Abstract
The luminescent properties of photocured aliphatic and aromatic network polycarbonate methacrylates, containing organic fluorescent dyad, have been studied. The dyad molecule includes two photosensitive fragments—tetraarylimidazole with a hydroxyl group and azomethinocoumarin—in each of which excited state intramolecular proton transfer (ESIPT) occurs, leading to the appearance of two emissions: blue (450 nm) and green (535 nm). It was established that the ratio of the intensities of these emissions depends very significantly on the excitation wavelength, as well as on the length, flexibility and polarity of the matrix oligomeric bridges.
1. Introduction
The main directions of oligocarbonate methacrylates studies were initiated by Al. An. Berlin, that were then further successfully elaborated; the formation mechanism of oligocarbonate methacrylates was verified that opened wide the possibilities for the control of the properties of these types of oligomers. Oligocarbonate methacrylates were modified to improve their thermal and thermal-oxidative stability [1,2,3,4,5]. Now, oligocarbonate methacrylates occupy a special place among photopolymerizable acrylic monomers due to their good polymerization ability, lack of coloring, non-toxicity and due to the actual properties of the network polymers formed from them. Their good dielectric characteristics, high impact resistance, low specific gravity, high thermal stability, fire safety, ease of processing, good sound insulation performance, resistance to chemical and mechanical influences and environmental and biological safety determine the wide demand for these polymers in various areas in the production of new materials. They can be used for the fixing, encapsulation and sealing of various products, the assembly of threaded products, sealing of pipelines and connections, and for the encapsulation and moisture protection of the assemblies and modules of different devices in electronic equipment [6].
They are also widely used for the manufacturing of optical products and coatings, especially in radiation conditions [4,7]. Their application in stereolithography is described, for example, in the layer-by-layer manufacture of parts from liquid oligomers, including oligocarbonate methacrylate, using an excimer XeCl laser (λ = 308 nm) [8]. Now, photopolymerization processes such as direct laser writing, three-dimensional micromachining, optical elements fabrication and data recording and storage are widely distributed, and they all use oligocarbonate methacrylate compositions [9,10]. These functionalized five-member cyclic carbonates can be precursors for a wide variety of polymers [7]. Moreover, recently, a near-infrared photopolymerization, in the depth of photocurable composition, on the base of oligocarbonate methacrylate and up-conversion nanoparticles, has been developed to produce scaffolds for biomedical applications [11].
At the same time, organic luminophors can be rightfully attributed to a number of important materials in new technologies. They have found application in quantum electronics, fluorescent flaw detection, in the aniline and plastics industry, in biology and medicine and for many other special purposes [12,13,14,15,16].
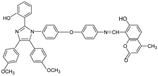
Previously [17], we synthesized a fluorescent dyad, the molecule of which includes two different photosensitive fragments—tetraarylimidazole with a hydroxyl group and azomethinocoumarin—within each of which intramolecular proton transfer in the excited state (ESIPT) occurs. The photosensitive fragments are connected by a diphenyl oxide bridge, which prevents the energy transfer between them [18]. The formula of the studied dyad is given below.

The spectral-luminescent properties of the dyad in solutions were described in [17]. It was shown that this compound is characterized by dual fluorescence with maxima at 430–450 and 530 nm; the ratio between them depends on the solvent nature and the excitation wavelength. The study of the dyad luminescence in the matrices of linear polyoligoester acrylates with different number of hydroxyl groups [19] demonstrated that the presence of hydroxyl in the polymer matrix has a moderate effect on the relative intensities of the two fluorescence bands. The reason for this effect is the hydrogen bonds’ formation between the dyad and polymer.
Taking into account the intensive development of luminescent materials, the increase in demand for them and the growth in requirements for their characteristics, the possibility of introducing a luminophore into oligocarbonate methacrylates, and studying the features of the dyad fluorescence manifestation in the network polymers of oligocarbonate dimethacrylates, is of great interest, since they can find practical applications. Therefore, the aim of this study is to elucidate the influence of the polymer matrices’ structure and morphology, within a class of polymers without hydroxyl groups, on the luminescent properties of the dyad in order to find its most pronounced effects.
2. Materials and Methods
CH2Cl2 (spectroscopic grade) and tetrahydrofuran (THF) were purchased from Acros Organics. Photoinitiator Darokur 4265 was purchased from Aldrich. Ethylene glycol monomethacrylate was purchased from Alfa Aesar and ethylene glycol biscloroformate, diethylene glycol biscloroformate, 2,2-diphenylopropane biscloroformate and resorcinol biscloroformate were purchased from LLC “Korund” (Russia).
