Effects of Incorporating TiO2 Aggregates on the Growth, Anticorrosion, and Antibacterial Properties of Electrodeposited Multifunctional Coatings Based on Sn-Ni Materials
Abstract
1. Introduction
2. Materials and Methods
3. Results and Discussion
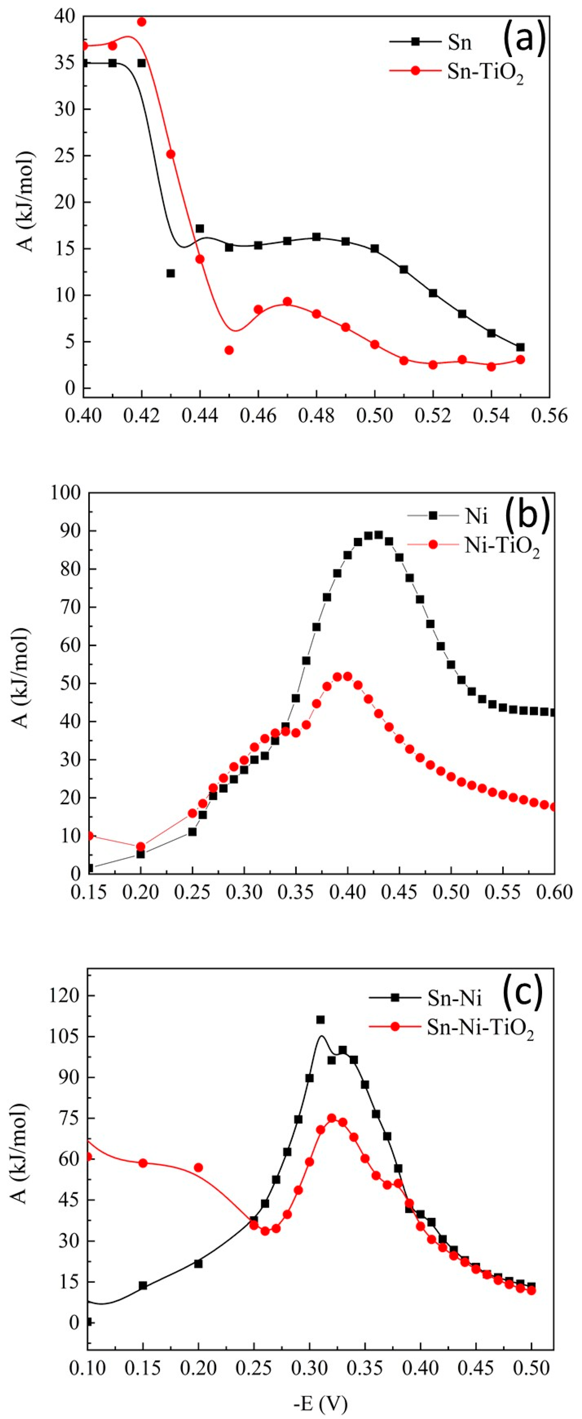
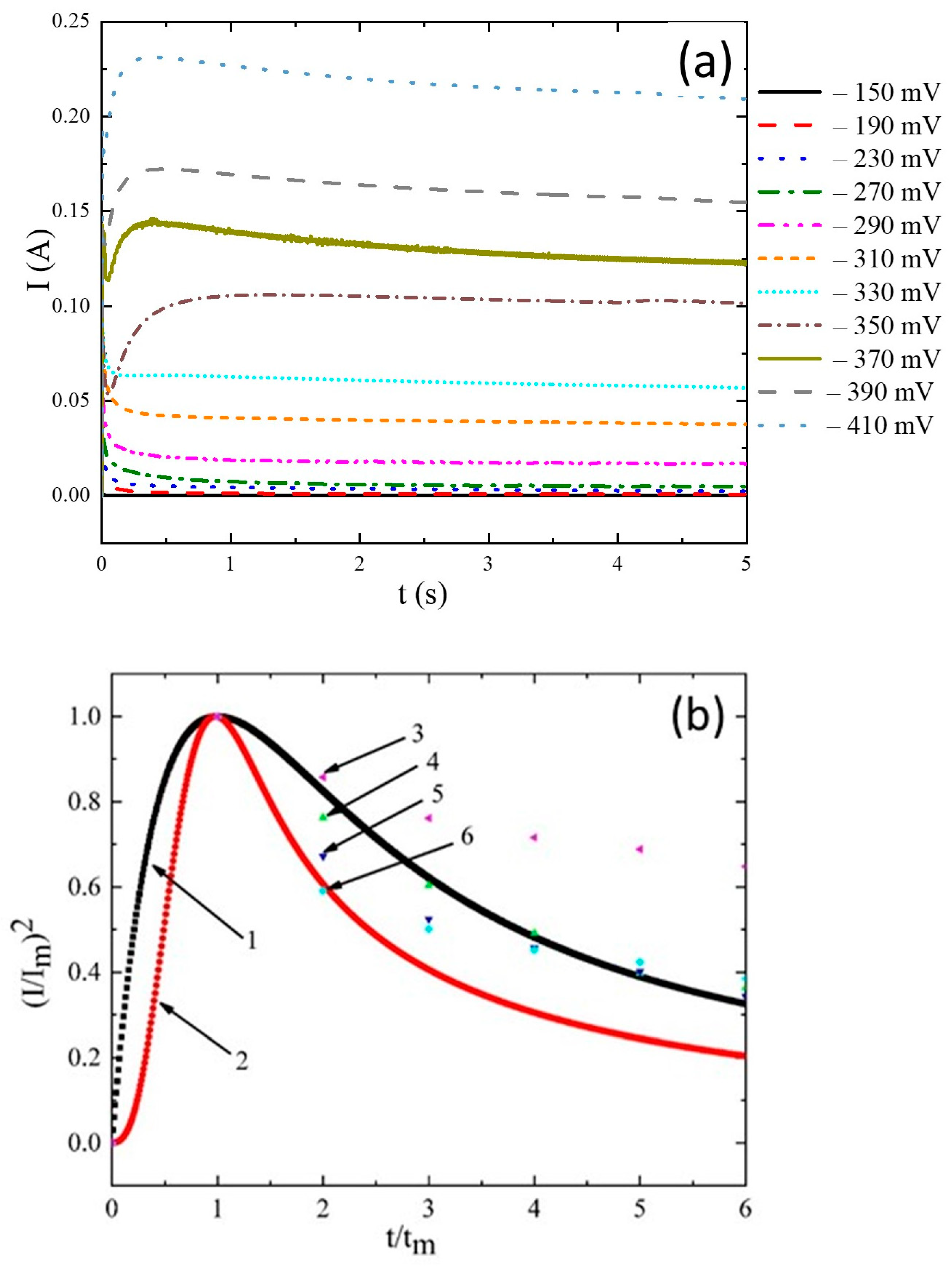
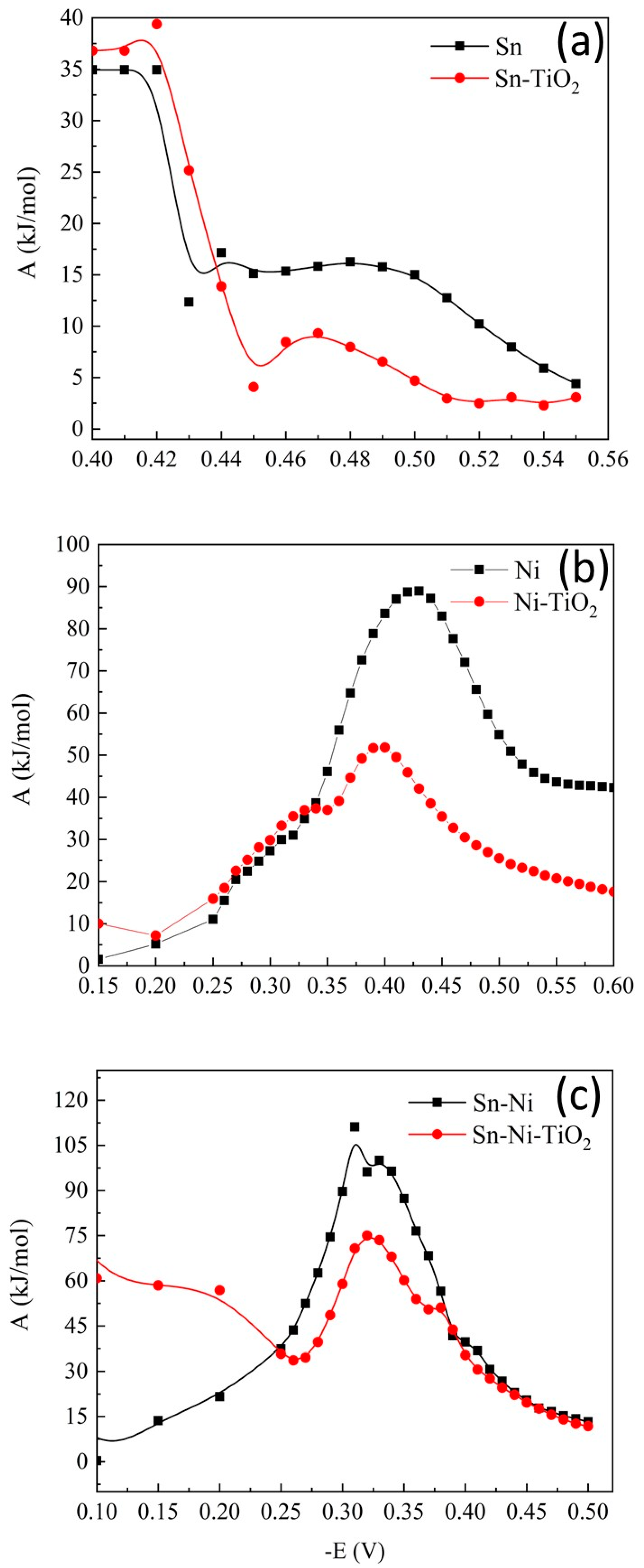
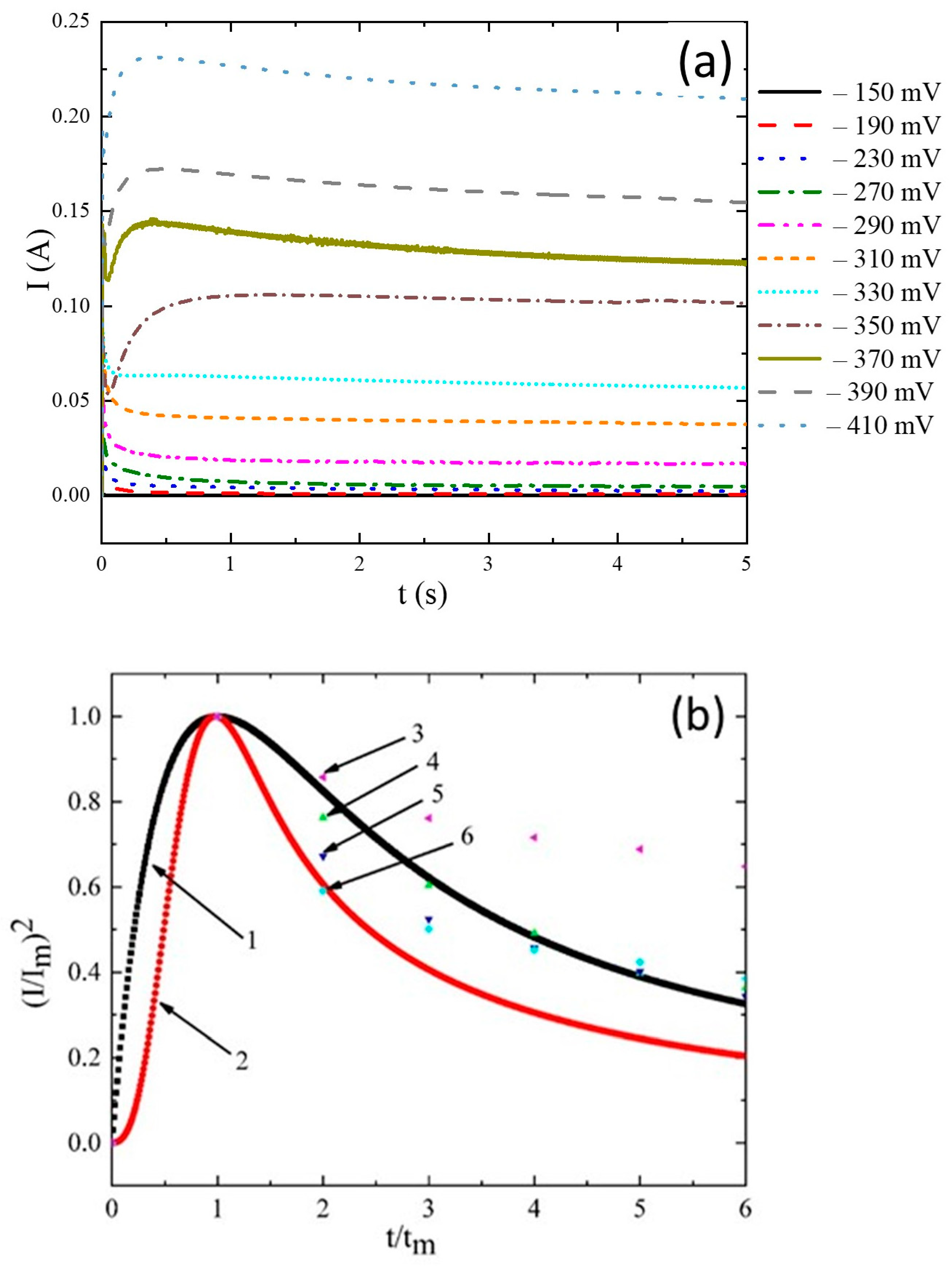
3.1. Influence of Current Density on Cathode Current Efficiency
3.2. The Influence of TiO2NP Concentration on the Structure and Composition of Deposited Coatings Based on Sn-Ni Alloy
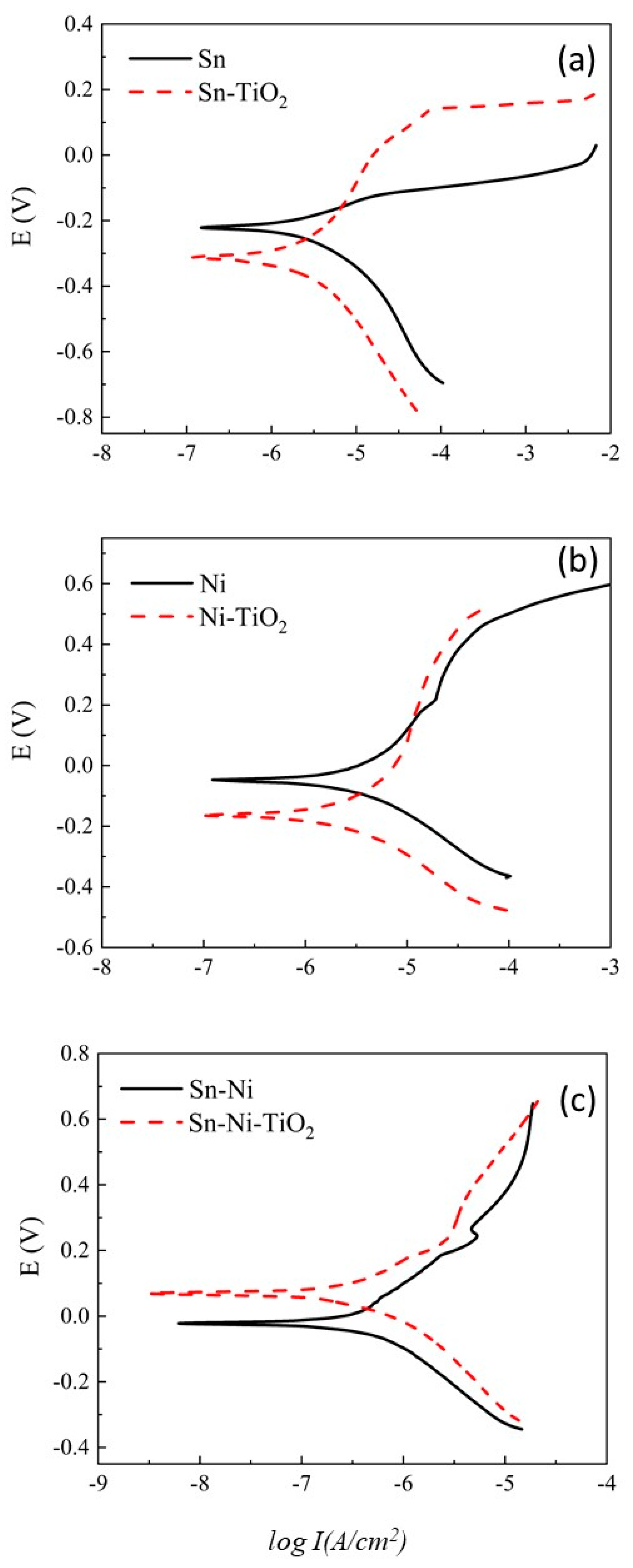
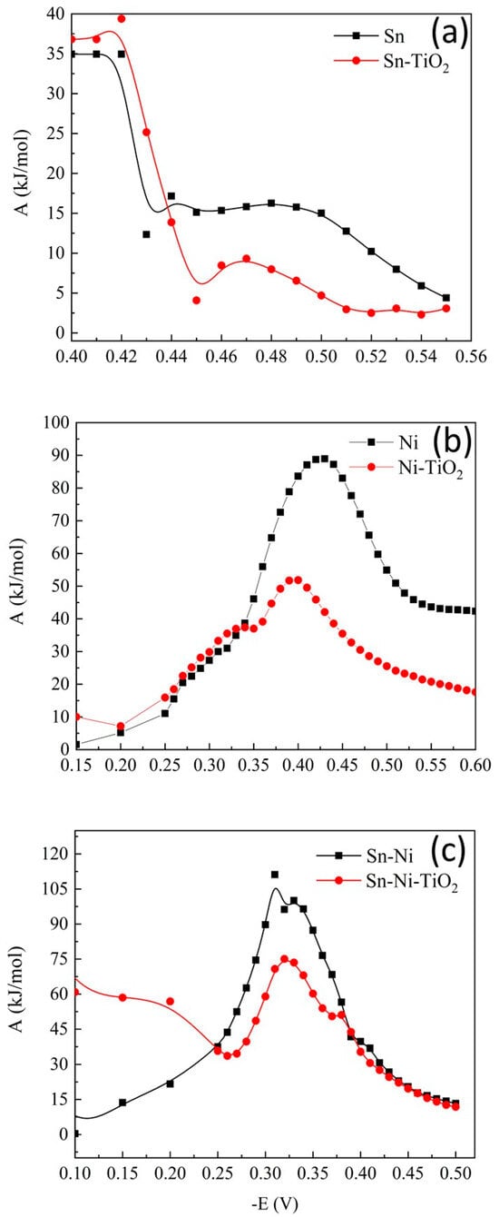
3.3. Corrosion Properties
4. Conclusions
Supplementary Materials
Author Contributions
Funding
Institutional Review Board Statement
Informed Consent Statement
Data Availability Statement
Acknowledgments
Conflicts of Interest
References
- Pop, A.B.; Iepure, G.; Titu, A.M.; Ravai-Nagy, S. Characterization and corrosion behavior of zinc coatings for two anti-corrosive protections: A detailed study. Coatings 2023, 13, 1460. [Google Scholar] [CrossRef]
- Klapper, H.S.; Zadorozne, N.S.; Rebak, R.B. Localized corrosion characteristics of nickel alloys: A review. Acta Metall. Sin. (Engl. Lett.) 2017, 30, 296–305. [Google Scholar] [CrossRef]
- Shi, T.; Liang, J.; Li, X.; Zhang, C.; Yang, H. Improving the corrosion resistance of aluminum alloy by creating a superhydrophobic surface structure through a two-step process of etching followed by polymer modification. Polymers 2022, 14, 4509. [Google Scholar] [CrossRef] [PubMed]
- Prando, D.; Brenna, A.; Diamanti, M.V. Corrosion of titanium: Part 1: Aggressive environments and main forms of degradation. JABFM 2017, 15, e291–e302. [Google Scholar] [CrossRef]
- Zhang, D.; Wei, B.; Wu, Z.; Wang, Z. A comparative study on the corrosion behaviour of Al, Ti, Zr and Hf metallic coatings deposited on AZ91D magnesium alloys. Surf. Coat. Tech. 2016, 303, 94–102. [Google Scholar] [CrossRef]
- Shukla, P.; Awasthi, S.; Ramkumar, J.; Balani, K. Protective trivalent Cr-based electrochemical coatings for gun barrels. J. Alloys Compd. 2018, 768, 1039–1048. [Google Scholar] [CrossRef]
- Marchewka, J.; Kołodziejczyk, E.; Bezkosty, P. Characterization of electrochemical deposition of copper and copper(I) oxide on the carbon nanotubes coated stainless steel substrates. Sci. Rep. 2023, 13, 6786. [Google Scholar] [CrossRef]
- Chen, M.; Liu, D.; Zi, B.; Chen, Y.; Liu, D.; Du, X.; Pan, H. Remarkable synergistic effect in cobalt-iron nitride/alloy nanosheets for robust electrochemical water splitting. J. Energy Chem. 2022, 65, 405–414. [Google Scholar] [CrossRef]
- Wei, B.; Legut, D.; Sun, S.; Wang, H.T.; Shi, Z.Z.; Zhang, H.J.; Zhang, R.F. Synergistic effect of solute and strain on the electrochemical degradation in representative Zn-based and Mg-based alloys. Corros. Sci. 2021, 188, 109539. [Google Scholar] [CrossRef]
