Abstract
The film casting method is implemented to synthesize a series of films consisting of polyvinyl alcohol (PVA) films and 4 wt%, 8 wt%, and 12 wt% lead sulfide (PbS) nanoparticles (NPs). X-ray diffraction (XRD), Fourier-transform infrared spectroscopy (FTIR), and Ultraviolet-visible (UV-vis) spectroscopy were used to ensure the impact of PbS loading on PVA properties, particularly optical ones. The FTIR results show a decrease in the intensity for all the bands and the XRD results show different features for the composites from that of the pure PVA. The optical properties, including optical transmission, surface reflection, and absorption, were investigated. Additionally, the significant optical parameters, for instance, the dielectric nature and refractive index of the films, were analyzed. The findings have shown that PbS NPs in the PVA films decrease UV and visible transmission through polymer composites and increase their ability to reflect the incident light. Tauc’s equation is applied to determine the optical bandgap energy (Eg) and verify whether it is direct or indirect. Using the relation between photon energy and optical dielectric loss, the Eg was measured and the type of electron transition was measured, which eases the exponent value (𝜸) specification from Tauc’s method. The Eg decreases from 6.3 eV to 5.25 eV when PbS NPs are added. The refractive index is improved from 1.27 to 2.16 for the polymer nanocomposite (NCPs) film with optimum PbS NPs. Then, the Wemple–DiDomenico model corresponding to a single oscillator is applied to the dispersive medium to determine the refractive index dispersion. Both the dispersive energy () and single-oscillator energy () are evaluated accurately. Moreover, the variation of both real and imaginary parts of the dielectric constant of polymer films were studied. Finally the optical parameters such as charge density, dielectric constant at high frequencies, optical mobility (µ), angular frequency (), optical resistivity (ρ), and relaxation time (τ) of electrons are shown quantitatively. The of the electron is increased from 1.06 × 1029 to 81.5 × 1029 Hz when the PbS NPs is added. The µ of the electrons is also increased from 4.85 to 6.22 cm2/(V·s) by adding the PbS NP.
1. Introduction
The synthesis of inorganic nanoparticles (NPs), as one of the hottest topics in the literature, has drawn many researchers over the last decade. This is owing to numerous unique characteristics; for example, thermal conductivity and optical and magnetic properties. In addition, several other characteristic properties, such as high surface, quantum tunneling effect, quantum size impact, interface effects, and catalysis, are considered [1]. On the other hand, an organic material involved in the study of nanoscience occupies an indispensable position since it offers cost-effective processing and trouble-free incorporation into inorganic materials. For example, an attempt to improve the qualities of plastics is carried out by combining several influential properties such as high optical cross-sections, efficient nonlinear responses, and their broadband tunability in organics, which in turn makes the final products eligible for applications [2]. A tremendous focus has been devoted to improving the electrical and optical properties of polymers. The mechanics of charge transport in polymer materials must be thoroughly understood in order to achieve this purpose. Consequently, in order to enhance reflection, antireflection, interference, and polarization, researchers have extensively studied electrical conduction and optical characteristics [3].
To date, fast advancement in material science has been witnessed; in particular, nanomaterials thin film preparation occupies the literature [4].The PbS is often synthesized at the nanoscale and is in use as one of the materials with a narrow Eg of 0.41 eV. It is desirable as an IV-VI group of semiconductors widely used in many sectors, such as thermoelectric technologies, solar cells, infrared, and photovoltaic devices. Mamiyev and Balayeva [5] described the PbS NPs properties’ technological importance as the foundation of modern semiconductor optoelectronics. The authors documented that the PbS has shown an outstanding versatility and great promise for applications in both conventional optical devices and the new generation of nano-optoelectronics and nano-electronics owing to their specific structure and size-related properties.
Melnikov et al. [6] described how one of the solutions to improve the properties of polymers is by adding NPs to fabricate polymer-based Nanocomposites (NCPs). These properties include adjustable electrical and thermal conductivity, the capability of making a developed inner surface, increased durability and mechanical strength, and many others. The authors reported that the materials formed can have several applications, for example packaging, renewable energy sources, smart materials, biomimetic materials and technologies, etc. John, B. [7] reported that polymer NCPs have a key role in modern day life and have been broadly studied for wide properties which make them appealing to various applications, for instance electrochemical sensors and biosensors.
Polymers currently offer brilliant host materials which involve inorganic particle incorporation. The most popular and usable polymer is PVA, which is the most attractive because it has hydroxyl functional groups, is cheap, and is widely available [8,9]. After selecting a proper nano-filler (NOF), controlling its concentration [10], and managing how the particles are dispersed and the manner of interacting with the polymer host, the optical properties could be improved considerably [11,12]. This is considered a dramatic modification to the pure polymer properties. All the desired properties of polymer material, such as thermal stability [13], strong charge storage, high flexibility, low electrical conductivity, and high dielectric strength, exist in PVA [14]. It is a synthetic polymer possessing the desired physical, chemical, and film-forming capabilities. Furthermore, it is benign and water-soluble. The eligibility of PVA polymers for open exploitation has captivated the attention of many researchers. PVA has a carbon chain backbone structure with hydroxyl (OH) groups attached to methane carbons [15,16]. These OH groups provide hydrogen bonding, which facilitates the development of polymer composites [1]. From a practical standpoint, nano-filled polymers as hybrid materials gather all the desired properties of the polymer and the filler to produce substrates for microwaves [17], an electrolyte for fuel cells [18], an adsorptive photocatalyst [19], a supercapacitor [20], and humidity sensors [21].
The current study examines the impact of various PbS NPs on the structural and optical characteristics of PVA films. From the UV-vis analysis, one can acquire optical energy gap diagrams and optical parameters that are relatively influenced through processing conditions.
2. Experimental Method
2.1. Sample Preparation
The PVA with MW 89,000%–98,000+% hydrolyzed in pure form and PbS NPs were the primary raw materials provided by Sigma-Aldrich. The solution cast method was carried out to synthesize the PVA-based polymer NCPs films. In the synthesis of NCPs, the first step started with the dissolving of 1g of PVA powder in 100 mL of distilled water and stirring with a magnetic stirrer for around 3 h at 70 °C. Afterwards, the solution was allowed to cool down for 24 h. Subsequently, different portions of PbS NPs (4, 8, and 12 wt%) were added to a series of previously prepared solutions and stirred for 15 min. Beyond 2 min, a homogenous solution was obtained with the Cole-Parmer CPX-750 ultrasonic processor. The products were converted to a state that was free from solvent by remaining gently in the containers for two weeks and casting several plastic Petri dishes at room temperature. The components in each labeled sample are presented quantitatively in Table 1.
Table 1.
Chemical elements of PVA/PbS.
2.2. Physical Measurements
At room temperature, an X-ray diffractometer (model Empyrean-Panalytical) was used to measure the polymer film’s X-ray diffraction (XRD). The voltage and current were set at 40 kV and 45 mA, respectively. The scanning was conducted using a monochromatic X-ray beam with 1.5406 A° through the entire surface of the samples, while the glancing angle was adjusted accurately at 10° ≤ 2θ ≤ 70°. A spectrophotometer (Perkin Elmer, Melville, NY, USA) was used to acquire the FTIR spectra. Within 500–4000 cm−1, the FTIR spectra for all films were recorded at a resolution of 2 cm−1. A Jasco V-570 UV-Vis-NIR spectrophotometer (Jasco SLM-468, Tokyo, Japan) in absorbance mode was used to measure the ultraviolet-visible (UV-vis) absorption spectra of the composite films. Regarding FTIR and the UV-Vis tests for the samples, firstly the FTIR and UV-Vis spectroscopy devices without any samples were corrected for background and then the FTIR and UV-Vis spectra were measured for the samples.
3. Results and Discussion
3.1. Structural Properties of Polymer Composites
3.1.1. XRD Pattern Analysis
The structural study of the polymer treated with PbS NPs was analyzed using XRD. The PVA and the PbS-loaded PVA were studied using XRD to identify the structures’ changes, as shown in Figure 1. It was noticed that the intensity of the XRD peak of PVA at 2θ = 19.6° decreased with increasing PbS. The XRD peaks of PbS NPs at 26.15°, 30.35°, 43.35°, and 51.1° appeared in the NCPs films [22]. The strong intramolecular hydrogen bonds and intermolecular interactions between PVA polymer chains decreased crystallinity. As seen in Figure 1, the intensity of the XRD peak for pure PVA (PC-0) at 2θ = 19.6° was decreased and broadened when PbS NPs was added, meaning that the crystallinity decreased in the NCPs samples. This would be due to the electronic interactions between the functional groups of PVA and PbS NPs that cause the disruption of the hydrogen bonds which bind the PVA polymer chains together [13,23,24]. The extra XRD peaks emerged in the NCPs samples due to adding the PbS NPs. The interesting thing to notice in the XRD of the NCPs samples is the appearance of an extra diffraction peak. The XRD pattern of PbS NPs is shown in refs. [24,25]. The XRD peaks at 2θ values of 26°, 30°, 43°, 51°, 53°, 63°, and 69° correspond to the (1 1 1), (2 0 0), (2 2 0), (3 1 1), (2 2 2), (4 0 0), and (3 3 1) planes, respectively [25]. The Debye–Scherrer equation can be determined using the crystal size [26]:
where is the FWHM, λ is the incident beam wavelength, K is the proportionality constant, which is 0.9 [26], and D is the particle size. Noticeably, a broad FWHM () andsmaller crystallite sizes are recognized by the broader peaks [27]. The diffraction peak () was used to measure the crystals’ average size, which is about 26.59 nm.
Figure 1.
The pattern of XRD for pure PVA and PVA/PbSNCPs.
