First-Principles Study of Electronic Structure and Optical Properties of Ni-Doped Bi4O5Br2
Abstract
1. Introduction
2. Computational Methods
3. Results and Discussion
3.1. Structure Optimization
- -
- is the total energy of the doped Bi4O5Br2,
- -
- is the total energy of Bi4O5Br2 without doping,
- -
- nBi and nNi, represent the quantities of added or removed atoms of Bi and Ni, respectively, in the assembly of various cells,
- -
- and μBi and μNi are the chemical potentials of, respectively; determined through DFT calculations as illustrated in Figure 1c. Each of μBi and μNi corresponds to the energy per atom in their respective bulk crystals, μBi and μNi.
3.2. Electronic Structures
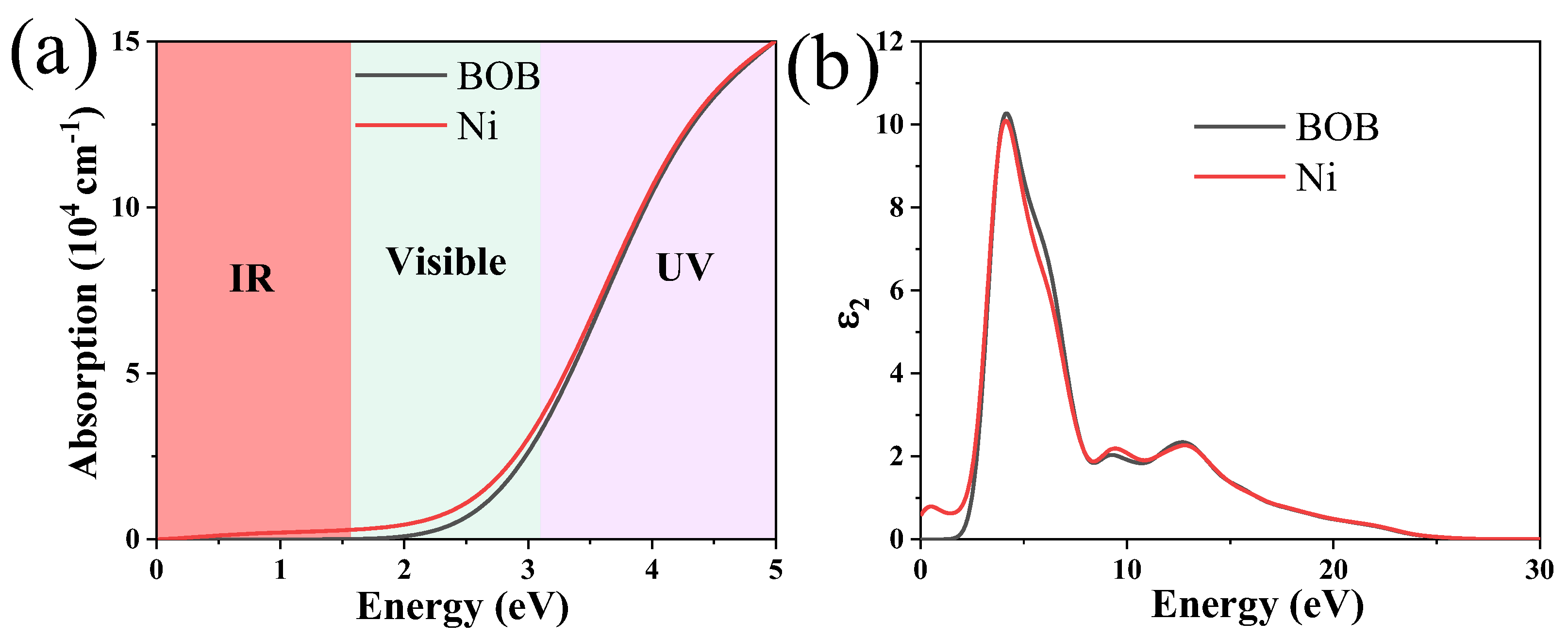
3.3. Optical Properties
3.4. Photocatalytic Properties
4. Conclusions
Author Contributions
Funding
Data Availability Statement
Conflicts of Interest
References
- Fujishima, A.; Honda, K. Electrochemical Photolysis of Water at a Semiconductor Electrode. Nature 1972, 238, 37–38. [Google Scholar] [CrossRef] [PubMed]
- Zou, Z.; Ye, J.; Sayama, K.; Arakawa, H. Direct splitting of water under visible light irradiation with an oxide semiconductor photocatalyst. Nature 2001, 414, 625–627. [Google Scholar] [CrossRef] [PubMed]
- Hoffmann, M.R.; Martin, S.T.; Choi, W.; Bahnemann, D.W. Environmental Applications of Semiconductor Photocatalysis. Chem. Rev. 1995, 95, 69–96. [Google Scholar] [CrossRef]
- Hisatomi, T.; Kubota, J.; Domen, K. Recent advances in semiconductors for photocatalytic and photoelectrochemical water splitting. Chem. Soc. Rev. 2014, 43, 7520–7535. [Google Scholar] [CrossRef] [PubMed]
- Gong, E.; Ali, S.; Hiragond, C.B.; Kim, H.S.; Powar, N.S.; Kim, D.; Kim, H.; In, S.I. Solar fuels: Research and development strategies to accelerate photocatalytic CO2 conversion into hydrocarbon fuels. Energy Environ. Sci. 2022, 15, 880–937. [Google Scholar] [CrossRef]
- Garrido-Barros, P.; Derosa, J.; Chalkley, M.J.; Peters, J.C. Tandem electrocatalytic N-2 fixation via proton-coupled electron transfer. Nature 2022, 609, 71–76. [Google Scholar] [CrossRef]
- Rueda-Márquez, J.J.; Levchuk, I.; Ibáñez, P.F.; Sillanpää, M. A critical review on application of photocatalysis for toxicity reduction of real wastewaters. J. Clean. Prod. 2020, 258, 120694. [Google Scholar] [CrossRef]
- Cheng, L.; Xiang, Q.; Liao, Y.; Zhang, H. CdS-Based photocatalysts. Energy Environ. Sci. 2018, 11, 1362–1391. [Google Scholar] [CrossRef]
- Nakata, K.; Ochiai, T.; Murakami, T.; Fujishima, A. Photoenergy conversion with TiO2 photocatalysis: New materials and recent applications. Electrochim. Acta 2012, 84, 103–111. [Google Scholar] [CrossRef]
