Experimental Study of Atmospherically and Infrared-Dried Industrial Topcoats
Abstract
1. Introduction
2. Materials and Methods
2.1. Materials and Drying Methods
2.2. Characterization of Differently Dried Topcoats
2.2.1. Dry Film Thickness, Adhesion, and Gloss
2.2.2. Mechanical Properties
2.2.3. Electrochemical Characterization
2.2.4. Thermogravimetric Analysis (TGA) and Differential Scanning Calorimetry (DSC)
2.2.5. Fourier-Transform Infrared Spectroscopy (FTIR)
3. Results and Discussion
3.1. Drying Time, Dry Film Thickness, Adhesion, and Gloss
3.2. Mechanical Properties
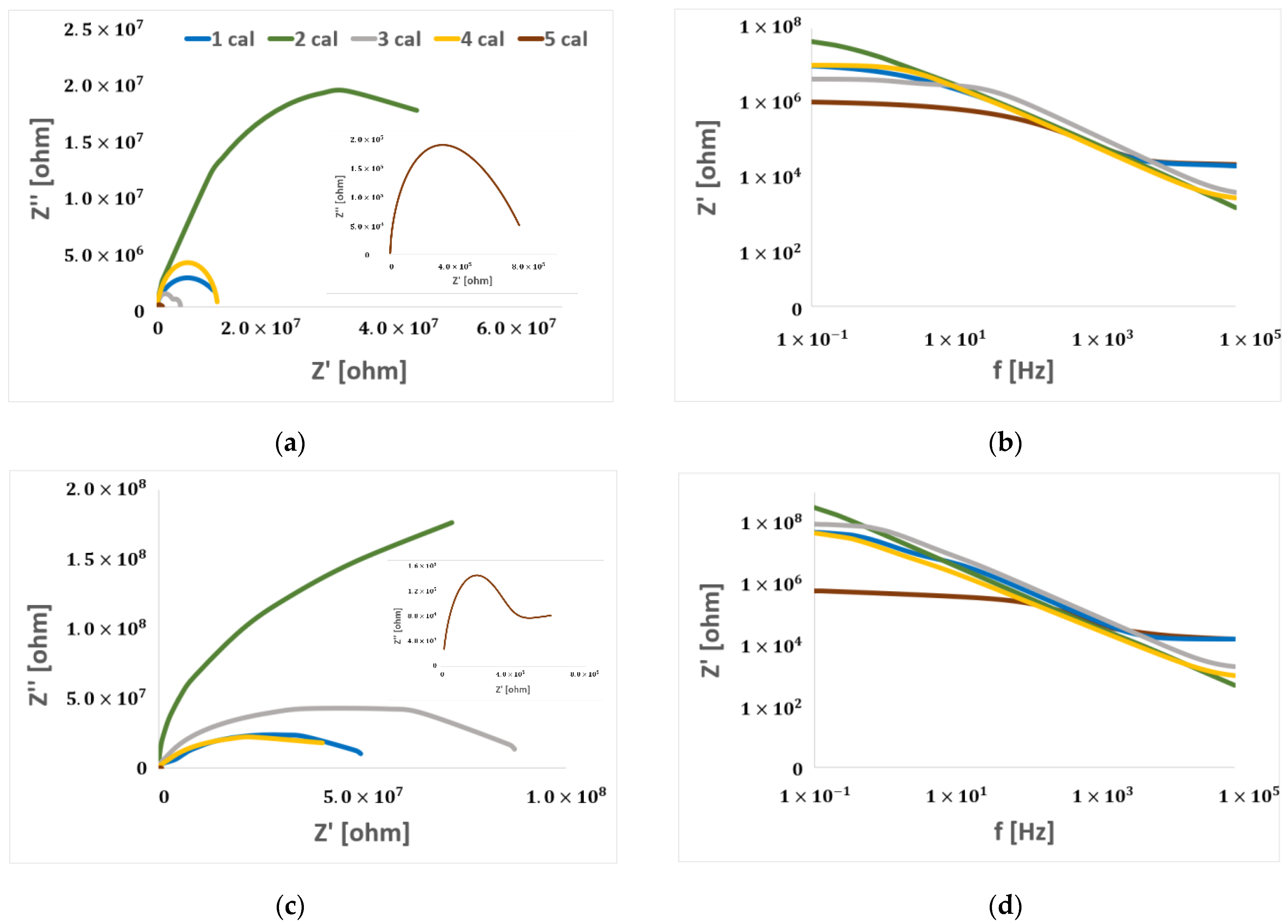
3.3. Electrochemical Characterization
3.4. Thermogravimetric Analysis (TGA) and Differential Scanning Calorimetry (DSC)
3.5. Fourier-Transform Infrared Spectroscopy (FTIR)
4. Conclusions
- Pull-off adhesion values are higher when applying IR radiation to cure the topcoat.