3.1.2. FTIR Analysis
FTIR spectroscopy can record the functional groups used as a fingerprint for recognizing the chemical structure and the extent of molecular interaction of the PbS-NPs and pure PVA. To confirm the effect of the dopant on the PVA structure, the FTIR of PVA, PbS NPs, and PVA/PbS NCPs were measured as shown in Figure 2. The stretching and bending vibrations of the C-H, C-C, C-O, and O-H bonds are the primary features of PVA. In particular, the O-H stretching vibration formed a broad and robust band centering at 3280 cm−1 [28,29]. The detected peak of the bond between the PVA and -OH group shifted to a lower wavenumber, indicating an electrostatic interaction between the -OH groups and PbS NPs [30,31,32]. The PVA/PbS NCPs of the FTIR spectra show weak bands, indicating a complexation among PbS NPs and PVA molecular chains [28].
Figure 2.
FTIR spectra associated with PVA/PbSNCPs and PVA.
3.2. Optical Properties
3.2.1. UV-Visible Absorption and Transmittance
Once the polymer is doped with PbS NPs, drastic modification in the optical response will occur. Accordingly, optical band gap energy () using UV-vis spectroscopy can be measured. Then, based on the molecular orbital theory, one can know how electrons in the π, n, and σ-orbits are promoted from the lower ground level to the higher levels once they absorb the light by incident beam spectral range from ultraviolet to the visible region [33].
The optical spectra corresponding to PVA and PVA-loaded samples are shown in Figure 3. The samples have a small absorption in the spectral range from 350 to 800 nm. The only absorption peak at the short UV region is attributed to the absorption of the photon energy that is adequate to interact with atoms of the polymer material, resulting in transferring some electrons from the valance to the conduction band. The incident light transmits completely through the pure PVA. The transmittance decreases as the additive filler amount are increased [34]. For example, the PVA containing 12 wt% of PbS NPs shows about 74% transparency. This shows that, even though a significant amount of the filler was added to the polymer, the NCPs still have good transparency in the visible region with a strong UV absorption.
Figure 3.
Transmittance spectra associated with PVA and PVA/PbS.
In the absorption process, when a sample is illuminated, the amount of light that is transmitted into the system is determined using Equation (2). The absorbance, A, or quantity of light absorbed can mathematically be shown as follows:
where Io and I stand for the initial beam intensity and the intensity of light passing through the sample, respectively [35,36].The optical absorption spectra corresponding to PVA and PVAs loaded with various PbS NPs over the broadband range from 190 to 900 nm can be manipulated, as shown in Figure 4. The absorption peaks in the spectra inversely and proportionally change with increasing wavelength and increasing PbS NPs content. The apparent peak that is characteristic appears in the UV region. Remarkably, the doped PVA possesses a tunable UV absorption region. As stated previously, according to the molecular orbital theory, when UV light is absorbed, electrons in the π, σ, and n-orbitals are strongly jumped from the lowest energy state to the higher excited states; therefore, the π → π*, n → π*, and σ → σ* transitions will occur. With those transitions, most optical transitions in the visible region are produced by contaminants. Figure 4 displays the 240 nm peak caused by n–π* transitions [37]. The transparency of the samples at relatively higher wavelengths is observed. The spectrum of PVA contains an absorption edge near 210 nm, and the absorption edge of the spectra of all the doped samples slightly shifts towards the longer wavelength. The π → π* transition is an electronic transition which belongs to the conjugated (C=O) group. Moreover, it can be connected to the absorption band in all the systems in the spectral range from 200 to 300 nm. Furthermore, both the non-doped and doped samples had a small absorption band around 330 nm, which is a vibrational feature of PVA. As an interesting phenomenon, the vibronic shoulder appears as the PbS NP concentration increases. This establishes a relationship between the vibronic absorption band and the growth of the crystalline components in the systems. The similar shapes in the absorbance spectra of the PVA:PbS confirm reaching a desired homogeneity throughout the film preparations [13,38].
Figure 4.
Absorption spectra over UV and the short visible region corresponding to PVA and PVA-loaded samples.
3.2.2. Coefficient of Absorption and Absorption Edge Study
The optical absorption coefficient can determine the material’s ability to absorb light. The analysis of optical properties is a method to determine vibrational energy bands and electron transitions between different energy states [39].Additionally, a comprehensive understanding of the absorption mechanisms can predict materials’ optically induced crystallinity and non-crystallinity. The extensive examination of the optical property shows developments in the energy band structure modifications. From the analysis of optical absorption spectra taken for the systems, the energy gap (Eg) is measured. By considering the transmittance and reflectance in the calculation, the following relationship can be used to determine the absorption coefficient () [40]:
where T, t, R, and α are the transmittance, thickness, reflectance, and absorption coefficient, respectively.
The value of T is derived from Beer’s law (). Two main phenomena occur through transmissions: light transmitted by the guiding medium and absorption. The response of a material to the incident light is proportional to the total absorbance of radiation intensity IA, reflected radiation intensity IR, and transmitted beam IT as the radiation passes through the medium, as seen in Equation (4):
The radiation intensity is measured in W m−2, which describes the total energy transmission per unit of time per area. Equation (4) can also be shown as:
where R shows reflectivity (), A stands for the absorptivity (), and T is the transmittivity (). The other symbols are T, A, and R, representing transmittance, absorbance, and reflectance, respectively. The study of optical absorption shows that the absorption edge as a key factor is used to show the electronic structure of the materials. The occurrence of the indirect and direct transitions inside the bandgap (BG) is clarified from the optical absorption spectra [40].
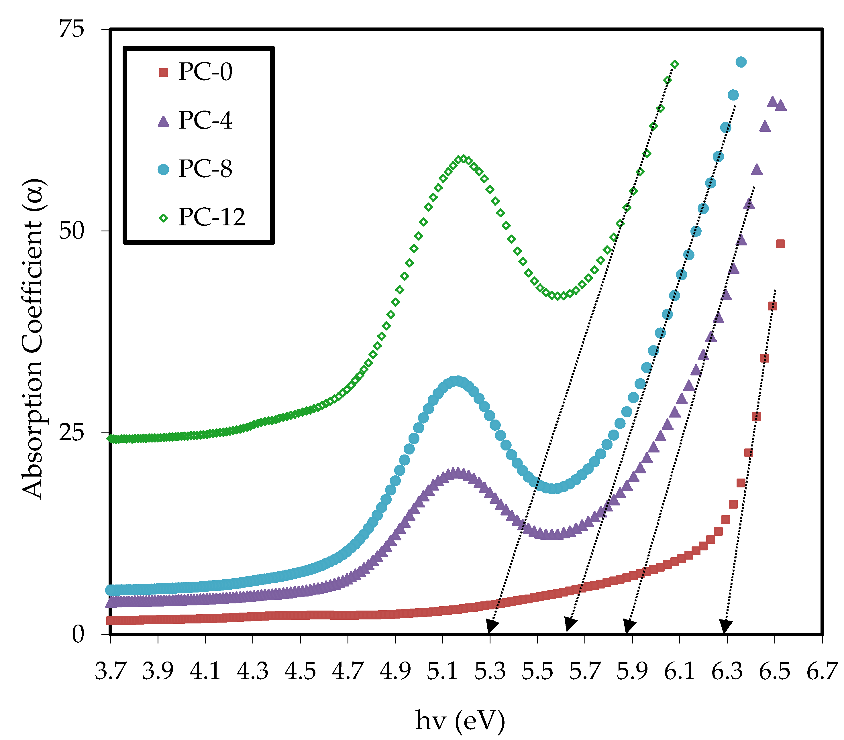
Figure 5 shows the optical coefficient of absorption as a function of the energy of photons of the PVA and PVA:PbS films. Upon the addition of PbS NPs, the absorption edges of PVA shift toward lower photon energy. The shifting is evidence of reducing the optical Eg due to the additive materials. Table 2 summarizes the absorption edges measured by extrapolating the linear parts of the absorption coefficient versus photon energy.
Figure 5.
Absorption coefficients as a function of photon energy for all the polymer composite samples.
Table 2.
Extracted Urbach tail localized state and optical absorption edge; the magnitudes have approximately been determined from Figure 5.
Table 2 shows that by increasing the PbS amount, the absorption edge decreased. This decrease occurs due to creating new localized states in the bandgap. In other words, the transition lies below the PVA energy gap and expands the bandgap’s tail. The Urbach tail’s (UT) width measures the degree of disorder in the forbidden gap and the degree of defective levels. The following equation can be used to calculate the UT width [38]:
where is a constant and is the Urbach energy.
Table 2 reveals an overview of the band tail values of both PVA and PVA-loaded samples. The band tail values were determined from the inverse of the slopes associated with the lines given in Figure 6. It has been emphasized that the values increase as the PbS NPs amount is increased. The consequence of increasing the values produces tail-to-tail transitions, and it is an indication of the newly constructed localized states with relatively high density [8,41].
Figure 6.
Urbach plot for pure PVA and PVA/PbS NCPs.
3.2.3. Study of Optical Band Gap Energy and Dielectric Loss
As a common approach, UV-vis spectroscopy is applied to measure the Eg of materials. The electrons will excite due to photon energy absorption, leading to absorption edge modification. Consequently, some deviations will occur in the BG, which facilitates the determination of optical band gap energies [39].