- Agustianingrum, M.P.; Yoshida, S.; Tsuji, N.; Park, N. Effect of aluminum addition on solid solution strengthening in CoCrNi medium-entropy alloy. J. Alloys Compd. 2019, 781, 866–872. [Google Scholar] [CrossRef]
- Li, J.; Yu, Y.; Zhang, L. Bismuth oxyhalide nanomaterials: Layered structures meet photocatalysis. Nanoscale 2014, 6, 8473–8488. [Google Scholar] [CrossRef] [PubMed]
- Jin, X.; Ye, L.; Xie, H.; Chen, G. Bismuth-rich bismuth oxyhalides for environmental and energy photocatalysis. Coord. Chem. Rev. 2017, 349, 84–101. [Google Scholar] [CrossRef]
- Qian, Y.; Zhang, F.; Pang, H. A Review of MOFs and Their Composites-Based Photocatalysts: Synthesis and Applications. Adv. Funct. Mater. 2021, 31, 2104231. [Google Scholar] [CrossRef]
- Hu, X.-L.; Li, H.-G.; Tan, B.-E. COFs-based Porous Materials for Photocatalytic Applications. Chin. J. Polym. Sci. 2020, 38, 673–684. [Google Scholar] [CrossRef]
- Ji, X.-Y.; Sun, K.; Liu, Z.-K.; Liu, X.; Dong, W.; Zuo, X.; Shao, R.; Tao, J. Identification of Dynamic Active Sites Among Cu Species Derived from MOFs@CuPc for Electrocatalytic Nitrate Reduction Reaction to Ammonia. Nano-Micro Lett. 2023, 15, 110. [Google Scholar] [CrossRef]
- Zhang, L.W.; Mohamed, H.H.; Dillert, R.; Bahnemann, D. Kinetics and mechanisms of charge transfer processes in photocatalytic systems: A review. J. Photochem. Photobiol. C-Photochem. Rev. 2012, 13, 263–276. [Google Scholar] [CrossRef]
- Wang, W.; Tade, M.O.; Shao, Z.P. Nitrogen-doped simple and complex oxides for photocatalysis: A review. Prog. Mater. Sci. 2018, 92, 33–63. [Google Scholar] [CrossRef]
- Liu, Y.; Yang, Y.N.; Zhang, B.H.; Deng, D.; Ning, J.; Liu, G.H.; Xue, S.Q.; Zhang, F.C.; Liu, X.H.; Zhang, W.B. Electronic structure and optical properties of CdS/BiOI heterojunction improved by oxygen vacancies. J. Alloys Compd. 2023, 955, 170235. [Google Scholar] [CrossRef]
- Ning, J.; Zhang, B.; Siqin, L.; Liu, G.; Wu, Q.; Xue, S.; Shao, T.; Zhang, F.; Zhang, W.; Liu, X. Designing advanced S-scheme CdS QDs/La-Bi2WO6 photocatalysts for efficient degradation of RhB. Exploration 2023, 3, 20230050. [Google Scholar] [CrossRef]
- Liu, H.D.; Cheng, M.; Liu, Y.; Wang, J.; Zhang, G.X.; Li, L.; Du, L.; Wang, G.F.; Yang, S.Z.; Wang, X.Y. Single atoms meet metal-organic frameworks: Collaborative efforts for efficient photocatalysis. Energy Environ. Sci. 2022, 15, 3722–3749. [Google Scholar] [CrossRef]
- Ma, H.; Zhao, F.; Li, M.; Wang, P.; Fu, Y.; Wang, G.; Liu, X. Construction of hollow binary oxide heterostructures by Ostwald ripening for superior photoelectrochemical removal of reactive brilliant blue KNR dye. Adv. Powder Mater. 2023, 2, 100117. [Google Scholar] [CrossRef]
