Study on the Duration of Laser-Induced Thin Film Plasma Flash
Abstract
1. Introduction
2. Theoretical Calculation Model of the Duration of Film Plasma Flash
3. Experimental Study on the Duration of Film Plasma Flash
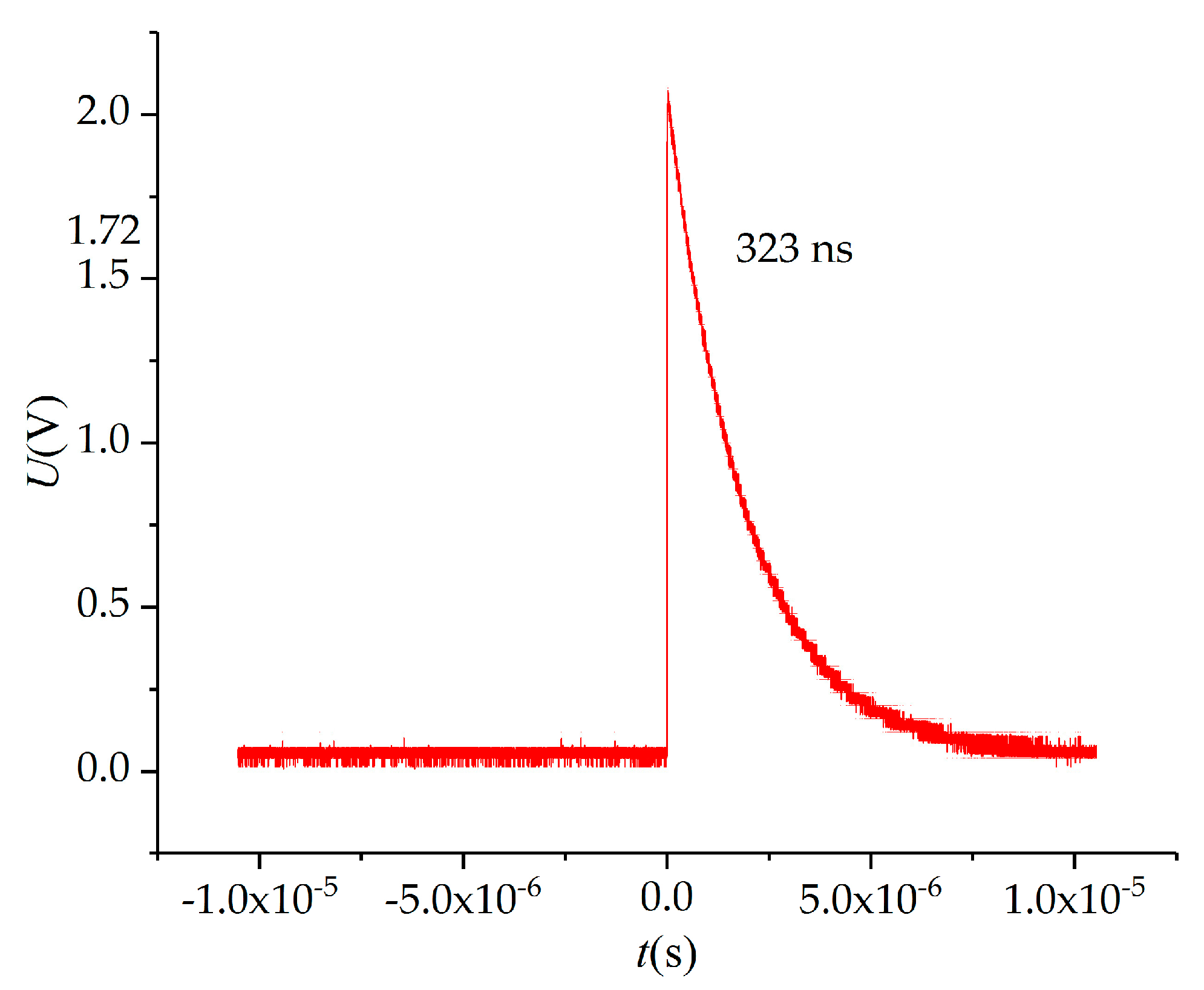
3.1. Experimental Principle
3.2. Results and Analysis
4. Study on Influencing Factors of the Duration of Film Plasma Flash
4.1. Incident Laser Energy
4.2. Focusing Spot Diameter
4.3. Incident Laser Pulse Width
5. Conclusions
- The theoretical calculation model of is established. When nm, cm, s, take of and film are 0.1 cm and 0.18 cm, respectively [22], and take the two films K, /cm3, mJ, the of and film is 542.7 ns and 299.6 ns, respectively.
- The experimental value of is obtained, and the experimental parameters are put into the theoretical model to obtain the corresponding theoretical value of . Through the analysis of both the experimental value and the theoretical value of , it can be concluded that: ① With the increase in incident laser energy, increases; ② the of film is longer than that of film. ③ The theoretical results are in good agreement with the experimental values.