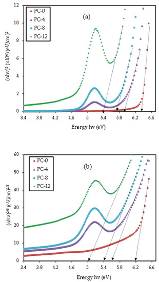
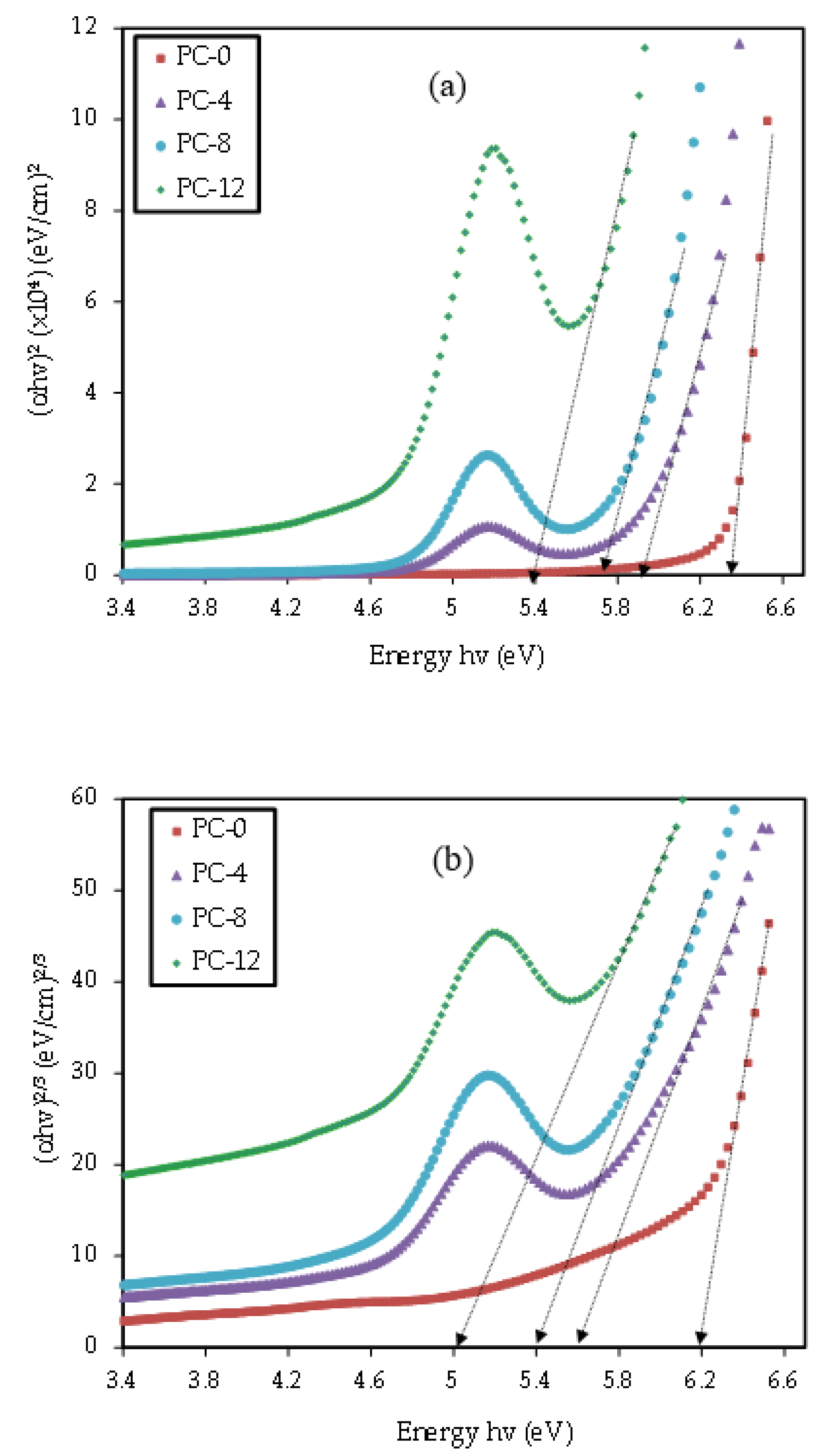
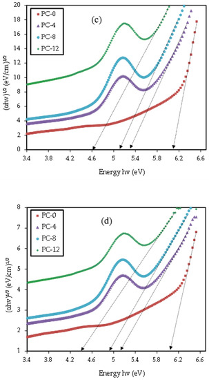
Figure 7a–d depict the plot of with photon energy (hv) and for all the systems. The values of Eg of the samples also can be determined using the ɛi approach. The optical Eg is obtained from the Tauc’s equation using Equation (7) [42,43,44].
where B is a constant parameter related to the formation of new energy bands, and represents the optical Eg. The γ could take the values of 1/2 and 3/2, which indicate the electron transitions of direct allowed and forbidden, respectively. The γ can also take the values of 2 and 3, which refer to indirect allowed and forbidden transitions, respectively.

Figure 7.
(a) , (b) , (c) , and (d) versus for PVA and doped systems.
Figure 8 shows the kinds of electronic transitions schematically. The intercept of the extrapolated linear components of the figure of on the x-axis gives the direct optical Eg of both the PVA and PVA composites [45]. Table 3 tabulates the BG values corresponding to all possible transitions. The manipulation of newly formed levels between the valence band (V-B) and conduction band (C-B) of PVA is evidenced by the optical Eg decrease from 6.3 eV for the PVA to 5.25 eV for PVA with 12 wt% of PbS NPs. This reduction also confirms that permanent defects occur at the band edge within the forbidden band. Moreover, it emphasizes that an intermediate energy level will be created in the forbidden gap [46,47]. This is also attributed to the influences of adding PbS NPs, which leads to creating extra electronic states in the PVA BG. Those states serve as intermediate locations for recombination and trapping, causing the optical band gap to modify. The polymer structure change causes an increase in the extent of disordering in the samples and a significant reduction in the Eg [48]. A report published in the literature stated the difficulty of measuring the direct and indirect kinds of amorphous materials [49].
Figure 8.
Possible electronic transitions under guiding light through the polymer composite films (a) direct allowed, (b) direct forbidden, (c) indirect allowed, (d) indirect forbidden [21,48].
Table 3.
Measured Eg from Taucand εi plot.
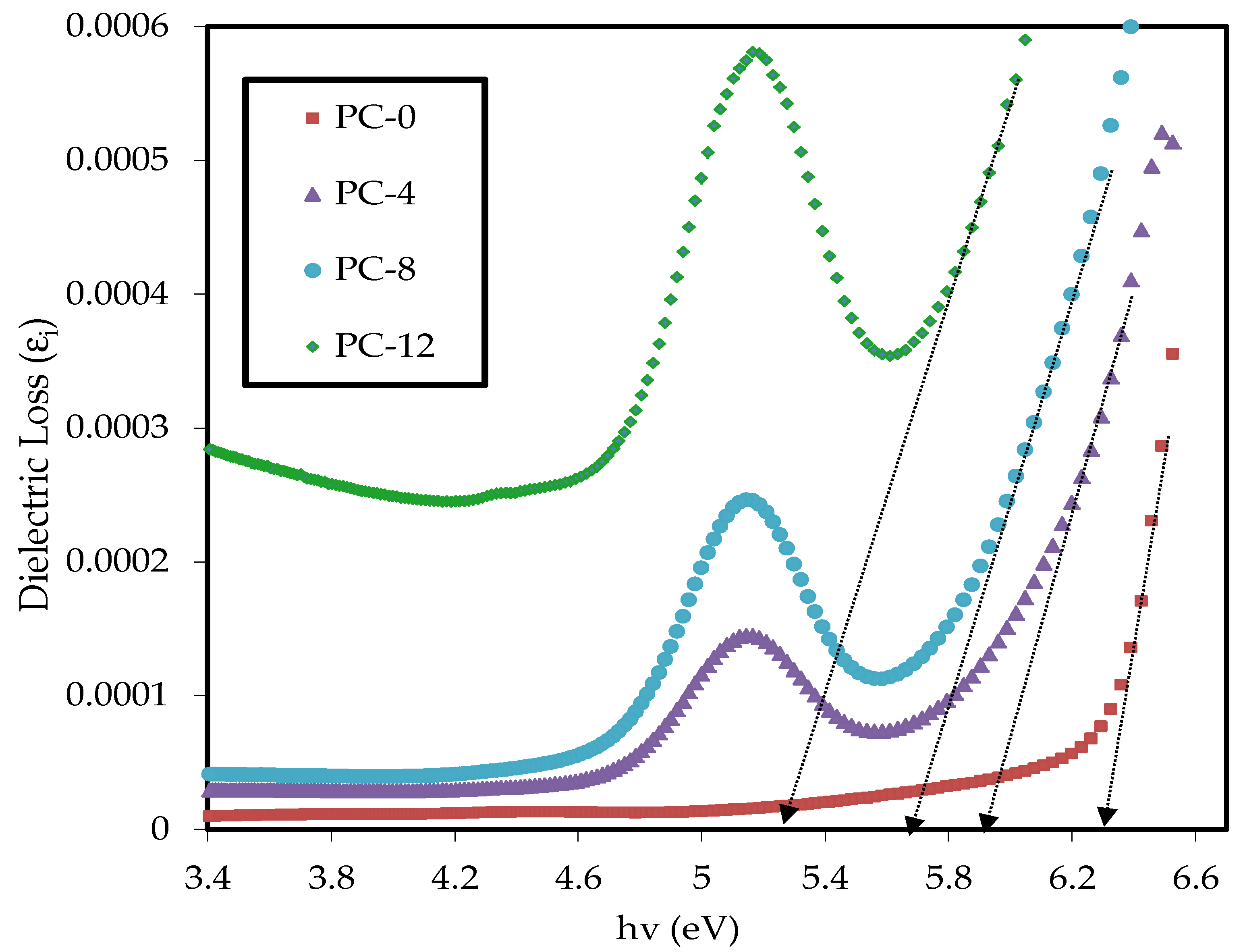
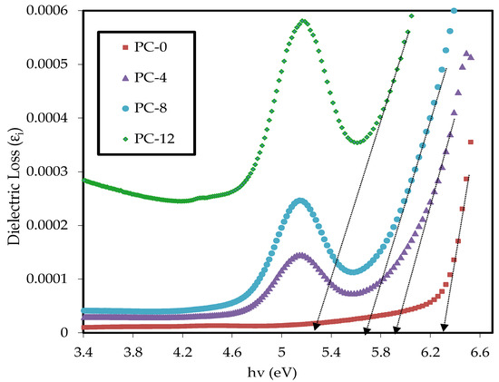
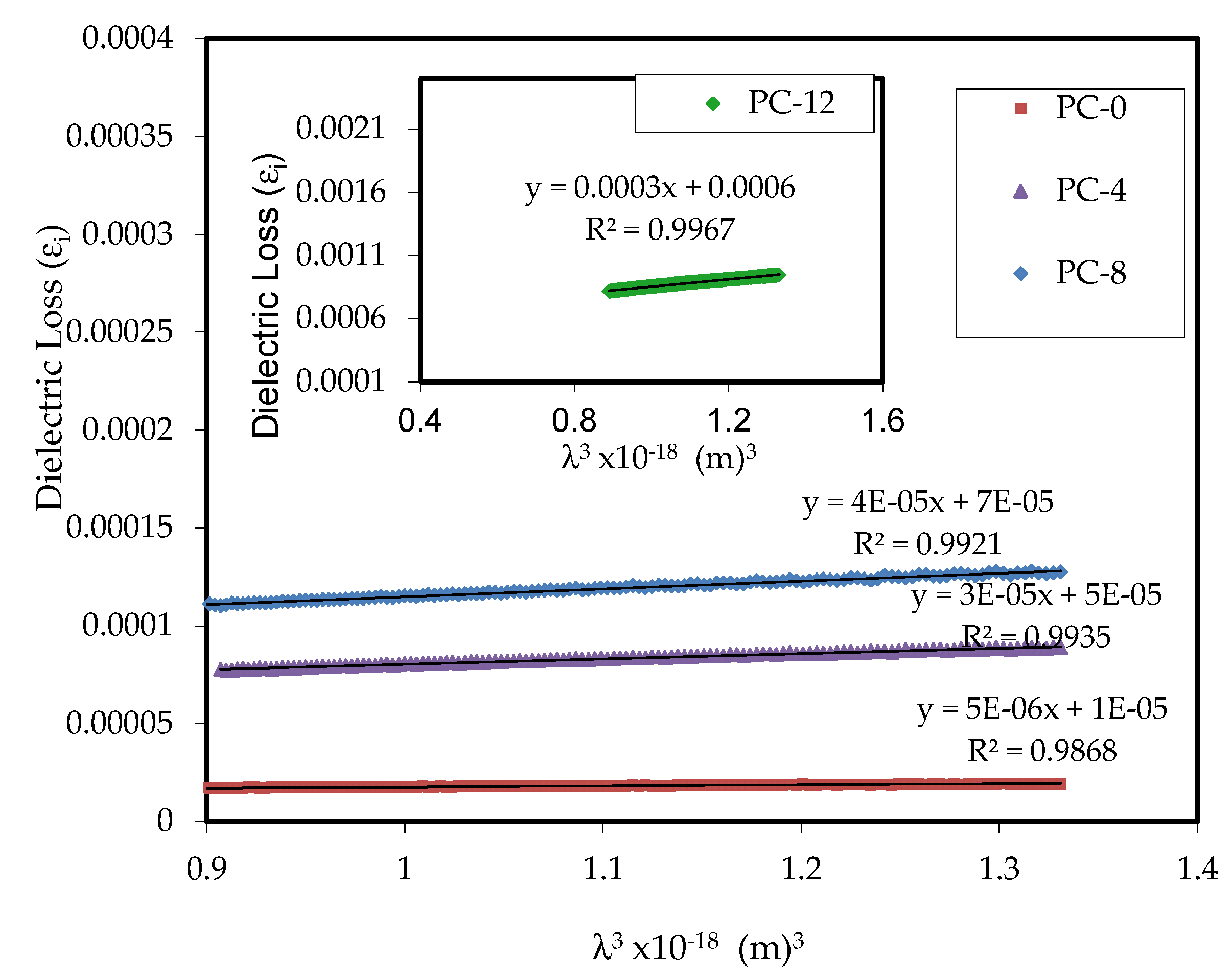
It is clear from Table 3 that the estimated band gap values for composite samples for γ = 3/2 (direct forbidden) are close enough to those obtained from the optical dielectric loss plot (Figure 9), meaning that the crystalline structure is perturbed in the NCPs samples. Therefore, the direct forbidden (γ = 3/2) results for NCPs samples are associated with the reduction of the crystalline order in PVA composite films. The Eg achieved from Tauc’s equation (Figure 7a–d) in comparison to the Eg value obtained from the optical dielectric loss plot (Figure 9) indicates that the nature of electronic transition in pure PVA is direct allowed (γ = 1/2).
Figure 9.
Dielectric losses vs. hυ for PVA and doped systems.
The current work shows the change in the BG of PVA loaded with PbS NPs and compares with those published for different polymers with several fillers, including ceramics, salts, metal complexes, and NPs. Table 4 presents how the various filler additions in the previous works did not considerably change the Eg of polymers.
Table 4.