- Zhang, B.; Fang, C.; Ning, J.; Dai, R.; Liu, Y.; Wu, Q.; Zhang, F.; Zhang, W.; Dou, S.; Liu, X. Unusual aliovalent Cd doped γ-Bi2MoO6 nanomaterial for efficient photocatalytic degradation of sulfamethoxazole and rhodamine B under visible light irradiation. Carbon Neutralization 2023, 2, 646–660. [Google Scholar] [CrossRef]
- Park, H.; Park, Y.; Kim, W.; Choi, W. Surface modification of TiO2 photocatalyst for environmental applications. J. Photochem. Photobiol. C-Photochem. Rev. 2013, 15, 1–20. [Google Scholar] [CrossRef]
- Low, J.X.; Yu, J.G.; Jaroniec, M.; Wageh, S.; Al-Ghamdi, A.A. Heterojunction Photocatalysts. Adv. Mater. 2017, 29, 1601694. [Google Scholar] [CrossRef] [PubMed]
- Zhang, B.; Liu, G.; Shi, H.; Wu, Q.; Xue, S.; Shao, T.; Fuchun, Z.; Liu, X. Density Functional Theory Study of Electronic Structure and Optical Properties of Ln3+-Doped γ-Bi2MoO6 (Ln = Gd, Ho, Yb). Crystals 2023, 13, 1158. [Google Scholar] [CrossRef]
- Chen, J.; Guan, M.L.; Cai, W.Z.; Guo, J.J.; Xiao, C.; Zhang, G.K. The dominant {001} facet-dependent enhanced visible-light photoactivity of ultrathin BiOBr nanosheets. Phys. Chem. Chem. Phys. 2014, 16, 20909–20914. [Google Scholar] [CrossRef]
- Di, J.; Xia, J.X.; Ji, M.X.; Wang, B.; Yin, S.; Xu, H.; Chen, Z.G.; Li, H.M. Carbon Quantum Dots Induced Ultrasmall BiOI Nanosheets with Assembled Hollow Structures for Broad Spectrum Photocatalytic Activity and Mechanism Insight. Langmuir 2016, 32, 2075–2084. [Google Scholar] [CrossRef]
- He, R.A.; Cao, S.W.; Zhou, P.; Yu, J.G. Recent advances in visible light Bi-based photocatalysts. Chin. J. Catal. 2014, 35, 989–1007. [Google Scholar] [CrossRef]
- Li, H.; Shang, J.; Shi, J.G.; Zhao, K.; Zhang, L.Z. Facet-dependent solar ammonia synthesis of BiOCl nanosheets via a proton-assisted electron transfer pathway. Nanoscale 2016, 8, 1986–1993. [Google Scholar] [CrossRef]
- Li, J.; Zhan, G.M.; Yu, Y.; Zhang, L.Z. Superior visible light hydrogen evolution of Janus bilayer junctions via atomic-level charge flow steering. Nat. Commun. 2016, 7, 11480. [Google Scholar] [CrossRef]
- Xu, J.; Li, L.; Guo, C.S.; Zhang, Y.; Wang, S.F. Removal of benzotriazole from solution by BiOBr photocatalysis under simulated solar irradiation. Chem. Eng. J. 2013, 221, 230–237. [Google Scholar] [CrossRef]
- Cheng, H.F.; Huang, B.B.; Dai, Y. Engineering BiOX (X = Cl, Br, I) nanostructures for highly efficient photocatalytic applications. Nanoscale 2014, 6, 2009–2026. [Google Scholar] [CrossRef] [PubMed]
- Ai, Z.H.; Wang, J.L.; Zhang, L.Z. Substrate-dependent photoreactivities of BiOBr nanoplates prepared at different pH values. Chin. J. Catal. 2015, 36, 2145–2154. [Google Scholar] [CrossRef]