- Marinou, A.; Lekatou, A.G.; Xanthopoulou, G.; Vekinis, G. Electrochemical behavior of nickel aluminide coatings produced by CAFSY method in aqueous NaCl solution. Coatings 2022, 12, 1935. [Google Scholar] [CrossRef]
- Wu, P.; Xue, Z.; Yu, T.; Penkov, O.V. Transparent self-cleaning coatings: A review. Coatings 2023, 13, 1270. [Google Scholar] [CrossRef]
- Wang, S.; Wan, Y.; Song, N. Automatically generated datasets: Present and potential self-cleaning coating materials. Sci. Data 2024, 11, 146. [Google Scholar] [CrossRef] [PubMed]
- Zheng, S.; Li, C.; Zhang, Y.; Xiang, T.; Cao, Y.; Li, Q.; Chen, Z. A General strategy towards superhydrophobic self-cleaning and anti-corrosion metallic surfaces: An example with aluminum alloy. Coatings 2021, 11, 788. [Google Scholar] [CrossRef]
- Su, F.; Yao, K. Facile Fabrication of superhydrophobic surface with excellent mechanical abrasion and corrosion resistance on copper substrate by a novel method. ACS Appl. Mater. Interfaces 2014, 6, 8762–8770. [Google Scholar] [CrossRef] [PubMed]
- Kharitonov, D.S.; Kasach, A.A.; Sergievich, D.S.; Wrzesińska, A.; Bobowska, I.; Darowicki, K.; Kurilo, I.I. Ultrasonic-assisted electrodeposition of Cu-Sn-TiO2 nanocomposite coatings with enhanced antibacterial activity. Ultrason. Sonochem. 2021, 75, 105593. [Google Scholar] [CrossRef]
- Kasach, A.A.; Kharytonau, D.S.; Zharskii, I.M.; Kurilo, I.I. Electrocrystallisation of Cu-Sn-TiO2 composite coatings in sulphuric acid electrolytes. Condens. Matter Interphases. 2022, 24, 220–226. [Google Scholar] [CrossRef]
- Mitra, D.; Kang, E.-T.; Neoh, K.G. Antimicrobial copper-based materials and coatings: Potential multifaceted biomedical applications. ACS Appl. Mater. Interfaces 2020, 12, 21159–21182. [Google Scholar] [CrossRef]
- Bharadishettar, N.; Bhat, K.U.; Bhat Panemangalore, D. Coating technologies for copper based antimicrobial active surfaces: A perspective review. Metals 2021, 11, 711. [Google Scholar] [CrossRef]
- O’Regan, B.C.; Grätzel, M. A low-cost, high-efficiency solar cell based on dye-sensitized colloidal TiO2 films. Nature 1991, 353, 737–740. [Google Scholar] [CrossRef]
- Murashkevich, A.N.; Alisienok, O.A.; Zharskii, I.M. Physicochemical and photocatalytic properties of nanosized titanium dioxide deposited on silicon dioxide microspheres. Kinet. Catal. 2011, 52, 830. [Google Scholar] [CrossRef]
- Jain, A.; Vaya, D. Photocatalytic activity of TiO2 nanomaterial. J. Chil. Chem. Soc. 2017, 62, 3683–3690. [Google Scholar] [CrossRef]
- Mhadhbi, M.; Abderrazak, H.; Avar, B. Synthesis and Properties of Titanium Dioxide Nanoparticles; IntechOpen: London, UK, 2023. [Google Scholar] [CrossRef]
- Freyre-Fonseca, V.; Téllez-Medina, D.I.; Medina-Reyes, E.I.; Cornejo-Mazón, M.; López-Villegas, E.O.; Alamilla-Beltrán, L.; Gutiérrez-López, G.F. Morphological and physicochemical characterization of agglomerates of titanium dioxide nanoparticles in cell culture media. J. Nanomater. 2016, 2016, 1–19. [Google Scholar] [CrossRef]