Eg associated with various polymer compositesin the literature.
Using the dielectric function from optical spectroscopy is vital to study the overall band structure of materials because of their strong correlation. The earlier study shows that the electron transition from occupied state to unoccupied state is primarily characterized by the imaginary component of the dielectric function () [93]. However, there is a sophisticated quantum mechanical formulation which can precisely reflect the imaginary component of the dielectric constant [94],
where the functions (Ψn′kσ and Ψnkσ) stand for the crystal wave functions from the final and initial states at the k-point. The constant parameters, e, Ω, and m, are the electron charge, volume, and mass, respectively. The represents the Fermi energy distribution. In the present study, the optical band gap of the samples was precisely and reliably assessed by applying the idea of optical dielectric loss. In recent years, it has been well established that the absorption edge could be derived from the mutual relationship between dielectric loss and photon energy with comparable outcomes to or almost the same as those obtained from the Tauc’s relationship [28,30,42].
Based on the experimental results, a direct calculation of the dielectric function from optical spectroscopy is highly possible. Optical spectroscopy also eases access to crucial parameters such as absorbance, reflectance, refractive index, and extinction coefficient. Therefore, establishing a relationship between the measured parameters and the and is the aim of this work in the attempt to gain a comprehensive understanding of electronic structure within materials that respond to UV-vis radiation. Thus, the easy way of determining the complex dielectric constant from the achieved n and k is the implementation of the below correlation [29]:
From Figure 9, one can consider the actual band gap from the intersection of linear components with the x-axis. Nofal et al. [40] have recently concluded that the principal absorption edge comes from the plot associated with dielectric loss versus hυ. The study also emphasized that the absorption edge must be equivalent to or substantially near that calculated from Tauc’s theory [40]. Moreover, it will be reasonable to effectively define the interband absorption mechanism from the electron transition between the solid bands. To be clearer, the optical transition onset over the BG is mainly determined by the absorption edge. As mentioned above, the electronic transition types can be measured by comparing the graphs from Tauc’s method (see Figure 7a–d) to Figure 9. From those figures, it was concluded that PVA’s electronic transition type is directly allowed, whereas PVA:PbS samples are directly forbidden. Eventually, from the previous findings, the band gap structure and the dielectric function can be analyzed [63].
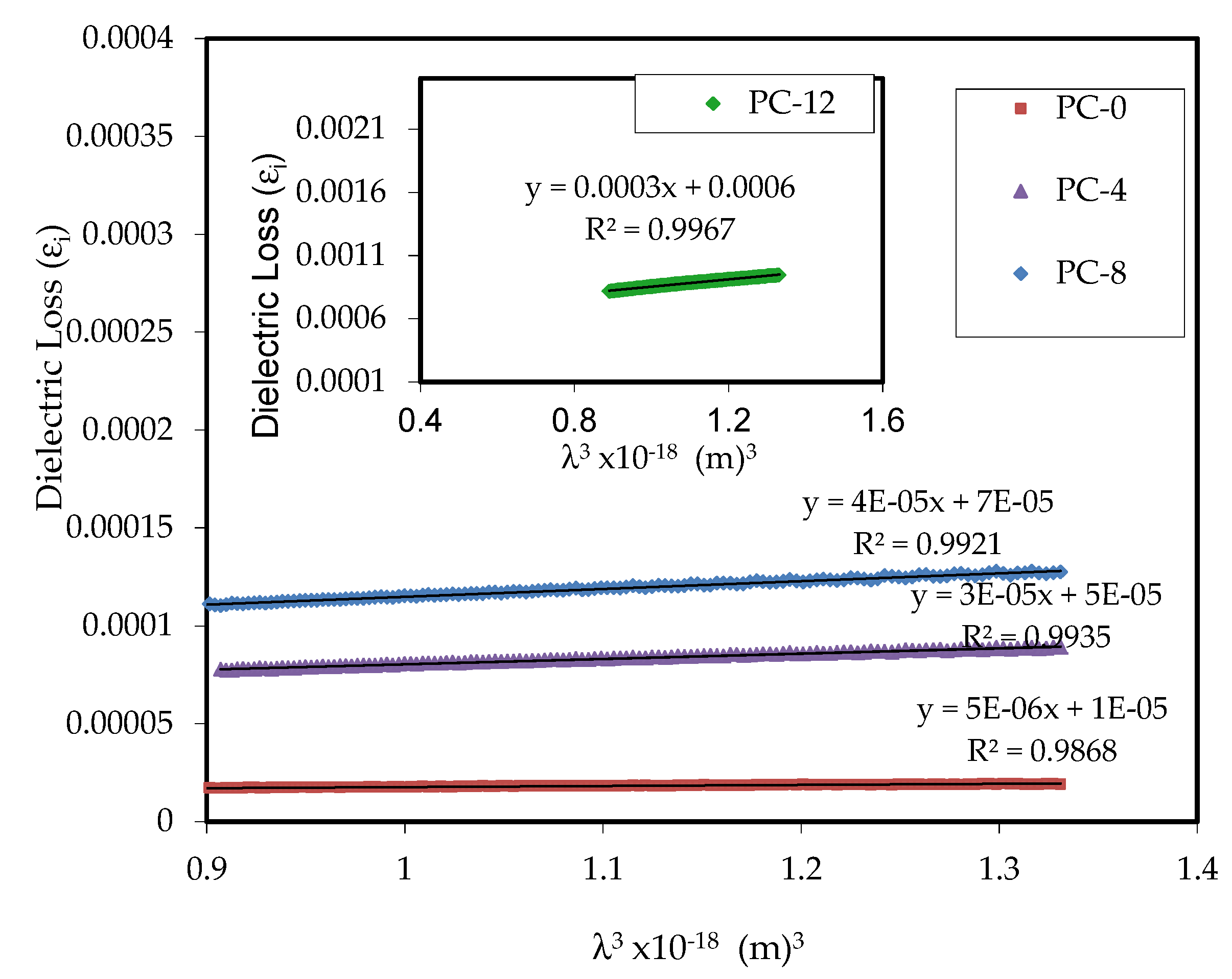
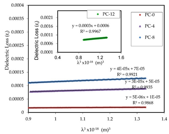
The long wavelength range and low frequency () are strongly correlated. This results in photons with low energy (), making it impossible for them to move electrons from the V-B to the C-B. So, electrons lose energy by scattering. The optical characteristics of materials are described from the index of refraction and the dielectric constant. A clear relationship is seen in Equation (10), where n and K values can also be derived from .