- Di, J.; Xia, J.X.; Ji, M.X.; Wang, B.; Li, X.W.; Zhang, Q.; Chen, Z.G.; Li, H.M. Nitrogen-Doped Carbon Quantum Dots/BiOBr Ultrathin Nanosheets: In Situ Strong Coupling and Improved Molecular Oxygen Activation Ability under Visible Light Irradiation. Acs Sustain. Chem. Eng. 2016, 4, 136–146. [Google Scholar] [CrossRef]
- Di, J.; Xia, J.X.; Ji, M.X.; Wang, B.; Yin, S.; Zhang, Q.; Chen, Z.G.; Li, H.M. Advanced photocatalytic performance of graphene-like BN modified BiOBr flower-like materials for the removal of pollutants and mechanism insight. Appl. Catal. B-Environ. 2016, 183, 254–262. [Google Scholar] [CrossRef]
- Li, R.; Gao, X.Y.; Fan, C.M.; Zhang, X.C.; Wang, Y.W.; Wang, Y.F. A facile approach for the tunable fabrication of BiOBr photocatalysts with high activity and stability. Appl. Surf. Sci. 2015, 355, 1075–1082. [Google Scholar] [CrossRef]
- Chang, F.; Lei, B.; Yang, C.; Wang, J.Y.; Hu, X.F. Ultra-stable Bi4O5Br2/Bi2S3 n-p heterojunctions induced simultaneous generation of radicals center dot OH and center dot O2− and NO conversion to nitrate/nitrite species with high selectivity under visible light. Chem. Eng. J. 2021, 413, 127443. [Google Scholar] [CrossRef]
- Chang, F.; Yang, C.; Wang, J.Y.; Lei, B.; Li, S.J.; Kim, H. Enhanced photocatalytic conversion of NOx with satisfactory selectivity of 3D-2D Bi4O5Br2-GO hierarchical structures via a facile. Sep. Purif. Technol. 2021, 266, 118237. [Google Scholar] [CrossRef]
- Wu, Z.H.; Shen, J.; Ma, N.; Li, Z.F.; Wu, M.; Xu, D.F.; Zhang, S.Y.; Feng, W.H.; Zhu, Y.F. Bi4O5Br2 nanosheets with vertical aligned facets for efficient visible-light-driven photodegradation of BPA. Appl. Catal. B-Environ. 2021, 286, 119937. [Google Scholar] [CrossRef]
- Li, R.; Liu, J.X.; Zhang, X.F.; Wang, Y.W.; Wang, Y.F.; Zhang, C.M.; Zhang, X.C.; Fan, C.M. Iodide-modified Bi4O5Br2 photocatalyst with tunable conduction band position for efficient visible-light decontamination of pollutants. Chem. Eng. J. 2018, 339, 42–50. [Google Scholar] [CrossRef]
- Bai, Y.; Yang, P.; Wang, L.; Yang, B.; Xie, H.; Zhou, Y.; Ye, L. Ultrathin Bi4O5Br2 nanosheets for selective photocatalytic CO2 conversion into CO. Chem. Eng. J. 2019, 360, 473–482. [Google Scholar] [CrossRef]
- Zhang, W.-B.; Xiao, X.; Wu, Q.-F.; Fan, Q.; Chen, S.; Yang, W.-X.; Zhang, F.-C. Facile synthesis of novel Mn-doped Bi4O5Br2 for enhanced photocatalytic NO removal activity. J. Alloys Compd. 2020, 826, 154204. [Google Scholar] [CrossRef]
- Zhu, G.; Hojamberdiev, M.; Zhang, W.; Taj Ud Din, S.; Joong Kim, Y.; Lee, J.; Yang, W. Enhanced photocatalytic activity of Fe-doped Bi4O5Br2 nanosheets decorated with Au nanoparticles for pollutants removal. Appl. Surf. Sci. 2020, 526, 146760. [Google Scholar] [CrossRef]