- Arumugam, C.; Velu, N.; Radhakrishnan, P.; Roy, V.A.L.; Anantha-Iyengar, G.; Lee, D.-E.; Kannan, V. Studies on the functional properties of titanium dioxide nanoparticles distributed in silyl–alkyl bridged polyaniline-based nanofluids. Nanomaterials 2023, 13, 2332. [Google Scholar] [CrossRef] [PubMed]
- Mehraz, S.; Luo, W.; Swiatowska, J.; Bezzazi, B.; Taleb, A. Hydrothermal synthesis of TiO2 aggregates and their application as negative electrodes for lithium–ion batteries: The conflicting effects of specific surface and pore size. Materials 2021, 14, 916. [Google Scholar] [CrossRef] [PubMed]
- Praveen, B.M.; Venkatesha, T.V.; Naik, Y.A.; Prashantha, K. Corrosion behavior of Zn-TiO2 composite coatings. Synth. React. Inorg. Met. Nano-Met. Chem. 2007, 37, 461–465. [Google Scholar] [CrossRef]
- Kang, B.; Lan, D.; Liu, L.; Dang, R.; Yao, C.; Liu, P.; Ma, F.; Qi, S.; Chen, X. Antibacterial activity and bioactivity of Zn-Doped TiO2 coating for implants. Coatings 2022, 12, 1264. [Google Scholar] [CrossRef]
- Makarava, I.; Esmaeili, M.; Kharytonau, D.S.; Pelcastre, L.; Ryl, J.; Bilesan, M.R.; Vuorinen, E.; Repo, E. Influence of CeO2 and TiO2 particles on physicochemical properties of composite nickel coatings electrodeposited at ambient temperature. Materials 2022, 15, 5550. [Google Scholar] [CrossRef]
- Baghery, P.; Farzam, M.; Mousavi, A.B.; Hosseini, M. Ni–TiO2 nanocomposite coating with high resistance to corrosion and wear. Surf. Coat. Technol. 2010, 204, 3804–3810. [Google Scholar] [CrossRef]
- Thiemig, D.; Bund, A. Characterization of electrodeposited Ni–TiO2 nanocomposite coatings. Surf. Coat. Technol. 2008, 202, 2976–2984. [Google Scholar] [CrossRef]
- Mozhgan, S.; Mahdi, M.; Seyed, M.E.; Mohammad, A. The role of TiO2 nanoparticles on the topography and hydrophobicity of electrodeposited Ni–TiO2 composite coating. Surf. Topogr. Metrol. Prop. 2020, 8, 025008. [Google Scholar] [CrossRef]
- Birlik, I.; Ak Azem, N.F.; Toparli, M.; Celik, E.; Koc Delice, T.; Yildirim, S.; Bardakcioglu, O.; Dikici, T. Preparation and characterization of Ni–TiO2 nanocomposite coatings produced by electrodeposition Technique. Front. Mater. 2016, 3, 46. [Google Scholar] [CrossRef]
- Rosolymou, E.; Karantonis, A.; Pavlatou, E.A. Effects of direct and pulse plating on the co-deposition of Sn-Ni/TiO2 composite coatings. Materials 2024, 17, 392. [Google Scholar] [CrossRef] [PubMed]
- Rosolymou, E.; Spanou, S.; Zanella, C.; Tsoukleris, D.S.; Kohler, S.; Leisner, P.; Pavlatou, E.A. Electrodeposition of photocatalytic Sn-Ni matrix composite coatings embedded with doped TiO2 particles. Coatings 2020, 10, 775. [Google Scholar] [CrossRef]