Figure 10 shows the essential interrelationship between the and λ for the samples. Based on the Spitzer–Fan model, the wavelength and refractive index relationship were used to obtain the dielectric response at high frequency (short wavelengths) [95]:
where , and arethe permittivity of vacuum, speed of light, and the amount of charge carrier per unit volume, respectively. stands for the effective mass, which is 1.16 [52].
Figure 10.
εr for PVA and PVA-loaded samples.
Here, the dielectric constant in its complex form is equivalent to the complex refractive index square (). Additionally, it indicates how much the material candecrease the speed of light [48].Figure 11shows the relationship between the and in the visible range. The slope value and intercept with the y-axis canbe applied to determine the N/m* and values, respectively. The estimation of the values of , N/m*, and were obtained from Equation (11).
Figure 11.
Linear plots of versus .
Table 5 shows that the magnitudes of charge carriers (N/m*) in pure PVA increased as the filler concentration increased from 3.65 × 1055 to 281.02 × 1055 m3/Kg. Furthermore, the increased from 1.37 to 4.44, indicating a rise in free charge carriers that effectively contributed to the polarization process [52].
Table 5.
Optical dielectric parameters associated with pure PVA and PVA containing PbS.
There is a connection between the CDF and the assessable optical values using simple equations, from which a roughcomputation of the optical properties of solids can be performed. The and and the density of newly induced localized states of electrons within the forbidden band gap have experienced behavior that is robustly in accordance with prior studies. Upon using (N/m*) values, the prediction of many other crucial parameters from the Drude free electron model is possible, such as relaxation time (), plasma frequency (), and electrical resistivity () [40]:
Figure 12 shows the variation of with respect to for a pure PVA and the other films with various quantities of PbS NPs in the region where linear behavior is obtainable. The relaxation time () values would be derived from Equation (12) using the N/m* value and the slope of linear correlation of versus . Moreover, to calculate the optical mobility (), , and of the electron, the following relationships can be applied [40]:
Figure 12.
Plots of versus for the systems.
Table 6 shows the values of and . It is worthmentioning that the , , and of PVA are manipulated in a lower trend upon the addition of PbS NOF. This incorporation of the filler leads to a much faster relaxation response of the NCP molecules to the guided electromagnetic field than the unfilled one.
Table 6.
Determined values of , , , and .
The low values of , and are a result of slowing down the light beam through polymer material films with relatively larger refractive indices. The of the electron increased from 1.06 × 1029 to 81.5 × 1029 Hz when the PbS NPs was added. A comparable outcome collected for NCPs and the effect of an intensive local electric field of induced NOF dipole moment has been reported. This enhances the material’s polarization whenever exposed to the external electromagnetic field. The calculation of optical parameters can also be carried out. The previous explanation indicates that there is more than one way to evaluate the Eg such as using refractive index and the optical dielectric loss function. These factors are outstanding and decisive in choosing appropriate materials for optoelectronic applications [40].
3.2.4. Refractive Index Study
Figure 13 shows the refractive index (n) and wavelength correlation of PVA and loaded films. It is noticeable that the refractive index increases with the increase of PbS NPs. Recently, it has been observed that the demand for suitable optical materials with efficient n has increased, particularly in a wide range of optical applications, such as ophthalmic lenses, optical adhesives, lenses, optoelectronics, filters, highly reflecting, and antireflecting coatings [48,84]. As seen in Figure 13, the addition of PbS NPs increased the value of n of the NCPs samples. Quantitatively, the n values are increased from 1.27 to around 2.16. Lü et al. [96] described how adding some semiconductor NPs of metal sulfide, such as PbS, which have a high refractive index, into a polymer matrix, fabricates NCPs with a high refractive index.
Figure 13.
n variation as a function of wavelength.
The extinction coefficient (K) and wavelength relationship are shown in Figure 14. By applying Kramers–Kronig relationships, the n values are obtained from R and K [52]:
where .
Figure 14.
Extinction coefficients (k) over a broad wavelength range.
The k has a high value for the loaded samples at longer wavelengths. The k determines the amount of light loss because of absorption and scattering per unit distance of the guiding medium. The magnitude of (k) shows the degree of transparency of the films at the long wavelengths [48].
On the other hand, at short wavelengths the k obtains the maximum value immediately because the absorption behavior predominates. Figure 14 shows that k increases when the PbS NPs quantity in PVA films increases. When the material under study is subjected to electromagnetic radiation, the composite films dissipate higher energy than those made that of pure PVA, according to the higher k value [73].
3.2.5. Wemple–DiDomenico (WD) Model
It is crucial to determine the refractive index and the dispersion behavior as two essential optical properties of materials. For optical communication and the development of the device, the determination of the refractive index dispersion and spectral dispersion is essential. Regarding the normal dispersion region, the n is thoroughly studied using the single oscillator model proposed by WD. Dispersion energy (Ed) represents a direct measurement of the strength of the inter-band optical transition. The Ed also identifies a strong connection to the chemical bonding and combines the charge distribution and coordination number in each unit cell. A single oscillator parameter (Eo) is directly proportional to the oscillator’s energy. The following semi-empirical relationship can be used in the correlation between the refractive index and photon energy [40]:
The magnitudes of both and from the intercept and slope, respectively, can be determined. The data in Figure 15 were fitted using linear regression lines. The calculated and are tabulated in Table 7. The values increased with increasing PbS NPs values, while values decreased. and the optical Eg are interrelated. Empirically, the values reflect the direct (i.e., ) for the obtained films, as shown in Table 3 [23,40]. The slope of the linear section of verses produces the values. Figure 15 shows that the intersection of the graph and the y-axis yields the values [40].
Figure 15.
Variation of against photon energy for the samples.
Table 7.
Optical band gap calculated from the single oscillator model, established by Wemple–DiDomenico.
4. Conclusions
In conclusion, it is suitable to synthesis the PVA/PbS polymer NCPs film using the solution cast method. The PbS NPs primarily decreased the degree of crystallinity of the polymer NCPs. The FTIR outcome showed the occurrence of interaction among polymer NCPs components. The strong absorption of NCPs films in the UV region showed the suitability of the films for UV shielding. In addition, the PbS NPs content within the PVA matrix decreased the Eg value from 6.3 to 5.25 eV. Furthermore, the magnitude of EU increased from 0.20 to 1.30 eV upon loading PbS NPs into the polymer, indicating the occurrence of structural disordering in polymers and leading to an increase in locally induced new states in the forbidden gaps. From the optics point of view, the refractive index improved from 1.27 to 2.16, corresponding to the polymer composite film with optimum PbS NPs. From the optical dielectric loss plot, the exact values of Eg were determined and used to specify the types of electron transition proposed from the Tauc’s model for each solid film. The of the electron increased from 1.06 × 1029 to 81.5 × 1029 Hz when the PbSNPs was added. The µ of the electron also increased from 4.85 to 6.22 cm2/(V·s) by adding the PbS NPs. Owing to their optical band gap, enhanced optical property and flexibility, these samples have a good potential for application in optoelectronic devices.
Author Contributions
Conceptualization, S.M.M., S.A.H. and S.B.A.; Data curation, P.A.M.; Formal analysis, S.A.H.; Investigation, A.H.A.D.; Methodology, A.H.A.D.; Project administration, S.A.H. and S.B.A.; Supervision, S.A.H. and S.B.A.; Validation, P.A.M., S.M.M., S.B.A., M.A.B., R.M.A. and W.O.K.; Writing—original draft, A.H.A.D. and P.A.M.; Writing—review and editing, S.M.M., S.B.A., M.A.B., R.M.A. and W.O.K. All authors have read and agreed to the published version of the manuscript.
Funding
The authors gratefully acknowledge the financial support for this study from the Ministry of Higher Education and Scientific Research, Kurdistan Regional Government, Department of Physics, College of Science, University of Sulaimani, Sulaimani.
Institutional Review Board Statement
Not applicable.
Informed Consent Statement
Not applicable.
Data Availability Statement
Not applicable.
Conflicts of Interest
The authors declare no conflict of interest.
