scholar] [CrossRef]
  10. Adamson, R.B.; Coleman, C.E.; Griffiths, M. Irradiation creep and growth of zirconium alloys: A critical review. J. Nucl. Mater. 2019, 521, 167–244. [Google Scholar] [CrossRef]
  11. Jostsons, A.; Kelly, P.M.; Blake, R.G.; Farrell, K. Neutron irradiation-induced defect structures in zirconium. In ASTM Special Technical Publications; ASTM: Upper Darby, DE, USA, 1979; pp. 46–61. [Google Scholar]
  12. Griffiths, M.; Holt, R.A.; Rogerson, A. Microstructural aspects of accelerated deformation of Zircaloy nuclear reactor components during service. J. Nucl. Mater. 1995, 225, 245–258. [Google Scholar] [CrossRef]
  13. Yagnik, S.; Adamson, R.; Kobylyansky, G.P.; Chen, J.H.; Gilbon, D.; Ishimoto, S.; Fukuda, T.; Hallstadius, L. Effect of alloying elements, cold work, and hydrogen on the irradiation-induced growth behavior of zirconium alloy variants. In STP 2018; ASTM: Chicago, IL, USA, 2018; pp. 249–276. [Google Scholar]
  14. Hood, G.M. Point defect diffusion in α-Zr. J. Nucl. Mater. 1988, 159, 149–175. [Google Scholar] [CrossRef]
  15. Adrych-Brunning, A.; Gilbert, M.R.; Sublet J-Ch Harte, A.; Race, C.P. Modelling the interaction of primary irradiation damage and precipitates: Implications for experimental irradiation of zirconium alloys. J. Nucl. Mater. 2018, 498, 282–289. [Google Scholar] [CrossRef]
  16. De Carlan, Y.; Regnard, C.; Griffiths, M.; Gilbon, D.; Lemaignan, C. Influence of iron in the nucleation of ⟨c⟩ component dislocation loops in irradiated Zircaloy-4. In STP 1996, Proceedings of the ASTM International Conference on Zirconium in the Nuclear Industry; ASTM: West Conshohocken, PA, USA, 1996; pp. 161–194. [Google Scholar]
  17. Griffiths, M.; Loretto, M.H.; Smallman, R.E. Electron damage in zirconium: I. Defect structure and loop character. J. Nucl. Mater. 1983, 115, 313–322. [Google Scholar] [CrossRef]
  18. Woo, C.H.; So, C.B. The effect of stress on point-defect diffusion in hep metals and irradiation creep. Philos. Mag. A 2000, 80, 1299–1318. [Google Scholar] [CrossRef]
  19. Tomé, C.; Woo, C.H. Self-consistent calculation of steady-state creep and growth in textured zirconium. Philos. Mag. A 1993, 67, 917–930. [Google Scholar] [CrossRef]
  20. Holt, R.A.; Causey, A.R. The effects of intergranular constraints on irradiation growth of Zircaloy-2 at 320 K. J. Nucl. Mater. 1987, 150, 306–318. [Google Scholar] [CrossRef]
  21. Holt, R.A.; Fleck, R.G. The effect of temperature on the irradiation growth of cold-worked Zr-2.5 Nb. In ASTM Selected Technical Papers; ASTM: Melbourne, Australia, 1989; pp. 791–807. [Google Scholar]
  22. Woo, C.H.; Gösele, U. Dislocation bias in an anisotropic diffusive medium and irradiation growth. J. Nucl. Mater. 1983, 119, 219–228. [Google Scholar] [CrossRef]
  23. Griffiths, M.; Gilbert, R.W.; Fidleris, V. Accelerated irradiation growth of zirconium alloys. In STP 1989, Proceedings of the ASTM International Conference on Zirconium in the Nuclear Industry; 1023-EB; ASTM: West Conshohocken, PA, USA, 1989. [Google Scholar]
  24. City University of Hong Kong. Research Report of Zirconium Alloys. Available online: https://www.researchgate.net/publication/285237307_Effects_of_intergranular_interaction_on_the_anisotropy_of_irradiation_creep_and_growth_in_zirconium (accessed on 13 March 2024).