- Pyanko, A.V.; Makarova, I.V.; Kharitonov, D.S.; Makeeva, I.S.; Sergievich, D.S.; Chernik, A.A. Physicochemical and Biocidal Properties of Nickel–Tin and Nickel–Tin—Titania Coatings. Prot. Met. Phys. Chem. Surf. 2021, 57, 88–95. [Google Scholar] [CrossRef]
- Pyanko, A.V.; Makarova, I.V.; Kharitonov, D.S.; Makeeva, I.S.; Alisienok, O.A.; Chernik, A.A. Tin–Nickel–Titania Composite Coatings. Inorg. Mater. 2019, 55, 568–575. [Google Scholar] [CrossRef]
- Qader, I. Studying the Effect of TiO2 Coating and Improving Biocompatibility of NiTiSn Biomedical Shape Memory Alloys. Ph.D. Thesis, Fırat University, Elazığ, Turkey, 2021. [Google Scholar] [CrossRef]
- Wan, C.; Zhang, L.; Liu, X. Corrosion assessment of Sn-Ni alloy coatings using neutral salt spray tests and electrochemical methods. Int. J. Electrochem. Sci. 2020, 15, 26–38. [Google Scholar] [CrossRef]
- Wan, C.; Liu, X.; Ye, J. Tailorable deposition of Sn-Ni alloy from a pyrophosphate bath with an adjustable Sn:Ni molar ratio. Surf. Coatings Technol. 2019, 369, 244–251. [Google Scholar] [CrossRef]
- Subramanian, B.; Mohan, S.; Jayakrishnan, S. Selective area deposition of tin-nickel alloy-an alternative for decorative chromium plating. J. Appl. Electrochem. 2007, 37, 219–224. [Google Scholar] [CrossRef]
- Lačnjevac, U.; Jović, B.M.; Jović, V.D. Electrodeposition of Ni, Sn and Ni–Sn alloy coatings from pyrophosphate-glycine bath. J. Electrochem. Soc. 2012, 159, D310–D318. [Google Scholar] [CrossRef]
- Rudnik, E. The influence of sulfate ions on the electrodeposition of Ni-Sn alloys from acidic chloride-gluconate baths. J. Electroanal. Chem. 2014, 726, 97–106. [Google Scholar] [CrossRef]
- Jalota, S.K. Tin–nickel alloy plating. Met. Finish. 1999, 97, 319–322. [Google Scholar] [CrossRef]
- Kuznetsov, B.V.; Vorobyova, T.N.; Glibin, V.P. A Comparative study of tin-nickel alloys obtained by electroplating and casting. Met. Finish. 2013, 111, 38–42. [Google Scholar] [CrossRef]
- Lowenheim, F.A.; Sellers, W.W.; Carlin, F.X. The protective value of tin-nickel alloy deposits on steel. J. Electrochem. Soc. 1958, 105, 338–346. [Google Scholar] [CrossRef]
- Shetty, S.; Hegde, A.C. Electrodeposition of Sn-Ni alloy coatings for water-splitting application from alkaline medium. Metall. Mater. Trans. B. 2017, 48, 632–641. [Google Scholar] [CrossRef]
- Refaey, S.A.M.; Taha, F.; Hasanin, T.H.A. Electrochemical behavior of Sn-Ni nanostructured compound in alkaline media and the effect of halide ions. Appl. Surf. Sci. 2004, 227, 416–428. [Google Scholar] [CrossRef]
- Zhu, Y.; Liu, T.; Li, L.; Song, S.; Ding, R. Nickel-based electrodes as catalysts for hydrogen evolution reaction in alkaline media. Ionics 2018, 24, 1121–1127. [Google Scholar] [CrossRef]
- Lačnjevac, U.C.; Jović, V.D.; Jović, B.M. Electrodeposition and characterization of Ni–Sn alloy coatings as cathodematerial for hydrogen evolution reaction in alkaline solutions. ZAŠTITA Mater. 2011, 52, 153–158. [Google Scholar]