- Gloss values remain similar, regardless of the drying method. Furthermore, no changes in the shade of the topcoat are visible to the eye.
- Topcoat hardness is equal or higher in the case of IR-drying, while differently dried topcoats show a similar impact resistance.
- EIS initially showed a higher resistance of the IR-dried coatings. After 10 days in the electrolyte, topcoats from the Danish manufacturer show similar or better resistance in the case of IR drying, while IR-dried topcoats from the German manufacturer show a slightly lower resistance than the atmospherically dried ones.
- TGA showed a better thermal stability of IR-cured topcoats.
- DSC results showed that the glass transition temperature of the PUR-based topcoat increases when infrared radiation is applied, while the glass transition temperature of PSX decreases with the application of IR radiation, which indicates the sensitivity of PSX to IR radiation and the possible polymer scission effect.
- The results of FTIR indicate a higher curing degree of IR-dried topcoats.
- Although, in principle, infrared radiation improves the properties of the coating, it is necessary to pay attention to both the base polymer in the coating and the existence of special fillers or pigments that can affect the curing of the coating.
Author Contributions
Funding
Institutional Review Board Statement
Informed Consent Statement
Data Availability Statement
Conflicts of Interest
Appendix A





References
- Valdez, B.; Schorr, M.; Zlatev, R.; Carrillo, M.; Stoytcheva, M.; Alvarez, L.; Eliezer, A.; Rosas, N. Corrosion Control in Industry. In Environmental and Industrial Corrosion—Practical and Theoretical Aspects; Valdez, B., Schorr, M., Eds.; InTech: Rijeka, Croatia, 2012; Volume 1, pp. 19–51. [Google Scholar] [CrossRef]
- NACE International. Economic Impact. Available online: http://impact.nace.org/economic-impact.aspx (accessed on 19 April 2023).
- Hinton, B.R.W. Corrosion prevention and control. In Handbook on the Physics and Chemistry of Rare Earths; Gischneidner, K.A., Jr., Eyring, L., Eds.; North-Holland: Amsterdam, The Netherlands, 1995; Volume 21, pp. 29–35. [Google Scholar] [CrossRef]
- Maaß, P. Corrosion and Corrosion Protection. In Handbook of Hot-Dip Galvanization; Maaß, P., Peißker, P., Eds.; Wiley-VCH: Weinheim, Germany, 2011; Volume 1, pp. 1–19. [Google Scholar] [CrossRef]
- Alsamuraee, A.M.A.; Jaafer, I.H.; Ameen, A.H.; Abdullah, Q.A. Electrochemical impedance spectroscopic evaluation of corrosion protection properties of polyurethane/polyvinyl chloride blend coating on steel. Am. J. Sci. Res. 2011, 2, 761–768. [Google Scholar] [CrossRef]
- Zheng, S.X. Principles of Organic Coatings and Finishing, 1st ed.; Cambridge Scholars Publishing: Newcastle upon Tyne, UK, 2020; pp. 1–14. Available online: https://www.cambridgescholars.com/resources/pdfs/978-1-5275-4119-1-sample.pdf (accessed on 7 June 2023).