  25. Woo, C.H. Theory of irradiation deformation in non-cubic metals: Effects of anisotropic diffusion. J. Nucl. Mater. 1988, 159, 237–256. [Google Scholar] [CrossRef]
  26. Fleck, R.G.; Price, E.G.; Cheadle, B.A. Pressure tube development for CANDU reactors. In Proceedings 1984 ASTM International Conference on Zirconium in the Nuclear Industry; ASTM: West Conshohocken, PA, USA, 1984; pp. 824–865. [Google Scholar]
  27. Rogerson, A. Irradiation growth in zirconium and its alloys. J. Nucl. Mater. 1988, 159, 43–61. [Google Scholar] [CrossRef]
  28. Topping, M.; Harte, A.; Ungár, T.; Race, C.P.; Dumbill, S.; Frankel, P.; Preuss, M. The effect of irradiation temperature on damage structures in proton-irradiated zirconium alloys. J. Nucl. Mater. 2019, 514, 358–367. [Google Scholar] [CrossRef]
  29. Parker, J.D.; Perovic, V.; Leger, M.; Fleck, R.G. Microstructural effects on the irradiation growth of Zr-2.5Nb. In Proceedings of the ASTM International Conference on Zirconium in the Nuclear Industry; ASTM: West Conshohocken, PA, USA, 1987; pp. 281–306. [Google Scholar]
  30. Christensen, M.; Wolf, W.; Freeman, C.; Wimmer, E.; Adamson, R.B.; Griffiths, M.; Mader, E.V. Vacancy loops in Breakaway Irradiation Growth of zirconium: Insight from atomistic simulations. J. Nucl. Mater. 2020, 529, 151946. [Google Scholar] [CrossRef]
  31. Harbottle, J.E.; Herbillon, F. Shape and Volume Changes During Irradiation Growth of Zircaloy-2. J. Nucl. Mater. 1980, 90, 249–255. [Google Scholar] [CrossRef]
  32. Harbottle, J.E. The temperature and neutron dose dependence of irradiation growth in Zircaloy-2. In STP 1970, Proceedings of the ASTM International Conference on Zirconium in the Nuclear Industry; ASTM: West Conshohocken, PA, USA, 1970; pp. 266–298. [Google Scholar]
  33. Bullough, R.; Wood, M.H. Mechanisms of Radiation Induced Creep and Growth. J. Nucl. Mater. 1980, 90, 1–21. [Google Scholar] [CrossRef]
  34. Harbottle, J.E.; Cornell, R.M. Analysis of Pressurized Water Reactor Fuel Pin Length Changes; ASTM: North Arlington, NJ, USA, 1979. [Google Scholar]
  35. Fidleris, V. The Irradiation Creep and Growth Phenomena. J. Nucl. Mater. 1988, 159, 22–42. [Google Scholar] [CrossRef]
  36. Woo, C.H.; Causey, R.A.; Holt, R.A. Methods of Analysis and Measurement of Irradiation Creep in Non-Cubic Metals. Philos. Mag. A 1999, 79, 59–84. [Google Scholar] [CrossRef]
  37. Mahmood, S.T.; Lin, Y.P.; Dubecky, M.A.; Edsinger, K.; Mader, E.V. Channel Bow in Boiling Water Reactors: Hot Cell Examination Results and Correlation to Measured Bow; ASTM: North Arlington, NJ, USA, 2007. [Google Scholar]
  38. Zhao, Y.; Long, F.; Wang, Q.; Daymond, M.R. Deformation Microstructures of Non-Irradiated and Proton Irradiated Zirconium Alloy from Nanoindentation Creep Tests Characterised by TEM. J. Nucl. Mater. 2024, 588, 154–167. [Google Scholar] [CrossRef]