2.1. OCM Synthesis
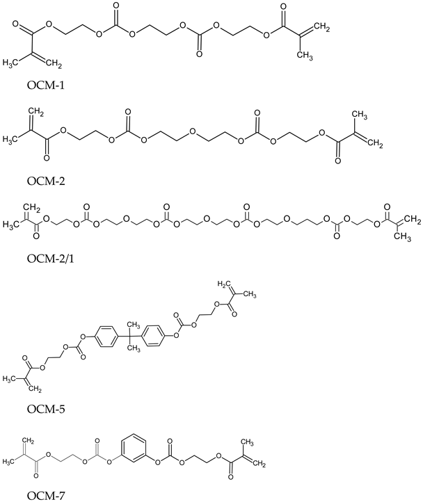
Earlier Soviet scientists developed a method of OCMs synthesis based on single-stage nonequilibrium low-temperature condensation–telomerization between bis- or poly-chloroformates of glycols or bisphenols (or without them), and mono- (met-)acrylic esters of glycols and bisphenols [1]. The reaction is carried out in a solution of CH2Cl2, or other lower chloralkanes, in the presence of organic bases—acceptors of the released HCl at a temperature from −10 °C to 40 °C. In all cases, it is also very important to use completely dry reagents to obtain individual compounds. OCM-1, 2, 5 and 7 were obtained by this method, with yields ≈ 85%–90%; their synthesis is described in detail in the patent [20] and the general scheme of the synthesis is presented below.
whereOKM-1—R = C2H4
OKM-2—R = C2H4OC2H4
OKM-5—R = p-C6H4-C(CH3)-C6H4-p
OKM-7—R = m-C6H4
Polymers of the following oligocarbonate methacrylates were studied in this work:

2.2. Detailed Description of OCM-2 Synthesis
In a 4-necked flask fitted with a stirrer, a thermometer and a dropping funnel, a solution of 0.44 mol of ethylene glycol monomethacrylate, in 25 mL of methylene chloride and 32 mL of pyridine, was placed and cooled to −5 °C. A solution of 0.2 mol of diethylene glycol bischlorformate in 25 mL of methylene chloride was added dropwise with vigorous stirring for 4.5 h. The rate of addition had to be such that the temperature of the reaction mass did not rise above 0 °C. After the addition, the temperature of the reaction mixture was raised to 40 °C and the reaction mixture was held at this temperature for 5 h. The contents of the flask was then cooled to room temperature and was treated with a 15% aqueous HCl solution, the organic layer was washed with water until a neutral reaction, and an absence of chlorine ions, were obtained, then dried over calcined sodium sulfate and filtered, after which the solvent was distilled off at a residual pressure of 1–2 mm Hg and a temperature of 25 °C. The residue after distillation of the solvent was an almost colorless transparent product.
Under similar conditions, the remaining oligocarbonate methacrylates were obtained. In the case of OCM-1, ethylene glycol bischloroformate, 2,2-diphenylolpropane bischloroformate and resorcinol bischloroformate were used in the case of OCM-5 and OCM-7, respectively, instead of diethylene glycol bischloroformate.
OCM-2/1 was synthesized according to the method described in [21].
2.3. Detailed Description of OCM-2/1 Synthesis
In a 4-necked flask fitted with a stirrer, a thermometer and a dropping funnel, a solution of 1 mol of ethylene glycol monomethacrylate in 160 mL methylene chloride, 1 mol of ethylene glycol bischloroformate and 0.5 mol of diethylene glycol was placed and cooled to −10 °C. Then, a solution of 82 mL pyridine in 160 mL of methylene chloride was added, dropwise, at such a rate that the temperature of the reaction mass did not rise above −5 °C. Then, the reaction mass was heated to 42 °C and kept at this temperature with stirring for 5–6 h. After cooling to room temperature, the reaction mixture was treated with 1 L of 3% HCl and then washed with distilled water until neutral. The mixture was dried with sodium sulfate and filtered. An amount of 0.03% of the weight of the synthesized oligomer of hydroquinone was added. Then, the solvent was distilled off at room temperature and under reduced pressure.