- Davidson, R.S.; Holman, R.J. Developments and trends in radiation curing. Rev. Prog. Color. 2003, 33, 46–58. [Google Scholar] [CrossRef]
- Nienhuis, J.G. Review on Drying and Curing Techniques of Coatings; SHR: Wageningen, The Netherlands, 2004; Available online: http://virtual.vtt.fi/virtual/proj6/coste18/nienhuisdryingpaper.pdf (accessed on 7 June 2023).
- Wali, A.S.; Kumar, S.; Khan, D. A review on recent development and application of radiation curing. Mater. Today Proc. 2023, 82, 68–74. [Google Scholar] [CrossRef]
- Florencia, M.; López, A.; Barbosa, S.E.; Martini, R.E. Use of infrared radiation as curing agent for bioactive paper fabrication in times compatible with industrial process. Chem. Eng. Process. Process Intensif. 2020, 157, 108165. [Google Scholar] [CrossRef]
- Pendar, M.-R.; Rodrigues, F.; Páscoa, J.C.; Lima, R. Review of coating and curing processes: Evaluation in automotive industry. Phys. Fluids. 2022, 34, 101301. [Google Scholar] [CrossRef]
- Pathania, A.; Arya, R.K.; Ahuja, S. Crosslinked polymeric coatings: Preparation, characterization, and diffusion studies. Prog. Org. Coat. 2017, 105, 149–162. [Google Scholar] [CrossRef]
- Saure, R.; Gnielinski, V. Moisture measurement by FT-IR-spectroscopy. Dry. Technol. 1994, 12, 1427–1444. [Google Scholar] [CrossRef]
- Saure, R.; Wagner, G.R.; Schlunder, E.U. Drying of solvent-borne polymeric coatings. II. Experimental results using FTIR spectroscopy. Surf. Coat. Technol. 1998, 99, 257–265. [Google Scholar] [CrossRef]
- Geipel, C.; Stephan, P. Experimental investigation of the drying process of automotive base paints. Appl. Therm. Eng. 2005, 25, 2578–2590. [Google Scholar] [CrossRef]
- Vessot, S.; Andrieu, J.; Laurent, P.; Galy, J.; Gerard, J.F. Air convective drying and curing of polyurethane-based paints on sheet molding compound surfaces. J. Coat. Technol. 1998, 70, 67–76. [Google Scholar] [CrossRef]
- Stojanović, I.; Cindrić, I.; Janković, L.; Šimunović, V.; Franjić, H. Performance Assessment of Differently Dried Coating Systems for Corrosion Prevention in Power Transformer Industry. Coatings 2021, 12, 331. [Google Scholar] [CrossRef]
- ISO 8501-1; Preparation of Steel Substrates before Application of Paints and Related Products—Visual Assessment of Surface Cleanliness—Part 1: Rust Grades and Preparation Grades of Uncoated Steel Substrates and of Steel Substrates after Overall Removal of Previous Coatings. International Organization for Standardization: Geneva, Switzerland, 2007.
- ISO 8503-1; Preparation of Steel Substrates before Application of Paints and Related Products—Surface Roughness Characteristics of Blast-Cleaned Steel Substrates—Part 1: Specifications and Definitions for ISO Surface Profile Comparators for the Assessment of Abrasive Blast-Cleaned Surfaces. International Organization for Standardization: Geneva, Switzerland, 2012.
- Jonkers, G.; Nienhuis, J.G.; van de Velde, B. Climate Independent Painting: Is Infrared Heating a Solution for Professional Painters? Macromol. Symp. 2002, 187, 249–260. [Google Scholar] [CrossRef]
- ISO 2808; Paints and Varnishes—Determination of Film Thickness. International Organization for Standardization: Geneva, Switzerland, 2019.
- ISO 4624; Paints and Varnishes—Pull-Off Test for Adhesion. International Organization for Standardization: Geneva, Switzerland, 2016.
- ISO 2813; Paints and Varnishes—Determination of Gloss Value at 20°, 60° and 85°. International Organization for Standardization: Geneva, Switzerland, 2014.
- ISO 15184; Paints and Varnishes—Determination of Film Hardness by Pencil Test. International Organization for Standardization: Geneva, Switzerland, 2020.