- Benea, L.; Danaila, E. Nucleation and growth mechanism of Ni/TiO2 nanoparticles electro-codeposition. J. Electrochem. Soc. 2016, 163, D655–D662. [Google Scholar] [CrossRef]
- ISO 27447:2019; Fine Ceramics (Advanced Ceramics, Advanced Technical Ceramics)—Test Method for Antibacterial Activity of Semiconducting Photocatalytic Materials. ISO: Geneva, Switzerland, 2019.
- Xue, Y.; Wang, S.; Zhao, G.; Taleb, A.; Jin, Y. Fabrication of NiCo coating by electrochemical deposition with high super-hydrophobic properties for corrosion protection. Surf. Coat. Technol. 2019, 363, 352–361. [Google Scholar] [CrossRef]
- Liang, C.; Liu, X.; Teng, F.; Li, Y.; Gao, S. TiO2/EP superhydrophobic composite coating with excellent mechanical and chemical stability. Surf. Coat. Technol. 2024, 481, 130641. [Google Scholar] [CrossRef]
- Basavegowda, N.; Baek, K.-H. Multimetallic nanoparticles as alternative antimicrobial agents: Challenges and perspectives. Molecules 2021, 26, 912. [Google Scholar] [CrossRef] [PubMed]
- Gold, K.; Slay, B.; Knackstedt, M.; Gaharwar, A.K. Antimicrobial activity of metal and metal-oxide based nanoparticles. Adv. Therap. 2018, 1, 1700033. [Google Scholar] [CrossRef]
- Celardo, I.; Pedersen, J.Z.; Traversa, E.; Ghibelli, L. Pharmacological potential of cerium oxide nanoparticles. Nanoscale 2011, 3, 1411. [Google Scholar] [CrossRef] [PubMed]
- Arreche, R.; Bellotti, N.; Blanco, M.; Vázquez, P. Synthesis and characterization of zirconium oxides for use as antimicrobial additives in paints. Proc. Mat. Sc. 2015, 9, 627–634. [Google Scholar] [CrossRef]
- Nguyen, N.T.; Grelling, N.; Wetteland, C.L.; Rosario, R.; Liu, H. Antimicrobial activities and mechanisms of magnesium oxide nanoparticles (nMgO) against pathogenic bacteria, yeasts, and biofilms. Sci. Rep. 2018, 8, 16260. [Google Scholar] [CrossRef] [PubMed]
- Liu, K.; Cheng, F.; Luo, Y.; Liu, L.; Wang, C.; Xie, K.; Luo, X. Porous single crystalline-like titanium dioxide monolith with enhanced photoelectrochemical performance. Front. Mater 2023, 10, 1177093. [Google Scholar] [CrossRef]
- Alshibeh, A.N.; Vacandio, F.; Vassalo, L.; Djenizian, T.; Coulomb, B.; Boudenne, J.-L. Effects of mode of preparation of titanium dioxide nanotube arrays on their photocatalytic properties: Application to p-nitroaniline degradation. Micro 2023, 3, 369–381. [Google Scholar] [CrossRef]
- Lowry, G.V.; Gregory, K.B.; Apte, S.C.; Lead, J.R. Transformations of nanomaterials in the environment. Environ. Sci. Technol. 2012, 46, 6893–6899. [Google Scholar] [CrossRef]
- Oktar, F.N.; Yetmez, M.; Ficai, D.; Ficai, A.; Dumitru, F.; Pica, A. Molecular mechanism and targets of the antimicrobial activity of metal nanoparticles. Curr. Top. Med. Chem. 2015, 15, 1583–1588. [Google Scholar] [CrossRef]
- Ibáñez, J.A.; Litter, M.I.; Pizarro, R.A. Photocatalytic bactericidal effect of TiO2 on Enterobacter cloacae. J. Photochem. Photobiol. A 2003, 157, 81–85. [Google Scholar] [CrossRef]