The study of the obtained OCM-1, 2, 5 and 7 by GPC (gel permeation chromatography) methods showed that they are practically individual compounds, and that their elemental composition, and main physical-chemical characteristics—density, viscosity and nD20 values—coincide with the published data [20,21]. In the case of OCM-2/1, several oligomergomologs are always formed, which are characterized by a certain molecular mass distribution, which depends on the order of the components’ addition [21].
The purity of the used oligomers was 97%, all reagents were tested by chromatography before use. To determine the MMR (molecular mass distribution) and MW (molecular weight) of oligomers, a liquid gel chromatograph GPH-200 (Waters), with three styrogel columns with porosities of 100, 500 and 100 A THF solvent feed rate = 1 mL/min, temperature = 25 °C), was used.
The polymer films under study were prepared by the photopolymerization of monomers in the presence of added luminophore dyad in methyl chloride (followed by its removal) and photoinitiator Darokur 4265. The photocuring was performed upon irradiation by a DRT-1000 UV lamp (Russia) through a PS 13 filter for 3 min, which provided a depth of curing equal to 92%–98% and the preservation of the absorption spectra of the dyad in the monomer. The concentration of the dyad in most of experiments was 10−4 mol/L (except those for the relative quantum yield measurement, see below); the concentration of the photoinitiator was 1 weight %. The thickness of the resulting polymer films was 800–900 µm.
A Spectrophotometer Carry 60 «Agilent Technologies» was used for steady-state UV-Vis absorption studies. Steady-state UV-Vis fluorescence was measured using spectrofluorimeter Cary Eclipse (Varian) with optical slit width 5 nm. All measurements were carried out at room temperature using holders for the polymer films. The orientation of the films in the holder for fluorescence measurements was 60° relative to the excitation slit and 30° relative to the registration slit. In order to compare the fluorescence efficiency of the dyad in different films, the relative quantum yields were determined by measuring the areas under the emission spectra at the excitation wavelength 350 nm, where the absorption of the polymer matrix was negligible. The absorption at the excitation wavelength was 0.1 for all samples studied in order to determine the relative quantum yields by comparison of the areas under the emission spectra [17,22].
3. Results and Discussion
All compounds are carbonic acid esters and contain carbonate groups (-O-CO-O-). The presence of two end methacrylic groups in each molecule ensures the formation of a spatial three-dimensional net of polymethacrylate chains, connected by transverse oligomeric blocks, during polymerization. That is, the studied polycarbonate methacrylates differ in the nature, length, flexibility, and polarity of their oligomeric bridges. Polymers obtained from OCM-1, OCM-2 and OCM-2/1 are aliphatic polymers, and polymers obtained from OCM-7 and OCM-5 contain aromatic fragments. In addition, the content of simple ether bonds in the structure of polymers affects the physical properties of the polymers and, as this study has shown, it also affects their fluorescent properties.
The relative quantum yields of fluorescence in these matrices are 1.0, 0.5, 0.5, 0.6 and 0.7 for OCM-1, OCM-2, OCM-7, OCM-5 and OCM-2/1, respectively. These values are practically the same in all these matrices and the larger value is obtained only for OCM-1, characterized by the smallest net size, which probably leads to a decrease in the contribution of radiation-less relaxation within it.
A photostability test was carried out for the dyad in the polymer matrix obtained from OCM-2. No changes were obtained in the absorption spectra after photolysis with a halogen lamp of 50 w/m2 intensity through a SS–4 light filter (transmission range 340–470 nm), at a distance of 0.15 cm for 5 h.
Table 1 shows the fluorescent properties of photo-cured oligocarbonate methacrylates containing a luminescent dyad.
Table 1.
The ratio between intensity of dyad fluorescence at 450 nm and 535 nm in oligocarbonate methacrylate polymers at different excitation wavelengths.
As it can be seen from the data given in Table 1, the fluorescent dyad in almost all of the photo-cured samples of oligocarbonate methacrylates studied is characterized by two emission bands, which can be attributed to proton transfer processes in both luminophore fragments—imidazole (ESIPT band 1, λmax = 450 nm)—and those of coumarin (ESIPT band 2, λmax = 535 nm) (Scheme 1).
Scheme 1.
Schematic representation of ESIP processes in the dyad. * In the figure indicates the electronically excited state.
Let us start with a consideration of aliphatic polymers’ properties. Their fluorescence spectra are shown in Figure 1, Figure 2 and Figure 3. It should be noted that all spectra are normalized to a 450 nm band.