  39. Li, S.; Xie, H.; Yu, L.; Xiao, X. A Steady-State Irradiation Creep and Thermal Creep Model for Zirconium Alloys. Int. J. Plast. 2024, 172, 122–140. [Google Scholar] [CrossRef]
  40. Christodoulou, N.; Causey, A.R.; Woo, C.H.; Tome, C.N.; Klassen, R.J.; Holt, R.A. Modelling the effect of texture and dislocation structure on irradiation creep of zirconium alloys. In STP 1993, Proceedings of the Symposium on Zirconium in the Nuclear Industry; ASTM: West Conshohocken, PA, USA, 1993; pp. 239–286. [Google Scholar]
  41. DeAbreu, R.F.; Bickel, G.A.; Buyers, A.W.; Donahue, S.A.; Dunn, K.; Griffiths, M.; Walters, L. Temperature and flux dependence of in-reactor creep for cold worked Zr-2.5Nb. In STP 2018, Proceedings of the Symposium on Zirconium in the Nuclear Industry; ASTM: West Conshohocken, PA, USA, 2018; pp. 176–198. [Google Scholar]
  42. Soniak, A.; L’Hullier, N.; Mardon, J.-P.; Rebeyrolle, V.; Bouffloux, P.; Bernaudat, C. Irradiation creep behaviour of Zr-base alloys. In Proceedings of the Symposium on Zirconium in the Nuclear Industry; ASTM International, Ed.; ASTM: West Conshohocken, PA, USA, 2002; pp. 965–1005. [Google Scholar]
  43. Khiara, N.; Onimus, F.; Dupuy, L.; Kassem, W.; Crocombette, J.-P.; Pardoen, T.; Raskin, J.-P.; Bréchet, Y. A Novel Displacement Cascade Driven Irradiation Creep Mechanism in α-Zirconium: A Molecular Dynamics Study. J. Nucl. Mater. 2020, 541, 152–170. [Google Scholar] [CrossRef]
  44. Gaumé, M.; Baldo, P.; Mompiou, F.; Onimus, F. In-Situ Observation of an Irradiation Creep Deformation Mechanism in Zirconium Alloys. Scripta Mater. 2018, 154, 87–91. [Google Scholar] [CrossRef]
  45. Griffiths, M.; Mecke, J.; Winegar, J.E. Evolution of microstructure in zirconium alloys during irradiation. In STP 1996; ASTM: South Pasadena, CA, USA, 1996; pp. 1295–1326. [Google Scholar]
  46. Holt, R.A. Effect of Microstructure on Irradiation Creep and Growth of Zircaloy Pressure Tubes in Power Reactors. J. Nucl. Mater. 1979, 82, 419–429. [Google Scholar] [CrossRef]
  47. Walters, L.; Bickel, G.A.; Griffiths, M. The effects of microstructure and operating conditions on irradiation creep of Zr-2.5Nb pressure tubing. In Proceedings of the Symposium on Zirconium in the Nuclear Industry; ASTM International, Ed.; ASTM: West Conshohocken, PA, USA, 2015; pp. 761–832. [Google Scholar]
  48. Holt, R.A. In-Reactor Deformation of Cold-Worked Zr-2.5Nb Pressure Tubes. J. Nucl. Mater. 2008, 372, 182–214. [Google Scholar] [CrossRef]
  49. Cox, B.; Alcock, K.; Derrick, F.W. The oxidation and corrosion of zirconium and its alloys: VI. The mechanism of the fission fragment induced corrosion of Zircaloy-2. J. Electrochem. Soc. 1961, 108, 2–15. [Google Scholar] [CrossRef]
  50. Cox, B. Some thoughts on the mechanisms of in-reactor corrosion of zirconium alloys. J. Nucl. Mater. 2005, 336, 331–368. [Google Scholar] [CrossRef]