- Xiao, X.; Lu, M.; Nan, J.; Zuo, X.; Zhang, W.; Liu, S.; Wang, S. Rapid microwave synthesis of I-doped Bi4O5Br2 with significantly enhanced visible-light photocatalysis for degradation of multiple parabens. Appl. Catal. B Environ. 2017, 218, 398–408. [Google Scholar] [CrossRef]
- Wang, Y.; Xie, Y.; Yu, S.; Yang, K.; Shao, Y.; Zou, L.; Zhao, B.; Wang, Z.; Ling, Y.; Chen, Y. Ni doping in unit cell of BiOBr to increase dipole moment and induce spin polarization for promoting CO2 photoreduction via enhanced build-in electric field. Appl. Catal. B Environ. 2023, 327, 122420. [Google Scholar] [CrossRef]
- Keller, E.; Ketterer, J.; Kramer, V. Crystal structure and twinning of Bi4O5Br2. Z. Fur Krist. 2001, 216, 595–599. [Google Scholar] [CrossRef]
- Segall, M.D.; Lindan, P.J.D.; Probert, M.J.; Pickard, C.J.; Hasnip, P.J.; Clark, S.J.; Payne, M.C. First-principles simulation: Ideas, illustrations and the CASTEP code. J. Phys.-Condens. Matter 2002, 14, 2717–2744. [Google Scholar] [CrossRef]
- Perdew, J.P.; Burke, K.; Ernzerhof, M. Generalized Gradient Approximation Made Simple. Phys. Rev. Lett. 1996, 77, 3865–3868. [Google Scholar] [CrossRef]
- Monkhorst, H.J.; Pack, J.D. Special points for Brillouin-zone integrations. Phys. Rev. B 1976, 13, 5188–5192. [Google Scholar] [CrossRef]
- Vanderbilt, D. Soft self-consistent pseudopotentials in a generalized eigenvalue formalism. Phys. Rev. B 1990, 41, 7892–7895. [Google Scholar] [CrossRef]
- Fischer, T.H.; Almlöf, J. General methods for geometry and wave function optimization. J. Phys. Chem. 1992, 96, 9768–9774. [Google Scholar] [CrossRef]
- Wang, Z.L.; Gu, Y.A.; Zheng, L.X.; Hou, J.W.; Zheng, H.J.; Sun, S.J.; Wang, L.Z. Machine Learning Guided Dopant Selection for Metal Oxide-Based Photoelectrochemical Water Splitting: The Case Study of Fe2O3 and CuO. Adv. Mater. 2022, 34, 2106776. [Google Scholar] [CrossRef] [PubMed]
- Chen, Y.; Yang, W.; Gao, S.; Zhu, L.; Sun, C.; Li, Q. Internal Polarization Modulation in Bi2MoO6 for Photocatalytic Performance Enhancement under Visible-Light Illumination. ChemSusChem 2018, 11, 1521–1532. [Google Scholar] [CrossRef] [PubMed]
- Stampfl, C.; Van de Walle, C.G. Density-functional calculations for III-V nitrides using the local-density approximation and the generalized gradient approximation. Phys. Rev. B 1999, 59, 5521–5535. [Google Scholar] [CrossRef]
- Mao, D.; Ding, S.; Meng, L.; Dai, Y.; Sun, C.; Yang, S.; He, H. One-pot microemulsion-mediated synthesis of Bi-rich Bi4O5Br2 with controllable morphologies and excellent visible-light photocatalytic removal of pollutants. Appl. Catal. B Environ. 2017, 207, 153–165. [Google Scholar] [CrossRef]