References
- Chang, C.; Chang, C. Preparation and characterization of polyimide e nanogold nanocomposites from 3-mercaptopropyltrimethoxysilane encapsulated gold nanoparticles. Polym. Degrad. Stab. 2008, 93, 109–116. [Google Scholar] [CrossRef]
- Clark, J.; Lanzani, G. Organic photonics for communications. Nat. Photonics 2010, 4, 438–446. [Google Scholar] [CrossRef]
- Ahmad, H.M.; Sabeeh, S.H.; Hussen, S.A. Electrical and Optical Properties of PVA/LiI Polymer Electrolyte Films. Asian Trans. Sci. Technol. 2012, 1, 16–20. [Google Scholar]
- Cardona, D.M.M.; Florez, J.J.O. Electrical properties of Cr/CrN nano-multilayers produced by the unbalanced magnetron sputtering technique. Dyna 2011, 78, 53–57. [Google Scholar]
- Mamiyev, Z.; Balayeva, N.O. PbS nanostructures: A review of recent advances, Materials Today Sustainability. Mater. Today Sustain. 2023, 21, 100305. [Google Scholar] [CrossRef]
- Melnikov, P.; Bobrov, A.; Marfin, Y. On the Use of Polymer-Based Composites for the Creation of Optical Sensors: A Review. Polymers 2022, 14, 4448. [Google Scholar] [CrossRef]
- John, B. Polymer Nanocomposite-Based Electrochemical Sensors and Biosensors. In Nanorods Nanocomposites; IntechOpen: London, UK, 2020. [Google Scholar] [CrossRef]
- Brza, M.A.; Aziz, S.B.; Anuar, H.; Al Hazza, M.H.F. From green remediation to polymer hybrid fabrication with improved optical band gaps. Int. J. Mol. Sci. 2019, 20, 3910. [Google Scholar] [CrossRef] [PubMed]
- Brza, M.A.; Aziz, S.B.; Anuar, H.; Ali, F.; Dannoun, E.; Mohammed, S.J.; Abdulwahid, R.T.; Al-Zangana, S. Tea from the drinking to the synthesis of metal complexes and fabrication of PVA based polymer composites with controlled optical band gap. Sci. Rep. 2020, 10, 18108. [Google Scholar] [CrossRef]
- Abdullah, O.G.; Salman, Y.A.K.; Saleem, S.A. Electrical conductivity and dielectric characteristics of in situ prepared PVA/HgS nanocomposite films. J. Mater. Sci. Mater. Electron. 2016, 27, 3591–3598. [Google Scholar] [CrossRef]
- Abdullah, O.G.H.; Saleem, S.A. Effect of Copper Sulfide Nanoparticles on the Optical and Electrical Behavior of Poly (vinyl alcohol) Films. J. Electron. Mater. 2016, 45, 5910–5920. [Google Scholar] [CrossRef]
- Khairy, Y.; Mohammed, M.I.; Elsaeedy, H.I.; Yahia, I.S. Optical and electrical properties of SnBr2-doped polyvinyl alcohol (PVA) polymeric solid electrolyte for electronic and optoelectronic applications. Opt. Int. J. Light Electron. Opt. 2020, 228, 166129. [Google Scholar] [CrossRef]
- Abdulwahid, R.T.; Abdullah, O.G.; Aziz, S.B.; Hussein, S.A.; Muhammad, F.F.; Yahya, M.Y. The study of structural and optical properties of PVA: PbO2 based solid polymer nanocomposites. J. Mater. Sci. Mater. Electron. 2016, 27, 12112–12118. [Google Scholar] [CrossRef]
- Badawi, A. Engineering the optical properties of PVA/PVP polymeric blend in situ using tin sulfide for optoelectronics. Appl. Phys. A 2020, 126, 335. [Google Scholar] [CrossRef]
- Soliman, T.S.; Abouhaswa, A.S. Synthesis and structural of Cd0.5Zn0.5F2O4 nanoparticles and its influence on the structure and optical properties of polyvinyl alcohol films. J. Mater. Sci. Mater. Electron. 2020, 31, 9666–9674. [Google Scholar] [CrossRef]
- Bhajantri, J.N.R.F. Physical and Electrochemical Studies on Ceria Filled PVA Proton Conducting Polymer Electrolyte for Energy Storage Applications. J. Inorg. Organomet. Polym. Mater. 2018, 28, 906–919. [Google Scholar] [CrossRef]
- Drishya, V.; Unnimaya, A.N.; Naveenraj, R.; Suresh, E.K.; Ratheesh, R. Preparation, Characterization, and Dielectric Properties of PP/CaTiO3 Composites for Microwave Substrate Applications. Int. J. Appl. Ceram. Technol. 2016, 13, 810–815. [Google Scholar] [CrossRef]
- Mazzapioda, L.; Vecchio, C.L.; Danyliv, O.; Baglio, V. Composite Nafion-CaTiO3-δ Membranes as Electrolyte Component for PEM Fuel Cells. Polymers 2020, 12, 2019. [Google Scholar] [CrossRef]
- Kumar, A.; Kumar, S.; Bahuguna, A.; Kumar, A.; Sharma, V.; Krishnan, V. Recyclable, bifunctional composites of perovskite type N-CaTiO3 and reduced graphene oxide as an efficient adsorptive photocatalyst for environmental remediation. Mater. Chem. Front. 2017, 1, 2391–2404. [Google Scholar] [CrossRef]
- Alvarez-Sanchez, C.O.; Lasalde-Ramírez, J.A.; Ortiz-Quiles, E.O.; Massó-Ferret, R.; Nicolau, E. Polymer-MTiO3 (M = Ca, Sr, Ba) composites as facile and scalable supercapacitor separators. Energy Sci. Eng. 2019, 7, 730–740. [Google Scholar] [CrossRef]
- Parveen, A.; Koppalkar, A.R.; Roy, A.S. Surface modified CaTiO3 loaded in polyaniline by sodium dodecyl benzene sulphonic acid for humidity sensor. IEEE Sens. J. 2012, 12, 2817–2823. [Google Scholar] [CrossRef]
- Mohamad, A.H.; Abdullah, O.G.; Saeed, S.R. Effect of very fine nanoparticle and temperature on the electric and dielectric properties of MC-PbS polymer nanocomposite films. Results Phys. 2019, 16, 102898. [Google Scholar] [CrossRef]
- Aziz, S.B.; Dannoun, E.M.A.; Tahir, D.A.; Hussen, S.A.; Abdulwahid, R.T.; Nofal, M.M.; Abdullah, R.M.; Hussein, A.M.; Brevik, I. Synthesis of PVA/CeO2 based nanocomposites with tuned refractive index and reduced absorption edge: Structural and optical studies. Materials 2021, 14, 1570. [Google Scholar] [CrossRef] [PubMed]
- Kord, M.; Hedayati, K.; Farhadi, M. Green synthesis and characterization of flower-like PbS and metal-doped nanostructures via hydrothermal method. Main Group Met. Chem. 2017, 40, 35–40. [Google Scholar] [CrossRef]
- Adeyemi, J.O.; Onwudiwe, D.C. PbS Nanoparticles Prepared Using 1, 10-Phenanthroline Adduct of Lead(II) Bis(N-alkyl-N-phenyl dithiocarbamate) as Single Source Precursors. Molecules 2020, 25, 2097. [Google Scholar] [CrossRef]
- Sarkawt A Hussen, Structural and optical characterization of pure and SnZrO3 doped PS based polymer nanocomposite. Mater. Res. Express 2020, 7, 105302. [CrossRef]
- Bhargav, P.B.; Mohan, V.M.; Sharma, A.K.; Rao, V.V.R.N. Investigations on electrical properties of (PVA:NaF) polymer electrolytes for electrochemical cell applications. Curr. Appl. Phys. 2009, 9, 165–171. [Google Scholar] [CrossRef]
- Abdullah, O.G.; Salman, Y.A.K.; Saleem, S.A. In-situ Synthesis of PVA/HgS Nanocomposite Films and Tuning Optical Properties. Phys. Mater. Chem. 2015, 3, 18–24. [Google Scholar] [CrossRef]
- Parveen, A.; Agrawal, S.; Azam, A. Band gap tuning and fluorescence properties of lead sulfide Pb0.9A0.1S (A:Fe, Co and Ni) nanoparticles by transition metal doping. Opt. Mater. 2018, 76, 20–27. [Google Scholar] [CrossRef]
- Soliman, T.S.; Zaki, M.F.; Hessien, M.M.; Elkalashy, S.I. The structure and optical properties of PVA-BaTiO3 nanocomposite films. Opt. Mater. 2020, 111, 110648. [Google Scholar] [CrossRef]
- Aziz, S.B.; Brza, M.A.; Nofal, M.M.; Abdulwahid, R.T.; Hussen, S.A.; Hussein, A.M.; Karim, W.O. A comprehensive review on optical properties of polymer electrolytes and composites. Materials 2020, 13, 3675. [Google Scholar] [CrossRef] [PubMed]
- Hemalatha, K.S.; Rukmani, K.; Suriyamurthy, N.; Nagabhushana, B.M. Synthesis, characterization and optical properties of hybrid PVA-ZnO nanocomposite: A composition dependent study. Mater. Res. Bull. 2014, 51, 438–446. [Google Scholar] [CrossRef]
- Kumar, R.; Ali, S.A.; Mahur, A.K.; Virk, H.S.; Singh, F.; Khan, S.A.; Avasthi, D.K.; Prasad, R. Study of optical band gap and carbonaceous clusters in swift heavy ion irradiated polymers with UV-Vis spectroscopy. Nucl. Instrum. Methods Phys. Res. Sect. B Beam Interact. Mater. At. 2008, 266, 1788–1792. [Google Scholar] [CrossRef]
- Ennis, C.P.; Kaiser, R.I. Mechanistical studies on the electron-induced degradation of polymethylmethacrylate and Kapton. Phys. Chem. Chem. Phys. 2010, 12, 14902–14915. [Google Scholar] [CrossRef]