  51. Li, Z.; Guo, X.; Zheng, M.; Ren, Q.; Cai, Z.; Jiao, Y. Characterization and fretting wear behavior of zirconium alloy treated in high temperature water. Wear 2023, 205, 532–533. [Google Scholar] [CrossRef]
  52. Bérerd, N.; Moncoffre, N.; Chevarier, A.; Jaffrézic, H.; Faust, H.; Balanzat, E. Study of the zirconium oxidation under heavy ion irradiation. Nucl. Instrum. Methods Phys. Res. Sect. B 2006, 249, 513–516. [Google Scholar] [CrossRef]
  53. Lei, P.; Ran, G.; Liu, C.; Shen, Q.; Zhang, R.; Ye, C.; Li, N.; Yang, P.; Yang, Y. Microstructure analysis of Kr+ irradiation and post-irradiation corrosion of modified N36 zirconium alloy. Nucl. Instrum. Methods Phys. Res. Sect. B 2017, 406, 648–655. [Google Scholar] [CrossRef]
  54. Liu, Y.; Zu, X.; Qiu, S.; Li, C.; Ma, W.; Huang, X. Surface characteristics and oxidation behavior of nitrogen ion-implanted Zr-Sn-Nb alloy. Surf. Coat. Technol. 2006, 200, 563–598. [Google Scholar] [CrossRef]
  55. Zhao, W.; Quan, Q.; Zhang, S.; Yang, X.; Wen, H.; Wu, Y.; Liu, X.; Cao, X.; Wang, B. Microstructure analysis of Xe20+ irradiation and postirradiation corrosion of Zr-4 and Zr-1Nb alloys. Radiat. Phys. Chem. 2023, 209, 110–125. [Google Scholar] [CrossRef]
  56. Cao, X.; Di, L.; Yao, M.; Zhou, B.; Peng, J. Corrosion behavior of Zr(fex, Cr1-x)2 alloys in 400 °C superheated steam. Acta Metall. 2011, 47, 882–886. [Google Scholar]
  57. Hu, J.; Lin, W.; Lv, Q.; Gao, C.; Tan, J. Oxide formation mechanism of a corrosion-resistant CZ1 zirconium alloy. J. Mater. Sci. Technol. 2023, 147, 6–15. [Google Scholar] [CrossRef]
  58. Huang, Z.; Liu, Q.; Zheng, F.; Peng, J.; Yu, Y.; Zeng, Q.; Li, Q.; Zhao, Y. On corrosion of zirconium alloy in dissolved oxygen water: The role of Cu addition. J. Nucl. Mater. 2024, 599, 155200. [Google Scholar] [CrossRef]
  59. Xue, C.; Liu, X.; Chen, Z.; Zhang, Z.; Wu, X.; Tan, J.; Han, E. Effects of Zn injection on the oxide film characteristics of zirconium alloy fuel cladding exposed to high-temperature pressurized water with or without subcooled nucleate boiling. J. Nucl. Mater. 2024, 599, 155210. [Google Scholar] [CrossRef]
  60. Kang, L.; Lu, Y.; Bian, W.; Yu, P.; Wang, Y.; Xin, L.; Han, Y. Fretting corrosion behavior and microstructure evolution of hydrided zirconium alloy under gross slip regime in high temperature high pressure water environment. Corros. Sci. 2025, 242, 112582. [Google Scholar] [CrossRef]
Figure 1. Research content flow.
Figure 1. Research content flow.
Coatings 14 01543 g001
Figure 2. Schematic diagram of Zr sponge preparation by double tank reduction.
Figure 2. Schematic diagram of Zr sponge preparation by double tank reduction.
Coatings 14 01543 g002
Figure 3. Schematic diagram of defects in neutron-irradiated Zr alloys.
Figure 3. Schematic diagram of defects in neutron-irradiated Zr alloys.