- Wyszogrodzka, G.; Marszalek, B.; Gil, B.; Dorozynski, P. Metal-organic frameworks: Mechanisms of antibacterial action and potential applications. Drug Discov. Today 2016, 21, 1009–1018. [Google Scholar] [CrossRef] [PubMed]
- Abdal Dayem, A.; Hossain, M.; Lee, S.; Kim, K.; Saha, S.; Yang, G.-M.; Cho, S.-G. The role of reactive oxygen species (ROS) in the biological activities of metallic nanoparticles. Int. J. Mol. Sci. 2017, 18, 120. [Google Scholar] [CrossRef]
- Sandulescu, A.; Anastasescu, C.; Papa, F.; Raciulete, M.; Vasile, A.; Spataru, T.; Scarisoreanu, M.; Fleaca, C.; Mihailescu, C.N.; Teodorescu, V.; et al. Advancements on basic working principles of photo-driven oxidative degradation of organic substrates over pristine and noble metal-modified TiO2. Model case of phenol photo oxidation. Catalysts 2021, 11, 487. [Google Scholar] [CrossRef]
- Laxma Reddy, P.V.; Kavitha, B.; Kumar Reddy, P.A.; Kim, K.-H. TiO2-based photocatalytic disinfection of microbes in aqueous media: A review. Environ. Res. 2017, 154, 296–303. [Google Scholar] [CrossRef] [PubMed]
- Anandgaonker, P.; Kulkarni, G.; Gaikwad, S.; Rajbhoj, A. Synthesis of TiO2 nanoparticles by electrochemical method and their antibacterial application. Arab. J. Chem. 2015, 12, 1815–1822. [Google Scholar] [CrossRef]
- Younis, A.B.; Milosavljevic, V.; Fialova, T.; Smerkova, K.; Michalkova, H.; Svec, P.; Antal, P.; Kopel, P.; Adam, V.; Zurek, L.; et al. Synthesis and characterization of TiO2 nanoparticles combined with geraniol and their synergistic antibacterial activity. BMC Microbiol. 2023, 23, 207. [Google Scholar] [CrossRef]
- Du, T.; Huang, B.; Cao, J.; Li, C.; Jiao, J.; Xiao, Z.; Wei, L.; Ma, J.; Du, X.; Wang, S. Ni nanocrystals supported on graphene oxide: Antibacterial agents for synergistic treatment of bacterial infections. ACS Omega 2022, 7, 18339–18349. [Google Scholar] [CrossRef]
- Yasuyuki, M.; Kunihiro, K.; Kurissery, S.; Kanavillil, N.; Sato, Y.; Kikuchi, Y. Antibacterial properties of nine pure metals: A laboratory study using Staphylococcus aureus and Escherichia coli. Biofouling 2010, 26, 851–858. [Google Scholar] [CrossRef]


















| Component | Concentration, mol/L | ||
|---|---|---|---|
| Electrolyte 1 | Electrolyte 2 | Electrolyte 3 | |
| SnCl2·2H2O | 0.22 ± 0.02 | 0.22 ± 0.02 | – |
| NiCl2·6H2O | 1.05 ± 0.02 | – | 1.05 ± 0.02 |
| NH4F | 1.35 ± 0.14 | 1.35 ± 0.05 | 1.35 ± 0.05 |
| NaCl | – | 3.19 ± 0.03 | 0.67 ± 0.03 |
| Compounds | Sodium Chloride (NaCl) | Ammonium Chloride (NH4Cl) | Urea ((NH2)2CO) | Acetic Acid (CH3COOH) | L-Lactic Acid (C3H6O3) |
|---|---|---|---|---|---|
| Concentration, g/L | 20.0 | 17.5 | 5.0 | 2.5 | 15.0 |
| Coating | Element | Composition, wt.% |
|---|---|---|
| 1 | 2 | 3 |
| Sn | Sn | 100 |
| Sn TiO2NPs | Sn | 38.38 |
| Cu | 60.47 | |
| TiO2 | 0.73 | |
| Ni | Ni | 100 |