- Zhang, C.; Jiang, N.; Xu, S.; Li, Z.; Liu, X.; Cheng, T.; Han, A.; Lv, H.; Sun, W.; Hou, Y. Towards high visible light photocatalytic activity in rare earth and N co-doped SrTiO3: A first principles evaluation and prediction. RSC Adv. 2017, 7, 16282–16289. [Google Scholar] [CrossRef]
- Pearson, R.G. Absolute electronegativity and hardness: Application to inorganic chemistry. Inorg. Chem. 1988, 27, 734–740. [Google Scholar] [CrossRef]





| a | b | c | α | β | γ | Volume | |
|---|---|---|---|---|---|---|---|
| Bi4O5Br2 | 5.79 | 11.14 | 15.00 | 82.43 | 89.99 | 90.01 | 960.41 |
| Ni-Bi4O5Br2 | 5.74 | 10.99 | 14.73 | 82.35 | 91.05 | 87.87 | 950.17 |
| Site | 1 | 2 | 3 | 4 | 5 | 6 | 7 | 8 |
|---|---|---|---|---|---|---|---|---|
| Formation energy/eV | 1.76 | 1.70 | 2.42 | 2.44 | 2.62 | 2.34 | 2.71 | 1.91 |
Disclaimer/Publisher’s Note: The statements, opinions and data contained in all publications are solely those of the individual author(s) and contributor(s) and not of MDPI and/or the editor(s). MDPI and/or the editor(s) disclaim responsibility for any injury to people or property resulting from any ideas, methods, instructions or products referred to in the content. |
© 2024 by the authors. Licensee MDPI, Basel, Switzerland. This article is an open access article distributed under the terms and conditions of the Creative Commons Attribution (CC BY) license (https://creativecommons.org/licenses/by/4.0/).
Share and Cite
Sheng, H.; Zhang, X.; Xin, S.; Shi, H.; Liu, G.; Wu, Q.; Xue, S.; Wang, X.; Shao, T.; Liu, Y.; et al. First-Principles Study of Electronic Structure and Optical Properties of Ni-Doped Bi4O5Br2. Coatings 2024, 14, 67. https://doi.org/10.3390/coatings14010067
Sheng H, Zhang X, Xin S, Shi H, Liu G, Wu Q, Xue S, Wang X, Shao T, Liu Y, et al. First-Principles Study of Electronic Structure and Optical Properties of Ni-Doped Bi4O5Br2. Coatings. 2024; 14(1):67. https://doi.org/10.3390/coatings14010067
Chicago/Turabian StyleSheng, Hong, Xin Zhang, Shiheng Xin, Hui Shi, Gaihui Liu, Qiao Wu, Suqin Xue, Xiaoyang Wang, Tingting Shao, Yang Liu, and et al. 2024. "First-Principles Study of Electronic Structure and Optical Properties of Ni-Doped Bi4O5Br2" Coatings 14, no. 1: 67. https://doi.org/10.3390/coatings14010067
APA StyleSheng, H., Zhang, X., Xin, S., Shi, H., Liu, G., Wu, Q., Xue, S., Wang, X., Shao, T., Liu, Y., Zhang, F., & Liu, X. (2024). First-Principles Study of Electronic Structure and Optical Properties of Ni-Doped Bi4O5Br2. Coatings, 14(1), 67. https://doi.org/10.3390/coatings14010067