Coatings 14 01543 g003
Figure 4. CRA simulations were performed using the MA1 potential of 10 M atoms to calculate the dislocation microstructure. Green, orange and red dislocations indicate <20>, <100> and Burgers-type vectors, respectively. The points are self-interstitial atoms determined by the Wigner–Seitz analysis, and the boundaries of the interstitial clusters are rendered as transparent surfaces. (a) At very low doses of 0.02 dPa, autologous intervals are defective and small dislocation loops. (b) Dense dislocation network at a low dose of 0.13 dPa. (c) Extended dislocation network at high doses of 2.00 dPa with infiltration gap masses [4] (Reproduced with permission from Elsevier, Amsterdam, The Netherlands).
Figure 4. CRA simulations were performed using the MA1 potential of 10 M atoms to calculate the dislocation microstructure. Green, orange and red dislocations indicate <20>, <100> and Burgers-type vectors, respectively. The points are self-interstitial atoms determined by the Wigner–Seitz analysis, and the boundaries of the interstitial clusters are rendered as transparent surfaces. (a) At very low doses of 0.02 dPa, autologous intervals are defective and small dislocation loops. (b) Dense dislocation network at a low dose of 0.13 dPa. (c) Extended dislocation network at high doses of 2.00 dPa with infiltration gap masses [4] (Reproduced with permission from Elsevier, Amsterdam, The Netherlands).
Coatings 14 01543 g004
Figure 5. Simulation of the {102} X-ray diffraction peak as a function of dose. The red path highlights changes in peak intensity and its centre shift. The dislocation density is saturated with the change of dose, which is close to the limit value of 1015 m−2 [4] (Reproduced with permission from Elsevier, Amsterdam, The Netherlands).
Figure 5. Simulation of the {102} X-ray diffraction peak as a function of dose. The red path highlights changes in peak intensity and its centre shift. The dislocation density is saturated with the change of dose, which is close to the limit value of 1015 m−2 [4] (Reproduced with permission from Elsevier, Amsterdam, The Netherlands).
Coatings 14 01543 g005
Figure 6. Evolution of the diameter of the interstitial loop (a) as a function of radiation dose for a flux of 1 × 10−7 dpa·s−1 and (b) for a flux of 5 × 10−7 dpa·s−1 [5] (Reproduced with permission from Elsevier, Amsterdam, The Netherlands).
Figure 6. Evolution of the diameter of the interstitial loop (a) as a function of radiation dose for a flux of 1 × 10−7 dpa·s−1 and (b) for a flux of 5 × 10−7 dpa·s−1 [5] (Reproduced with permission from Elsevier, Amsterdam, The Netherlands).
Coatings 14 01543 g006
Figure 7. BF map of the c ring in Zr-0.6Fe under <c> (a) Ne+ irradiation and (c) Au3+ irradiation. The imaging g vector is orientated at 0002 near the {110} region axis, and the red arrow indicates the direction of g = 0002. (b,d) DF figures correspond to (a,c) [6] (Reproduced with permission from Elsevier, Amsterdam, The Netherlands).
Figure 7. BF map of the c ring in Zr-0.6Fe under <c> (a) Ne+ irradiation and (c) Au3+ irradiation. The imaging g vector is orientated at 0002 near the {110} region axis, and the red arrow indicates the direction of g = 0002. (b,d) DF figures correspond to (a,c) [6] (Reproduced with permission from Elsevier, Amsterdam, The Netherlands).
Coatings 14 01543 g007
Figure 8. In the illustration of NIT of Zr-Fe alloy under ion irradiation, the plastic zone is considered as a hemisphere with radius R. Lt and Ld denote the critical penetration depths located at the peak and maximum irradiated layers, respectively. h is the indentation depth, and θ is the angle between the indenter surface and the sample [6] (Reproduced with permission from Elsevier, Amsterdam, The Netherlands).
Figure 8. In the illustration of NIT of Zr-Fe alloy under ion irradiation, the plastic zone is considered as a hemisphere with radius R. Lt and Ld denote the critical penetration depths located at the peak and maximum irradiated layers, respectively. h is the indentation depth, and θ is the angle between the indenter surface and the sample [6] (Reproduced with permission from Elsevier, Amsterdam, The Netherlands).