- Through calculation and analysis, it is obtained that increases with the increase in and , and decreases with the increase in . The process of laser induced breakdown thin film to produce plasma flash is very complicated. In this paper, only the influences of , and on were analyzed, respectively. In fact, is also related to the film material, film plasma parameters, environmental gas type and pressure, temperature, humidity, and pre-ionization, which will be a direction of our subsequent research.
- Because the film plasma flash duration is different from the air plasma flash duration , obtaining the experimental value and the theoretical value of is the first step to distinguishing the two flashes. Then, as long as the air plasma flash duration is obtained, the two flashes can be distinguished, thus eliminating the misjudgment caused by the plasma flash method when judging the laser film damage. The research results can improve the accuracy of damage discrimination, ensure the accurate measurement of the damage threshold of thin film laser, and have important scientific significance and practical application value for developing and enriching new damage identification methods [24,25].
Author Contributions
Funding
Institutional Review Board Statement
Informed Consent Statement
Data Availability Statement
Conflicts of Interest
References
- Lai, Q.; Feng, G.; Yan, J.; Han, J.; Zhang, L.; Ding, K. Damage threshold of substrates for nanoparticles removal using a laser-induced plasma shockwave. Appl. Surf. Sci. 2021, 539, 148282. [Google Scholar] [CrossRef]
- Zhu, C.Q.; Victor, D.; Nikolay, Y. Laser Induced Damage Threshold of Non-linear GaSe and GaSe: In Crystals upon Exposure to Pulsed Radiation at a Wavelength of 2.1 μm. Appl. Sci. 2021, 11, 1208. [Google Scholar] [CrossRef]
- Xie, L.; Zhang, J.; Zhang, Z.; Ma, B.; Li, T.; Wang, Z.; Cheng, X. Rectangular multilayer dielectric gratings with broadband high diffraction efficiency and enhanced laser damage resistance. Opt. Express 2021, 29, 2669–2678. [Google Scholar] [CrossRef] [PubMed]
- Lian, X.; Yao, W.D.; Liu, W.L. KNa2ZrF7: A Mixed-Metal Fluoride Exhibits Phase Matchable Second-Harmonic-Generation Effect and High Laser Induced Damage Threshold. Inorg. Chem. 2021, 60, 19–23. [Google Scholar] [CrossRef] [PubMed]
- Shan, C.; Zhao, Y.A.; Zhang, X.H.; Hu, G.H.; Wang, Y.L.; Peng, X.C.; Li, C. Study on Laser Damage Threshold of Optical Element Surface Based on Caussian Plused Laser Spatial Resolution. Chin. J. Lasers 2018, 45, 0104002. [Google Scholar] [CrossRef]
- Ling, X.L.; Liu, S.H.H.; Liu, X.F. Enhancement of laser-induced damage threshold of optical coatings by ion-beam etching in vacuum environment. Optik 2020, 200, 163429. [Google Scholar] [CrossRef]
- Kumar, S.; Shankar, A.; Kishore, N.; Mukherjee, C.; Kamparath, R.; Thakur, S. Laser-induced damage threshold study on TiO2/SiO2 multilayer reflective coatings. Indian J. Phys. 2020, 94, 105–115. [Google Scholar] [CrossRef]
- Xu, C.; Yi, P.; Fan, H.; Qi, J.; Yang, S.; Qiang, Y.; Liu, J.; Li, D. Preparation of high laser-induced damage threshold Ta2O5 films. Appl. Surf. Sci. 2014, 309, 194–199. [Google Scholar] [CrossRef]
- Chen, L.; Lu, J.Y.; Wu, J.Y.; Feng, C.G. Laser Supported Detonation Wave; National Defence Industry Press: Beijing, China, 2011; p. 27. [Google Scholar]
- Xia, Z.L.; Xue, Y.Y.; Guo, P.T.; Li, Z.; Fu, Z. The plasma burst process in laser-induced films damage. Opt. Commun. 2009, 282, 3583–3590. [Google Scholar] [CrossRef]
- Song, Y.Z.; Liang, L. Time Distribution of the Continuum Radiation in the Plasma Induced by Laser Ablating Al. Acta Opt. Sin. 2001, 21, 404–409. [Google Scholar]
- Cong, R.; Zhang, B.H.; Fan, J.M.; Zheng, X.F.; Liu, W.Q.; Cui, Z.F. Experimental Investigation on Time and Spatial Evolution Emission Spectra of Al Atom in Laser-induced Plasmas. Acta Opt. Sin. 2009, 29, 2594–2600. [Google Scholar] [CrossRef]
- Nagy, T.O.; Pacher, U.; Hannes, P.; Wolfgang, K. Atomic emission stratigraphy by laser-induced plasma spectroscopy: Quantitative depth profiling of metal thin film systems. Appl. Surf. Sci. 2014, 302, 189–193. [Google Scholar] [CrossRef]