- ISO 6272; Paints and Varnishes—Rapid-Deformation (Impact Resistance) Tests—Part 1: Falling-Weight Test, Larne-Area Indenter. International Organization for Standardization: Geneva, Switzerland, 2002.
- Wright, J.M.; Colling, A. Seawater: Its Composition, Properties and Behaviour, 2nd ed.; Butterworth-Heinemann: Oxford, UK, 1995; p. 5. [Google Scholar] [CrossRef]
- Samardžija, M.; Alar, V.; Špada, V.; Stojanović, I. Corrosion Behaviour of an Epoxy Resin Reinforced with Aluminium Nanoparticles. Coatings 2022, 12, 1500. [Google Scholar] [CrossRef]
- Walo, M.; Przybytniak, G.; Kavakli, P.A.; Güven, O. Radiation-induced graft polymerization of N-vinylpyrrolidone onto segmented polyurethane based on isophorone diisocyanate. Radiat. Phys. Chem. 2013, 84, 85–90. [Google Scholar] [CrossRef]
- Li, S.; Liu, Z.; Hou, L.; Chen, Y.; Xu, T. Effect of polyether/polyester polyol ratio on properties of waterborne two component polyurethane coatings. Prog. Org. Coat. 2020, 141, 105545. [Google Scholar] [CrossRef]
- Šoić, I.; Martinez, S.; Dubravić, M. Gel-Electrolyte EIS setup used for probing of IR Dried/Cured industrial coatings. Prog. Org. Coat. 2019, 137, 105331. [Google Scholar] [CrossRef]
- Uday, M.; Kiran Kumar, P. Heat transfer studies for infrared radiation assisted curing in polymer composites. J. Phys. Conf. Ser. 2020, 1473, 12027. [Google Scholar] [CrossRef]
- Bai, H.; Zhong, L.; Kang, L.; Liu, J.; Zhuang, W.; Lv, Z.; Xu, Y. A review on wear-resistant coating with high hardness and high toughness on the surface of titanium alloy. J. Alloys Compd. 2021, 882, 160645. [Google Scholar] [CrossRef]
- DeArmitt, C. Functional Fillers for Plastics. In Applied Plastics Engineering Handbook, 2nd ed.; Kutz, M., Ed.; William Andrew Publishing: Norwich, NY, USA, 2017; Volume 3, pp. 517–532. [Google Scholar] [CrossRef]
- Rammelt, U.; Reinhard, G. Characterization of active pigments in damage of organic coatings on steel by means of electrochemical impedance spectroscopy. Prog. Org. Coat. 1994, 24, 309–322. [Google Scholar] [CrossRef]
- Kuźnia, M.; Magiera, A.; Zygmunt-Kowalska, B.; Kaczorek-Chrobak, K.; Pielichowska, K.; Szatkowski, P.; Benko, A.; Ziąbka, M.; Jerzak, W. Fly Ash as an Eco-Friendly Filler for Rigid Polyurethane Foams Modification. Materials 2021, 14, 6604. [Google Scholar] [CrossRef]
- Coser, E.; Froes Moritz, V.; Krezinger, A.; Ferreire, C.A. Development of paints with infrared radiation reflective properties. Polímeros 2015, 25, 305–310. [Google Scholar] [CrossRef]
- Acik, G.; Karabulut, H.R.F.; Altinkok, C.; Karatavuk, A.O. Synthesis and characterization of biodegradable polyurethanes made from cholic acid and L-lysine diisocyanate ethyl ester. Polym. Degrad. Stab. 2019, 165, 42–48. [Google Scholar] [CrossRef]