Coatings 14 01543 g008
Figure 9. Schematic diagram of Zr-irradiated growth proposed by Buckley. A gap ring is formed on the {100} crystal plane, and a vacancy ring is formed on the substrate (0001) crystal plane [8] (Reproduced with permission from Elsevier, Amsterdam, The Netherlands).
Figure 9. Schematic diagram of Zr-irradiated growth proposed by Buckley. A gap ring is formed on the {100} crystal plane, and a vacancy ring is formed on the substrate (0001) crystal plane [8] (Reproduced with permission from Elsevier, Amsterdam, The Netherlands).
Coatings 14 01543 g009
Figure 10. Effect of dipole properties of α-loops found in Zircaloy-2 protons irradiated at 280 °C, 350 °C and 450 °C (a) Half of the Ig_ (103) peaks can be seen at all three irradiation temperatures. These peaks have been normalised for tail comparison. The blue line represents the 280-degree Celsius sample, the red line represents the 350-degree Celsius sample and the black line represents the 450-degree Celsius sample. (b) Plot of Wilkens permutation parameters calculated with CMWP. The open blue circle represents Zircaloy-2, and the open red square represents the low-tin ZirloTM [28] (Reproduced with permission from Elsevier, Amsterdam, The Netherlands).
Figure 10. Effect of dipole properties of α-loops found in Zircaloy-2 protons irradiated at 280 °C, 350 °C and 450 °C (a) Half of the Ig_ (103) peaks can be seen at all three irradiation temperatures. These peaks have been normalised for tail comparison. The blue line represents the 280-degree Celsius sample, the red line represents the 350-degree Celsius sample and the black line represents the 450-degree Celsius sample. (b) Plot of Wilkens permutation parameters calculated with CMWP. The open blue circle represents Zircaloy-2, and the open red square represents the low-tin ZirloTM [28] (Reproduced with permission from Elsevier, Amsterdam, The Netherlands).
Coatings 14 01543 g010
Figure 11. Deformation microstructures of the plastic zone created by indentation creep test at 300 °C on a proton irradiated sample. (a) Overall STEM image of the FIB sample; (bd) STEM images acquired using the reflection g = (0002); (eg) STEM images acquired using the reflection g = (101). The electron beam is close to the [110] zone axis [38] (Reproduced with permission from Elsevier, Amsterdam, The Netherlands).
Figure 11. Deformation microstructures of the plastic zone created by indentation creep test at 300 °C on a proton irradiated sample. (a) Overall STEM image of the FIB sample; (bd) STEM images acquired using the reflection g = (0002); (eg) STEM images acquired using the reflection g = (101). The electron beam is close to the [110] zone axis [38] (Reproduced with permission from Elsevier, Amsterdam, The Netherlands).
Coatings 14 01543 g011
Figure 12. Schematic diagram of the steady-state creep strain rate of Zr alloy as a function of stress, where the critical stresses in the two regions are distinguished, which is the yield stress that has an irradiation effect [39] (Reproduced with permission from Elsevier, Amsterdam, The Netherlands).
Figure 12. Schematic diagram of the steady-state creep strain rate of Zr alloy as a function of stress, where the critical stresses in the two regions are distinguished, which is the yield stress that has an irradiation effect [39] (Reproduced with permission from Elsevier, Amsterdam, The Netherlands).
Coatings 14 01543 g012
Figure 13. Schematic diagram of the displacement cascade unpinning behaviour under high stress. A solid black line indicates a dislocated screw. The red and green dots represent the two pinning points of the dislocation, which is also where the primary striking atom (PKA) is located. The effective blade grid is located at the intersection of two circles, which is the distance between the two pinning points, Rc() is the radius of the cascade region, and (σ,) is the effective intersection area [39] (Reproduced with permission from Elsevier, Amsterdam, The Netherlands).