- Maikala, R.V. Modified Beer’s Law—Historical perspectives and relevance in near-infrared monitoring of optical properties of human tissue. Int. J. Ind. Ergon. 2010, 40, 125–134. [Google Scholar] [CrossRef]
- Kuntzleman, T.S.; Jacobson, E.C. Teaching Beer’s Law and absorption spectrophotometry with a smart phone: A substantially simplified protocol. J. Chem. Educ. 2016, 93, 1249–1252. [Google Scholar] [CrossRef]
- Aziz, S.B.; Hassan, A.Q.; Mohammed, S.J.; Karim, W.O.; Kadir, M.F.Z.; Tajuddin, H.A.; Chan, N.N.M.Y. Structural and optical characteristics of pva:C-dot composites: Tuning the absorption of ultra violet (uv) region. Nanomaterials 2019, 9, 216. [Google Scholar] [CrossRef]
- Aziz, S.B.; Gh, O.; Ahang, A. Optical properties of pure and doped PVA: PEO based solid polymer blend electrolytes: Two methods for band gap study. J. Mater. Sci. Mater. Electron. 2017, 28, 7473–7479. [Google Scholar] [CrossRef]
- Guirguis, O.W.; Moselhey, M.T.H. Optical study of poly(vinyl alcohol)/hydroxypropyl methylcellulose blends. J. Mater. Sci. 2011, 46, 5775–5789. [Google Scholar] [CrossRef]
- Nofal, M.M.; Aziz, S.B.; Hadi, J.M.; Karim, W.O.; Dannoun, E.M.A.; Hussein, A.M.; Hussen, S.A. Polymer composites with 0.98 transparencies and small optical energy band gap using a promising green methodology: Structural and optical properties. Polymers 2021, 13, 1648. [Google Scholar] [CrossRef]
- Aziz, S.B.; Rasheed, M.A.; Hussein, A.M.; Ahmed, H.M. Fabrication of polymer blend composites based on [PVA-PVP](1−x):(Ag2S)x (0.01 ≤ x ≤ 0.03) with small optical band gaps: Structural and optical properties. Mater. Sci. Semicond. Process. 2017, 71, 197–203. [Google Scholar] [CrossRef]
- Abdullah, O.G.; Prof, A. Influence of barium salt on optical behavior of pva based solid polymer. Eur. Sci. J. 2014, 10, 406–417. [Google Scholar]
- Krishnakumar, V.; Govindaraj, S. Electrical and optical properties of pure and Pb2+ ion doped PVA—PEG polymer composite electrolyte films. Ionics 2011, 18, 403–411. [Google Scholar] [CrossRef]
- Abdullah, O.G.; Aziz, S.B.; Rasheed, M.A. Incorporation of NH4 NO3 into MC-PVA blend-based polymer to prepare proton-conducting polymer electrolyte films. Ionics 2017, 24, 777–785. [Google Scholar] [CrossRef]
- Abdelhamied, M.M.; Atta, A. Synthesis and Optical Properties of PVA/PANI/Ag Nanocomposite films. J. Mater. Sci. Mater. Electron. 2020, 31, 22629–22641. [Google Scholar] [CrossRef]
- Patel, G.B.; Singh, N.L.; Singh, F. Modification of chitosan-based biodegradable polymer by irradiation with MeV ions for electrolyte applications. Mater. Sci. Eng. B Solid-State Mater. Adv. Technol. 2017, 225, 150–159. [Google Scholar] [CrossRef]
- Lee, E.H. Ion-beam modification of polymeric materials—Fundamental principles and applications. Nucl. Instrum. Methods Phys. Res. Sect. B Beam Interact. Mater. At. 1999, 151, 29–41. [Google Scholar] [CrossRef]
- Aziz, S.B.; Ahmed, H.M.; Hussein, A.M.; Fathulla, A.B.; Wsw, R.M.; Hussein, R.T. Tuning the absorption of ultraviolet spectra and optical parameters of aluminum doped PVA based solid polymer composites. J. Mater. Sci. Mater. Electron. 2015, 26, 8022–8028. [Google Scholar] [CrossRef]
- Rodríguez, A.; Sánchez Vergara, M.E.; García Montalvo, V.; Ortiz, A.; Alvarez, J.R. Thin films of molecular materials synthesized from C32H20N10M (M = Co, Pb, Fe): Film formation, electrical and optical properties. Appl. Surf. Sci. 2010, 256, 3374–3379. [Google Scholar] [CrossRef]
- Muhammadsharif, F.F.; Aziz, S.B.; Hussen, S. Effect of the dopant salt on the optical parameters of PVA: NaNO3 solid polymer electrolyte Effect of the dopant salt on the optical parameters of PVA: NaNO3 solid polymer electrolyte. J. Mater. Sci. Mater. Electron. 2014, 26, 521–529. [Google Scholar] [CrossRef]
- Khayal, K.; Ahmeda, A.; Hussena, S.; Azizab, S.B. Transferring the wide band gap chitosan: POZ-based polymer blends to small optical energy band gap polymer composites through the inclusion of green synthesized Zn2+-PPL metal complex. Arab. J. Chem. 2022, 15, 103913. [Google Scholar] [CrossRef]
- Aziz, S.B.; Nofal, M.M.; Ghareeb, H.O.; Dannoun, E.M.A.; Hussen, S.A.; Hadi, J.M.; Ahmed, K.K.; Hussein, A.M. Characteristics of poly(Vinyl alcohol) (PVA) based composites integrated with green synthesized Al3+-metal complex: Structural, optical, and localized density of state analysis. Polymers 2021, 13, 1316. [Google Scholar] [CrossRef] [PubMed]
- Hussein, A.M.; Dannoun, E.M.A.; Aziz, S.B.; Brza, M.A.; Abdulwahid, R.T.; Hussen, S.A.; Rostam, S.; Mustafa, D.M.T.; Muhammad, D.S. Steps toward the band gap identification in polystyrene based solid polymer nanocomposites integrated with tin titanate nanoparticles. Polymers 2020, 12, 2320. [Google Scholar] [CrossRef] [PubMed]
- Aziz, S.B.; Nofal, M.M.; Brza, M.A.; Hussein, S.A.; Mahmoud, H.; El-bahy, Z.M.; Dannoun, E.M.A.; Kareem, W.O.; Hussein, A.M. Characteristics of PEO Incorporated with CaTiO3 Nanoparticles: Structural and Optical Properties. Polymers 2021, 13, 3484. [Google Scholar] [CrossRef]
- Ezat, G.S.; Hussen, S.A.; Aziz, S.B. Structure and optical properties of nanocomposites based on polystyrene (PS) and calcium titanate (CaTiO3) perovskite nanoparticles. Optik 2021, 241, 166963. [Google Scholar] [CrossRef]
- Taylor, P.; Mohan, V.M.; Bhargav, P.B.; Raja, V.; Sharma, A.K. Optical and Electrical Properties of Pure and Doped PEO Polymer Electrolyte Films. Soft Mater. 2007, 5, 33–46. [Google Scholar] [CrossRef]
- Aziz, S.B.; Mamand, S.M.; Saed, S.R.; Abdullah, R.M.; Hussein, S.A. New Method for the Development of Plasmonic Metal-Semiconductor Interface Layer: Polymer Composites with Reduced Energy Band Gap. J. Nanomater. 2017, 2017, 7459218. [Google Scholar] [CrossRef]
- Raja, V.; Mohan, V.M.; Sharma, A.K. Electrical and optical properties of pure and KClO3 -doped P (MMA-CO-4VPNO) polymer electrolyte films. Ionics 2009, 15, 519–524. [Google Scholar] [CrossRef]
- Sreekanth, K.; Siddaiah, T.; Gopal, N.O.; Kumar, Y.M.; Ramu, C. Optical and electrical conductivity studies of VO2+ doped polyvinyl pyrrolidone (PVP) polymer electrolytes. J. Sci. Adv. Mater. Devices 2019, 4, 230–236. [Google Scholar] [CrossRef]
- Mariah, S.; Yasin, M.; Ibrahim, S.; Johan, M.R. Effect of Zirconium Oxide Nanofiller and Dibutyl Phthalate Plasticizer on Ionic Conductivity and Optical Properties of Solid Polymer Electrolyte. Sci. World J. 2014, 2014, 547076. [Google Scholar] [CrossRef]
- Sreekanth, K.; Siddaiah, T.; Gopal, N.O.; Kumar, Y.M.; Ramu, C.; Siddaiah, T.; Gopal, N.O.; Kumar, Y.M.; Ramu, C. Thermal, structural, optical and electrical conductivity studies of pure and Fe ions doped PVP films for semoconducting polymer devices. Mater. Res. Innov. 2020, 25, 95–103. [Google Scholar] [CrossRef]
- Aziz, S.B.; Abdullah, O.G.; Brza, M.A.; Azawy, A.K.; Tahir, D.A. Effect of carbon nano-dots (CNDs) on structural and optical properties of PMMA polymer composite. Results Phys. 2019, 15, 102776. [Google Scholar] [CrossRef]
- Abdullah, R.M.; Aziz, S.B.; Mamand, S.M.; Hassan, A.Q.; Hussein, S.A.; Kadir, M.F.Z. Reducing the crystallite size of spherulites in PEO-based polymer nanocomposites mediated by carbon nanodots and Ag nanoparticles. Nanomaterials 2019, 9, 874. [Google Scholar] [CrossRef]
- Dhayal, V.; Upendra, S.Z.H.; Choudhary, K.B.L. Optical and electrical properties of biocompatible and novel (CS–GO) polymer nanocomposites. Opt. Quantum Electron. 2021, 53, 53. [Google Scholar] [CrossRef]
- Taha, T.A. Optical properties of PVC/Al2O3 nanocomposite films. Polym. Bull. 2019, 76, 903–918. [Google Scholar] [CrossRef]
- Alabdulaal, T.H.; Yahia, I.S. Optical linearity and nonlinearity, structural morphology of TiO2-doped PMMA/FTO polymeric nanocomposite films: Laser power attenuation. Optik 2021, 227, 166036. [Google Scholar] [CrossRef]