- Lancry, M.; Poumellec, B.; Guizard, S. Comparison between Plasma Properties and Damage Thresholds in Doped Silica Exposed To IR Temtosecond Laser. J. Laser Micro/Nanoeng. 2012, 7, 217–225. [Google Scholar] [CrossRef]
- Kim, C.K.; Lee, S.H.; In, J.H.; Lee, H.J.; Eong, S. Depth profiling analysis of CuIn1−x GaxSe2 absorber layer by laser induced breakdown spectroscopy in atmospheric conditions. Opt. Express 2013, 21, 1018–1027. [Google Scholar] [CrossRef] [PubMed]
- Emanuel, A.; Joerg, H.; Gabriel, S.; Laurent, M. Accurate analysis of indium–zinc oxide thin films via laser-induced breakdown spectroscopy based on plasma modeling. J. Anal. At. Spectrom. 2014, 29, 553–564. [Google Scholar]
- Guo, L.-B.; Zhang, D.; Sun, L.-X.; Yao, S.-C.; Zhang, L.; Wang, Z.-Z.; Wang, Q.-Q.; Ding, H.-B.; Lu, Y.; Hou, Z.-Y.; et al. Development in the application of laser-induced breakdown spectroscopy in recent years: A review. Front. Phys. 2021, 16, 22500. [Google Scholar] [CrossRef]
- Hai, R.; Tong, W.; Wu, D.; He, Z.; Sattar, H.; Li, C.; Ding, H. Quantitative analysis of titanium alloys using one-point calibration laser-induced breakdown spectroscopy. Appl. Phys. B Laser Opt. 2021, 127, 37. [Google Scholar] [CrossRef]
- Lev, N.; Michael, G. Lasing effects in a laser-induced plasma plum. Opt. Express 2015, 354, 330–332. [Google Scholar]
- Behera, N.; Singh, R.; Kumar, A. Confinement and re-expansion of laser induced plasma in transverse magnetic field: Dynamical behaviour and geometrical aspect of expanding plume. Phys. Lett. A 2015, 379, 2215–2220. [Google Scholar] [CrossRef]
- Lan, H.; Wang, X.B.; Chen, H.; Zuo, D.L.; Lu, P.X. Influence of a magnetic field on laser-produced Sn plasma. Plasma Sources Sci. Technol. 2015, 24, 055012. [Google Scholar] [CrossRef]
- Lu, J.; Ni, X.W.; He, A.Z. Physics of Interaction between Laser and Materials; China Machine Press: Beijing, China, 1996; p. 10. [Google Scholar]
- Wang, G.X.; Su, J.H. Study on the mechanism of surface pressure of optical films formed by laser plasma shock wave. Phys. Scr. 2023, 98, 025607. [Google Scholar] [CrossRef]
- John, A. Thornton. Plasma-assisted Deposition Processes: Theory, Mechanisms and Applications. Thin Solid Film. 1983, 107, 3. [Google Scholar]
- Ujjwal; Kumar, R. Optical Frequency Comb Generator Employing Two Cascaded Frequency Modulators and Mach–Zehnder Modulator. Electronics 2023, 12, 2762. [Google Scholar] [CrossRef]












| Experimental Number | Sample | (mJ) |
Experimental (ns) |
Theoretical (ns) |
|---|---|---|---|---|
| 1 | film | 149.88 | 640.8 | 640 |
| 2 | film | 122.15 | 590.4 | 588.8 |
| 3 | film | 114.66 | 574.6 | 573.8 |
| 4 | film | 147.59 | 371.1 | 351.1 |
| 5 | film | 120.87 | 323 | 323.7 |
| 6 | film | 112.52 | 314.6 | 314.4 |
Disclaimer/Publisher’s Note: The statements, opinions and data contained in all publications are solely those of the individual author(s) and contributor(s) and not of MDPI and/or the editor(s). MDPI and/or the editor(s) disclaim responsibility for any injury to people or property resulting from any ideas, methods, instructions or products referred to in the content. |
© 2023 by the authors. Licensee MDPI, Basel, Switzerland. This article is an open access article distributed under the terms and conditions of the Creative Commons Attribution (CC BY) license (https://creativecommons.org/licenses/by/4.0/).
Share and Cite
Wang, G.; Su, J.; Wang, Q. Study on the Duration of Laser-Induced Thin Film Plasma Flash. Coatings 2023, 13, 1323. https://doi.org/10.3390/coatings13081323
Wang G, Su J, Wang Q. Study on the Duration of Laser-Induced Thin Film Plasma Flash. Coatings. 2023; 13(8):1323. https://doi.org/10.3390/coatings13081323
Chicago/Turabian StyleWang, Guixia, Junhong Su, and Qingsong Wang. 2023. "Study on the Duration of Laser-Induced Thin Film Plasma Flash" Coatings 13, no. 8: 1323. https://doi.org/10.3390/coatings13081323
APA StyleWang, G., Su, J., & Wang, Q. (2023). Study on the Duration of Laser-Induced Thin Film Plasma Flash. Coatings, 13(8), 1323. https://doi.org/10.3390/coatings13081323