- Michel, M.; Ferrier, E. Effect of curing temperature conditions on glass transition temperature values of epoxy polymer used for wet lay-up applications. Constr. Build. Mater. 2020, 231, 117206. [Google Scholar] [CrossRef]
- Al-Qaraqawi, I.Y.; Abdulmalik, D.A.; Madi, N.K.; Almaadeed, M. Gamma irradiation effects on polymethyl methacrylate. Phys. Stat. Sol. 2007, 4, 3727–3730. [Google Scholar] [CrossRef]
- Mora-Murillo, L.D.; Orozco-Gutierrez, F.; Vega-Baudrit, J.; González-Paz, R.J. Thermal-Mechanical Characterization of Polyurethane Rigid Foams: Effect of Modifying Bio-Polyol Content in Isocyanate Prepolymers. J. Renow. Mater. 2017, 5, 220–230. [Google Scholar] [CrossRef]
- Rangel-Vazquez, N.-A.; Sánchez-López, C. Spectroscopy Analyses of Polyurethane/Polyaniline IPN Using Computational Simulation (Amber, MM+ and PM3 Method). Polímeros 2014, 24, 1–11. [Google Scholar] [CrossRef]
- Steinbach, J.C.; Schneider, M.; Hauler, O.; Lorenz, G.; Rebner, K.; Kandelbauer, A. A Process Analytical Concept for In-Line FTIR Monitoring of Polysiloxane Formation. Polymers 2022, 12, 2473. [Google Scholar] [CrossRef] [PubMed]








| Topcoat | 1 | 2 | 3 | 4 | 5 |
|---|---|---|---|---|---|
| Chemical composition | PUR | PSX | PUR | PUR | PUR |
| Dry-to-touch [h] | 8 | 5.5 | 8 | 7 | 6 |
| Gloss | Glossy | Glossy | Glossy | Glossy | Matte |
| Manufacturer’s origin | Danish | Danish | Danish | German | German |
| Topcoat | Type of Drying | Drying Time [min] | DFT [μm] | Pull-Off [MPa] |
|---|---|---|---|---|
| 1 | atm | 480 | 62.8 | 11.2 |
| IR | 10 | 65.9 | 19.4 | |
| 2 | atm | 330 | 62.4 | 16.1 |
| IR | 10 | 60.3 | 19.2 | |
| 3 | atm | 480 | 62.1 | 17.2 |
| IR | 10 | 65.7 | 24.8 | |
| 4 | atm | 420 | 58.1 | 11.4 |
| IR | 10 | 60.8 | 8.2 | |
| 5 | atm | 360 | 63.8 | 7.6 |
| IR | 10 | 63.7 | 10.4 |
| Topcoat | Type of Drying | Scratch Hardness | Impact Resistance [in] |
|---|---|---|---|
| 1 | atm | HB | 33 |
| IR | HB | 28 | |
| 2 | atm | HB | 7 |
| IR | F | 10 | |
| 3 | atm | HB | 40 * |
| IR | HB | 40 * | |
| 4 | atm | B | 19 |
| IR | F | 21 | |
| 5 | atm | HB | 40 * |
| IR | HB | 36 |
| Topcoat | Ecorr vs. SCE [mV] | ||
|---|---|---|---|
| 1 h | 168 h | 240 h | |
| 1 IR | −464.9 | −195.4 | −202.7 |
| 1 atm | −513.4 | −333.7 | −288.3 |
| 2 IR | −46.0 | −217.8 | −216.3 |
| 2 atm | −540.1 | −102.1 | −258.6 |
| 3 IR | −138.9 | −214.1 | −151.8 |
| 3 atm | −562.2 | −201.2 | −241.4 |
| 4 IR | 49.4 | −182.5 | −140.8 |
| 4 atm | 200.9 | −433.1 | −360.7 |
| 5 IR | −432.1 | −179.1 | −169.6 |
| 5 atm | −559.7 | −135.9 | −127.0 |
| Topcoat | T5% [°C] | Tf [°C] | Tg [°C] |
|---|---|---|---|
| 1 atm | 252.9 | 437.6 | 39.4 |
| 1 IR | 254.7 | 438.1 | 45.0 |
| 2 atm | 257.6 | 536.0 | 85.7 |
| 2 IR | 259.3 | 536.0 | 81.2 |
| 3 atm | 226.4 | 391.3 | 39.8 |
| 3 IR | 236.1 | 388.0 | 43.2 |
| 4 atm | 263.8 | 474.3 | 37.6 |
| 4 IR | 267.9 | 460.0 | 41.3 |
| 5 atm | 268.1 | 413.3 | 45.5 |
| 5 IR | 261.8 | 402.0 | 56.1 |
| Wavenumber [cm−1] | Assignment | |||||||