| Ni TiO2NPs | Ni | 99.87 |
| TiO2 | 0.13 | |
| Sn-Ni | Sn | 51.69 |
| Ni | 48.31 | |
| Sn-Ni TiO2NPs | Sn | 55.78 |
| Ni | 44.22 | |
| TiO2 | 0 |
| Coating | Element | Composition, wt% |
|---|---|---|
| Sn-Ni | Ni | 32.31 |
| Sn | 67.66 | |
| Cl | 0.03 | |
| Sn-Ni TiO2NPs (1 g/L) | Ni | 46.19 |
| Sn | 53.77 | |
| Cl | 0.04 | |
| Ti | - | |
| Sn-Ni-TiO2NPs (2 g/L) | Ni | 37.26 |
| Sn | 62.59 | |
| Cl | 0.03 | |
| Ti | 0.12 |
| Coating | Ra, µm | Rz, µm | Rmax, µm |
|---|---|---|---|
| Sn | 1.14 | 5.24 | 7.89 |
| Sn-TiO2NPs | 3.54 | 13.11 | 20.73 |
| Ni | 0.21 | 1.04 | 1.37 |
| Ni-TiO2NPs | 0.58 | 3.05 | 3.94 |
| Sn-Ni | 0.41 | 2.02 | 3.45 |
| Sn-Ni-TiO2NPs | 0.34 | 1.66 | 2.97 |
| Coating | Rs (Ω cm2) | R1 (Ω cm2) | Y1 (Ω−2 cm−2sn) | n1 | R2 (Ω cm2) | Y2 (Ω−2 cm−2sn) | n2 |
|---|---|---|---|---|---|---|---|
| Sn | 18.74 | 11,300 | 1.53 × 10−5 | 0.8 | 3000 | 5.93 × 10−4 | 0.5 |
| Sn-TiO2NPs | 5.03 | 7450 | 5.03 × 10−5 | 0.78 | 1000 | 4.43 × 10−4 | 0.15 |
| Ni | 12.53 | 6277 | 1.9 × 10−4 | 0.8 | 832.9 | 1.77 × 10−5 | 0.79 |
| Ni-TiO2NPs | 13.57 | 19,277 | 7.93 × 10−5 | 0.7 | 3833 | 5.16 × 10−5 | 0.89 |
| Sn-Ni | 11.5 | 33,053 | 4.98 × 10−5 | 0.91 | 9896 | 7.96 × 10−5 | 0.62 |
| Sn-Ni-TiO2NPs | 18.04 | 25,067 | 3.65 × 10−5 | 0.79 | 8891 | 5.13 × 10−5 | 0.51 |
| Coating | Icorr (A/cm2) | Ecorr (V) | aa (V) | ba (V) | |ac| (V) | |bc| (V) |
|---|---|---|---|---|---|---|
| Sn | 1.36 × 10−4 | −0.42 | 0.20 | 0.06 | 0.64 | 0.06 |
| Sn-TiO2NPs | 1.17 × 10−4 | −0.35 | 0.21 | 0.04 | 0.46 | 0.03 |
| Ni | 4.84 × 10−5 | 0.13 | 0.23 | 0.02 | 0.03 | 0.04 |
| Ni-TiO2NPs | 4.87 × 10−5 | 0.17 | 0.39 | 0.05 | 0.10 | 0.06 |
| Sn-Ni | 1.82 × 10−4 | 0.08 | 0.36 | 0.08 | 0.16 | 0.06 |
| Sn-Ni-TiO2NPs | 2.63 × 10−5 | −0.2 | 0.06 | 0.03 | 0.67 | 0.10 |
| Coating | Rs, (Ω cm2) | R1, (Ω cm2) | Y1, (Ω−2 cm−2sn) | n1 | R2, (Ω cm2) | Y2, Ω−2 (cm−2sn) | n2 |
|---|---|---|---|---|---|---|---|
| Sn | 7.89 | 10,188 | 3.6 × 10−5 | 0.61 | 1465 | 1.7 × 10−6 | 0.77 |
| Sn-TiO2NPs | 11.89 | 11,324 | 3.3 × 10−5 | 0.82 | 1024 | 5.15 × 10−5 | 0.86 |
| Ni | 11.62 | 21,679 | 1.95 × 10−4 | 0.76 | 1918 | 1.24 × 10−5 | 0.33 |
| Ni-TiO2NPs | 13.42 | 44,679 | 6.95 × 10−5 | 0.74 | 4118 | 1.42 × 10−5 | 0.43 |
| Sn-Ni | 11.98 | 145,600 | 3.91 × 10−5 | 0.8 | 18,286 | 5.57 × 10−5 | 0.64 |
| Sn-Ni-TiO2NPs | 12.58 | 75,240 | 3.7 × 10−5 | 0.82 | 30,001 | 8.99 × 10−5 | 0.78 |
| Coating | Icorr, A/cm2 | Ecorr, V | aa, B | ba, B | |ak|, B | |bk|, B |
|---|---|---|---|---|---|---|
| Sn | 1.03 × 10−4 | −0.22 | 0.048 | 0.066 | 0.606 | 0.098 |
| Sn-TiO2 | 6.48 × 10−5 | −0.33 | 0.145 | 0.112 | 0.601 | 0.066 |
| Ni | 2.39 × 10−5 | 0.05 | 0.483 | 0.095 | 0.792 | 0.181 |
| Ni-TiO2 | 2.18 × 10−5 | −0.18 | 0.025 | 0.032 | 0.378 | 0.044 |
| Sn-Ni | 1.01 × 10−5 | −0.02 | 0.18 | 0.04 | 0.298 | 0.056 |
| Sn-Ni-TiO2 | 9.95 × 10−6 | 0.08 | 0.33 | 0.051 | 0.329 | 0.081 |