Figure 13. Schematic diagram of the displacement cascade unpinning behaviour under high stress. A solid black line indicates a dislocated screw. The red and green dots represent the two pinning points of the dislocation, which is also where the primary striking atom (PKA) is located. The effective blade grid is located at the intersection of two circles, which is the distance between the two pinning points, Rc() is the radius of the cascade region, and (σ,) is the effective intersection area [39] (Reproduced with permission from Elsevier, Amsterdam, The Netherlands).
Coatings 14 01543 g013
Figure 14. Schematic diagram of the basic deformation mechanism of irradiation creep [39] (Reproduced with permission from Elsevier, Amsterdam, The Netherlands). (a) low stress and; (b) high stress for irradiation creep.
Figure 14. Schematic diagram of the basic deformation mechanism of irradiation creep [39] (Reproduced with permission from Elsevier, Amsterdam, The Netherlands). (a) low stress and; (b) high stress for irradiation creep.
Coatings 14 01543 g014
Figure 15. Schematic diagram of the oxidation corrosion mechanism of Zr alloy [51] (Reproduced with permission from Elsevier, Amsterdam, The Netherlands). (I) crack and plastic deformation are observed on the surface of Zr alloy because of the tangential stress.; (II) an amount of wear debris is generated and accumulated to form the wear debris layer.
Figure 15. Schematic diagram of the oxidation corrosion mechanism of Zr alloy [51] (Reproduced with permission from Elsevier, Amsterdam, The Netherlands). (I) crack and plastic deformation are observed on the surface of Zr alloy because of the tangential stress.; (II) an amount of wear debris is generated and accumulated to form the wear debris layer.
Coatings 14 01543 g015
Figure 16. Microstructure of the zirconia phase in the oxide: (a) transmission electron microscope brightfield image, (b) high-resolution image of region A, and (ce) FFTs in region I, region II and region III in (B), respectively [53] (Reproduced with permission from Elsevier, Amsterdam, The Netherlands).
Figure 16. Microstructure of the zirconia phase in the oxide: (a) transmission electron microscope brightfield image, (b) high-resolution image of region A, and (ce) FFTs in region I, region II and region III in (B), respectively [53] (Reproduced with permission from Elsevier, Amsterdam, The Netherlands).
Coatings 14 01543 g016
Disclaimer/Publisher’s Note: The statements, opinions and data contained in all publications are solely those of the individual author(s) and contributor(s) and not of MDPI and/or the editor(s). MDPI and/or the editor(s) disclaim responsibility for any injury to people or property resulting from any ideas, methods, instructions or products referred to in the content.

Share and Cite

MDPI and ACS Style

Liu, S.; Liang, J.; Zhang, Y.; Duan, S.; Han, X. Evolution from Microstructure to Macroscopic Properties: Zirconium Alloys Under Irradiation. Coatings 2024, 14, 1543. https://doi.org/10.3390/coatings14121543

AMA Style

Liu S, Liang J, Zhang Y, Duan S, Han X. Evolution from Microstructure to Macroscopic Properties: Zirconium Alloys Under Irradiation. Coatings. 2024; 14(12):1543. https://doi.org/10.3390/coatings14121543

Chicago/Turabian Style

Liu, Shuiqing, Jiahao Liang, Yang Zhang, Shuyong Duan, and Xu Han. 2024. "Evolution from Microstructure to Macroscopic Properties: Zirconium Alloys Under Irradiation" Coatings 14, no. 12: 1543. https://doi.org/10.3390/coatings14121543

APA Style

Liu, S., Liang, J., Zhang, Y., Duan, S., & Han, X. (2024). Evolution from Microstructure to Macroscopic Properties: Zirconium Alloys Under Irradiation. Coatings, 14(12), 1543. https://doi.org/10.3390/coatings14121543

Note that from the first issue of 2016, this journal uses article numbers instead of page numbers. See further details here.

Article Metrics

Back to TopTop