|---|---|---|---|---|---|---|---|---|
| Topcoat 1 | Topcoat 3 | Topcoat 4 | Topcoat 5 | |||||
| atm | IR | atm | IR | atm | IR | atm | IR | |
| 3736.48 | 3738.29 | 3736.24 | 3677.26 | 3677.40 | O-H stretching | |||
| 3457.58 | 3382.27 | 3457.24 | 3372.84 | 3371.98 | 3367.21 | 3365.08 | 3380.38 | N-H stretching |
| 2955.58 | 2929.27 | 2941.43 | 2930.34 | 2928.97 | 2928.88 | 2929.56 | 2929.53 | C-H asymmetric stretching |
| 2864.64 | 2862.15 | 2869.03 | 2866.86 | 2860.18 | 2860.24 | 2859.81 | 2859.13 | C-H symmetric stretching |
| 1737.06 | 1722.90 | 1734.32 | 1721.69 | 1724.49 | 1723.25 | 1725.34 | 1724.99 | C=O stretching vibrations interacting with H bond urethane |
| 1443.11 | 1449.88 | 1448.57 | 1452.53 | 1461.47 | 1460.05 | 1452.89 | 1453.02 | CH2 scissoring and CH3 deformation |
| 1115.85 | Free C-O-C stretching | |||||||
| 1082.86 | 1081.24 | 1071.56 | 1067.21 | 1073.40 | 1072.60 | 1073.10 | 1073.76 | H bound C-O-C stretching |
| Wavenumber [cm−1] | Assignment | |
|---|---|---|
| Topcoat 2 | ||
| atm | IR | |
| 1258.34 | 1259.31 | CH3 symmetric bending |
| 1064.24 | Si-O-Si asymmetric stretching (high crosslinking degree) | |
| 1018.59 | 1021.55 | Si-O-Si asymmetric stretching (surface groups, low crosslinking degree) |
| 844.76 | 845.46 | Si-CH3 vibration |
| 798.99 | 799.40 | Si-C vibration |
Disclaimer/Publisher’s Note: The statements, opinions and data contained in all publications are solely those of the individual author(s) and contributor(s) and not of MDPI and/or the editor(s). MDPI and/or the editor(s) disclaim responsibility for any injury to people or property resulting from any ideas, methods, instructions or products referred to in the content. |
© 2023 by the authors. Licensee MDPI, Basel, Switzerland. This article is an open access article distributed under the terms and conditions of the Creative Commons Attribution (CC BY) license (https://creativecommons.org/licenses/by/4.0/).
Share and Cite
Stojanović, I.; Logar, M.; Fatović, I.; Alar, V.; Rakela-Ristevski, D. Experimental Study of Atmospherically and Infrared-Dried Industrial Topcoats. Coatings 2023, 13, 1343. https://doi.org/10.3390/coatings13081343
Stojanović I, Logar M, Fatović I, Alar V, Rakela-Ristevski D. Experimental Study of Atmospherically and Infrared-Dried Industrial Topcoats. Coatings. 2023; 13(8):1343. https://doi.org/10.3390/coatings13081343
Chicago/Turabian StyleStojanović, Ivan, Mirta Logar, Ivan Fatović, Vesna Alar, and Daniela Rakela-Ristevski. 2023. "Experimental Study of Atmospherically and Infrared-Dried Industrial Topcoats" Coatings 13, no. 8: 1343. https://doi.org/10.3390/coatings13081343
APA StyleStojanović, I., Logar, M., Fatović, I., Alar, V., & Rakela-Ristevski, D. (2023). Experimental Study of Atmospherically and Infrared-Dried Industrial Topcoats. Coatings, 13(8), 1343. https://doi.org/10.3390/coatings13081343