| Sample | Concentration of Bacterial Cells C (CFU/mL) | Reduction Factors (RF) | |
|---|---|---|---|
| Under UV Irradiation | Without UV Irradiation | ||
| Sn-Ni (control) | 3.3 × 103 | 1.4 × 106 | 2.6 |
| Sn-Ni-TiO2NPs | 2.0 × 101 | 5.0 × 105 | 4.4 |
| Ni | 7.0 × 101 | 1.3 × 106 | 4.3 |
| Ni-TiO2NPs | 4.0 × 101 | 9.9 × 105 | 4.4 |
| Sn | 3.0 × 101 | 4.4 × 105 | 4.1 |
| Sn-TiO2NPs | 2.0 × 101 | 1.1 × 106 | 4.7 |
| Sn-Ni-TiO2NPs (Degussa) | 8.0 × 101 | 1.6 × 105 | 3.3 |
| Sample | Concentration of Bacterial Cells C, CFU/mL | Reduction Factors (RF) | |
|---|---|---|---|
| Under UV Irradiation | Without UV Irradiation | ||
| Sn-Ni (control) | 5.4 × 103 | 3.9 × 105 | 1.9 |
| Sn-Ni-TiO2 | 3.4 × 102 | 9.0 × 104 | 3.4 |
| Ni | 3.6 × 102 | 1.5 × 105 | 2.6 |
| Ni-TiO2 | 6.0 × 101 | 2.5 × 105 | 3.6 |
| Sn | 1.9 × 102 | 4.6 × 104 | 2.3 |
| Sn-TiO2 | 1.6 × 103 | 5.9 × 105 | 2.6 |
| Sn-Ni-TiO2 (Degussa) | 8.0 × 101 | 2.5 × 105 | 3.4 |
Disclaimer/Publisher’s Note: The statements, opinions and data contained in all publications are solely those of the individual author(s) and contributor(s) and not of MDPI and/or the editor(s). MDPI and/or the editor(s) disclaim responsibility for any injury to people or property resulting from any ideas, methods, instructions or products referred to in the content. |
© 2024 by the authors. Licensee MDPI, Basel, Switzerland. This article is an open access article distributed under the terms and conditions of the Creative Commons Attribution (CC BY) license (https://creativecommons.org/licenses/by/4.0/).
Share and Cite
Pianka, H.; Boufal, V.P.; Alisiyonok, O.; Vlasov, M.; Chernik, A.; Xue, Y.; Taleb, A. Effects of Incorporating TiO2 Aggregates on the Growth, Anticorrosion, and Antibacterial Properties of Electrodeposited Multifunctional Coatings Based on Sn-Ni Materials. Coatings 2024, 14, 1344. https://doi.org/10.3390/coatings14111344
Pianka H, Boufal VP, Alisiyonok O, Vlasov M, Chernik A, Xue Y, Taleb A. Effects of Incorporating TiO2 Aggregates on the Growth, Anticorrosion, and Antibacterial Properties of Electrodeposited Multifunctional Coatings Based on Sn-Ni Materials. Coatings. 2024; 14(11):1344. https://doi.org/10.3390/coatings14111344
Chicago/Turabian StylePianka, Hanna, Valeria P. Boufal, Olga Alisiyonok, Maxim Vlasov, Alexander Chernik, Yanpeng Xue, and Abdelhafed Taleb. 2024. "Effects of Incorporating TiO2 Aggregates on the Growth, Anticorrosion, and Antibacterial Properties of Electrodeposited Multifunctional Coatings Based on Sn-Ni Materials" Coatings 14, no. 11: 1344. https://doi.org/10.3390/coatings14111344
APA StylePianka, H., Boufal, V. P., Alisiyonok, O., Vlasov, M., Chernik, A., Xue, Y., & Taleb, A. (2024). Effects of Incorporating TiO2 Aggregates on the Growth, Anticorrosion, and Antibacterial Properties of Electrodeposited Multifunctional Coatings Based on Sn-Ni Materials. Coatings, 14(11), 1344. https://doi.org/10.3390/coatings14111344