- Muhammed, D.S.; Brza, M.A.; Nofal, M.M.; Aziz, S.B.; Hussen, S.A.; Abdulwahid, R.T. Optical dielectric loss as a novel approach to specify the types of electron transition: XRD and UV-vis as a non-destructive techniques for structural and optical characterization of peo based nanocomposites. Materials 2020, 13, 2979. [Google Scholar] [CrossRef]
- Aziz, S.B. Morphological and optical characteristics of chitosan(1−x):Cuox (4 ≤ x ≤ 12) based polymer nano-composites: Optical dielectric loss as an alternative method for tauc’s model. Nanomaterials 2017, 7, 444. [Google Scholar] [CrossRef] [PubMed]
- Taha, T.A.; Hendawy, N.; El-Rabaie, S.; Esmat, A.; El-Mansy, M.K. Effect of NiO NPs doping on the structure and optical properties of PVC polymer films. Polym. Bull. 2019, 76, 4769–4784. [Google Scholar] [CrossRef]
- Bhargav, P.B.; Mohan, V.M.; Sharma, A.K.; Rao, V.V.R.N. Structural, Electrical and Optical Characterization of Pure and Doped Poly (Vinyl Alcohol) (PVA) Polymer Electrolyte Films. Int. J. Polym. Mater. 2007, 56, 579–591. [Google Scholar] [CrossRef]
- Irfan, M.; Manjunath, A.; Mahesh, S.S. Study on the optical properties of polyvinyl alcohol doped sodium fluoride polymer electrolyte films. AIP Conf. Proc. 2020, 2220, 80063. [Google Scholar] [CrossRef]
- Abdullah, O.G.; Tahir, D.A.; Ahmad, S.S.; Ahmad, H.T. Optical Properties of PVA: CdCl2. H2O Polymer Electrolytes. IOSR J. Appl. Phys. 2013, 4, 52–57. [Google Scholar] [CrossRef]
- Kiran, M.G.; Jyothi, N.K.; Samatha, K.; Rao, M.P.; Prasad, V.B.V.N. Studies on optical properties of Pva based complex polymer electrolyte. RASAYAN J. Chem. 2021, 14, 760–767. [Google Scholar] [CrossRef]
- Sheha, E.; Khoder, H.; Shanap, T.S.; El-Shaarawy, M.G.; El Mansy, M.K. Structure, dielectric and optical properties of p-type (PVA/CuI) nanocomposite polymer electrolyte for photovoltaic cells. Optik 2012, 123, 1161–1166. [Google Scholar] [CrossRef]
- Gh, O.; Aziz, S.B.; Rasheed, M.A. Structural and optical characterization of PVA: KMnO4 based solid polymer electrolyte. Results Phys. 2016, 6, 1103–1108. [Google Scholar] [CrossRef]
- Varishetty, M.M.; Qiu, W.; Gao, Y.; Chen, W. Structure, Electrical and Optical Properties of (PVA/LiAsF6) Polymer Composite Electrolyte Films. Polym. Eng. Sci. 2010, 50, 878–884. [Google Scholar] [CrossRef]
- Ali, H.E.; Algarni, H.; Yahia, I.S.; Khairy, Y. Optical absorption and linear / nonlinear parameters of polyvinyl alcohol films doped by fullerene. Chin. J. Phys. 2021, 72, 270–285. [Google Scholar] [CrossRef]
- Ismail, A.M.; Mohammed, M.I.; Yahia, I.S. A facile method to prepare g-carbon nitride/poly (vinyl alcohol) nanocomposite films with remarkable optoelectrical properties: Laser attenuation approach. Opt. Laser Technol. 2021, 134, 106600. [Google Scholar] [CrossRef]
- Taha, T.A.; Saleh, A. Dynamic mechanical and optical characterization of PVC/fGO polymer nanocomposites. Appl. Phys. A Mater. Sci. Process. 2018, 124, 600. [Google Scholar] [CrossRef]
- Illya, N.; Fauzi, M.; Fen, Y.W.; Abdullah, J.; Kamarudin, M.A.; Alia, N.; Omar, S.; Bashar, F.; Eddin, K.; Ramdzan, N.S. Evaluation of Structural and Optical Properties of Graphene Oxide-Polyvinyl Alcohol Thin Film and Its Potential for Pesticide Detection Using an Optical Method. Photonics 2022, 9, 300. [Google Scholar] [CrossRef]
- Soliman, T.S.; Vshivkov, S.A. Effect of Fe nanoparticles on the structure and optical properties of polyvinyl alcohol nanocomposite films. J. Non. Cryst. Solids 2019, 519, 119452. [Google Scholar] [CrossRef]
- Yahia, I.S.; Mohammed, M.I.; Nawar, A.M. Multifunction applications of TiO2/poly(vinyl alcohol) nanocomposites for Laser attenuation applications. Phys. B Phys. Condens. Matter 2018, 556, 48–60. [Google Scholar] [CrossRef]
- Sabry, N.; Mohammed, M.I.; Yahia, I.S. Optical analysis, optical limiting and electrical properties of novel PbI2/PVA polymeric nanocomposite films for electronic optoelectronic applications. Mater. Res. Express 2019, 6, 115339. [Google Scholar] [CrossRef]
- Gh, O.; Shujahadeen, A.; Khalid, B.A.; Yousif, M.O. Reducing the optical band gap of polyvinyl alcohol (PVA) based nanocomposite. J. Mater. Sci. Mater. Electron. 2015, 26, 5303–5309. [Google Scholar] [CrossRef]
- Vedhavathi, H.S.; Divya, U.S.; Madhukar, B.S.; Vanga, P.R.; Swamy, N.K. PVA/Gd2O3@Zno Nanocomposite Films as New Uv-Blockers: Structure and Optical Revealations. J. Inorg. Organomet. Polym. Mater. 2021, 32, 1853–1867. [Google Scholar] [CrossRef]
- Ali, H.E.; Yahia, I.S.; Algarni, H.; Khairy, Y. Enhancing the optical absorption, conductivity, and nonlinear parameters of PVOH films by Bi-doping. N. J. Phys. 2021, 23, 43001. [Google Scholar] [CrossRef]
- Abdullah, O.G.; Salh, D.M.; Mohamad, A.H.; Jamal, G.M.; Ahmed, H.T.; Mustafa, B.S.; Suhail, M.H. Linear and nonlinear optical characterization of dye–polymer composite films based on methylcellulose incorporated with varying content of methylene blue. J. Electron. Mater. 2022, 51, 675–683. [Google Scholar] [CrossRef]
- Mostafa, M.Y.A.; Zakaly, H.M.H.; Issa, S.A.M.; Saudia, H.A.; Henaish, A.M.A. Tailoring variations in the linear optical and radiation shielding parameters of PVA polymeric composite films doped with rare-earth elements. Appl. Phys. A 2022, 128, 199. [Google Scholar] [CrossRef]
- Ismail, M.S.; Elamin, A.A.; Abdel-Wahab, F.; Elbashar, Y.H.; Mahasen, M.M. Improving the refractive index by engineering PbS/PVA nano polymer composite for optoelectronic applications. Opt. Mater. 2022, 131, 112639. [Google Scholar] [CrossRef]
- Ahmed, B.Y.; Rashid, S.O. Synthesis, characterization, and application of metal-free sulfonamide-vitamin C adduct to improve the optical properties of PVA polymer. Arab. J. Chem. 2022, 15, 104096. [Google Scholar] [CrossRef]
- Saeed, C.O.; Qader, A.A.; Aziz, S.B.A. Low cost novel PEO based nano-composite for semiconductor and He–Ne lasers beam attenuation: Structural and optical properties. Opt. Mater. 2022, 129, 112502. [Google Scholar] [CrossRef]
- Darwesh, A.H.; Aziz, S.B.; Hussen, S.A. Insights into optical band gap identification in polymer composite films based on PVA with enhanced optical properties: Structural and optical characteristics. Opt. Mater. 2022, 133, 113007. [Google Scholar] [CrossRef]
- Yu, L.; Li, D.; Zhao, S.; Li, G.; Yang, K. First principles study on electronic structure and optical properties of ternary GaAs:Bi alloy. Materials 2012, 5, 2486–2497. [Google Scholar] [CrossRef]
- Hossain, F.M.; Sheppard, L.; Nowotny, J.; Murch, G.E. Optical properties of anatase and rutile titanium dioxide: Ab initio calculations for pure and anion-doped material. J. Phys. Chem. Solids 2008, 69, 1820–1828. [Google Scholar] [CrossRef]
- Brza, M.A.; Aziz, S.B.; Anuar, H.; Ali, F.; Dannoun, E.M.A.; Saeed, S.R.; Mohammed, S.J.; Abdulwahid, R.T. Green coordination chemistry as a novel approach to fabricate polymer:Cd(II)-complex composites: Structural and optical properties. Opt. Mater. 2021, 116, 111062. [Google Scholar] [CrossRef]
- Lü, C.; Guan, C.; Liu, Y.; Cheng, Y.; Yang, B. PbS/Polymer Nanocomposite Optical Materials with High Refractive Index. Chem. Mater. 2005, 17, 2448–2454. [Google Scholar] [CrossRef]
Disclaimer/Publisher’s Note: The statements, opinions and data contained in all publications are solely those of the individual author(s) and contributor(s) and not of MDPI and/or the editor(s). MDPI and/or the editor(s) disclaim responsibility for any injury to people or property resulting from any ideas, methods, instructions or products referred to in the content. |
© 2023 by the authors. Licensee MDPI, Basel, Switzerland. This article is an open access article distributed under the terms and conditions of the Creative Commons Attribution (CC BY) license (https://creativecommons.org/licenses/by/4.0/).