Figure 1.
Emission spectra of the dyad in the polymer films obtained by photo-curing of OCM-1, at λex = 330 nm (1), 350 nm (2) and 360 nm (3).
Figure 2.
Emission spectra of dyad in the polymer films obtained by photo curing of OCM-2, at λex = 330 nm (1), 350 nm (2) and 360 nm (3).
Figure 3.
Emission spectra of dyad in the polymer films obtained by photo curing of OCM- 2/1 at λex = 330 nm (1), 350 nm (2) and 360 nm (3).
As can be seen from the data presented in Figure 1, the fluorescence intensity in the aliphatic polymer OCM-1 with the smallest link length depends on the excitation wavelength. The most intense blue band, with a maximum at 450–460 nm under the short wavelength (330–340 nm) excitation, only had an asymmetric long wavelength shoulder, which transformed into a clearly defined green band of 530–550 nm at λex = 350–360 nm.
The increase in the length of the oligomeric bridge from -CH2CH2—in the polymeric films obtained from OCM-1—to CH2CH2-O-CH2CH2 in the polymeric films obtained from OCM-2, leads to a larger globule size and an increase in the flexibility of the OCM-2 [23] film that, in turn, results in more effective ESIPT in the azomethinocoumarin fragment and is accompanied by a change in the luminescence spectrum (Figure 2).
In this case, the fluorescence of the dyad in the OCM-2 polymer film is characterized by the presence of two emission bands with maxima at 450 and 550 nm at all λex from 330 to 440 nm. Here, the fluorescence intensity is noticeably less than in the more rigid OCM-1 polymer film. It should be noted that an increase in the excitation wavelength leads to an increase in the long-wavelength emission.
The use of oligocarbonate methacrylate OCM-2/1 as a matrix for the introduction of the dyad is characterized by an elongation of the oligomeric bridge in the polymer molecule due to an increase in the number of ethylene–ether bonds and carbonate groups. This leads to a change in the fluorescence spectrum of the dyad (Figure 3), which becomes similar to the spectrum in the most rigid polymer, OCM-1 (Figure 1).
It can be seen from the spectrum that the fluorescence of the dyad in the polymer obtained from OCM-2/1 is characterized by a sufficiently intense blue band, with a maximum at 450 nm, and a less intense long-wavelength band, with a maximum at 530 nm. The intensity of the bands depends on the excitation wavelength. In the polymer matrices with the longest flexible oligomeric bridge, OCM-2/1, the imidazole luminescence band predominates again. This is probably due to the intermolecular interaction of long oligomeric blocks in network polymers, leading to the formation of associates capable of tightening the polymer, as described in [24]. From the data obtained for the studied aliphatic polycarbonate methacrylates, it can be seen that OCM-2 is the most suitable for the observation of double fluorescence.
Next, we considered the luminescent properties of the dyad in polymer matrices of OCM containing aromatic fragments in an oligomeric polymer block. Figure 4 shows the luminescence spectra of the dyad in the polymer films of aromatic oligocarbonate methacrylates, OCM-5 and OCM-7. It can be seen that two emissions are observed in both of these matrices, the ratio between the intensities of which depends on the excitation wavelength.
Figure 4.
Emission spectra of the dyad in the polymer films obtained by photo curing of OCM-7 (1,3) and OCM-5 (2,4) at λex = 330 nm (1,2) and 350 nm (3,4).
In the fluorescence spectrum of the dyad in a polymer obtained from OCM-7, characterized by the presence of one aromatic fragment in an oligomeric block, in contrast to the spectra observed in the aliphatic polymer matrices described above in the case of λex = 330 nm (Figure 4, spectrum 1), the emission intensity in both bands is almost the same, and, at λex = 350 nm (Figure 4, spectrum 3), the long-wavelength emission band dominates. In the fluorescence spectrum of the dyad in the polymer matrix OCM-5, the oligomeric block of which is characterized by the presence of two aromatic fragments, there is a completely clear predominance of the long-wavelength emission band. Thus, it can be seen that an increase in the number of aromatic fragments in the polymer chain promotes the ESIPT process in the azomethinocoumarin fragment.
The polymers obtained from OCM-1 and OCM-7 have the shortest oligomeric blocks in the structure of aliphatic and aromatic polycarbonate methacrylates, which causes the most rigid structures in the considered series. Figure 5 shows a comparison of the fluorescence spectra of the dyad in these two matrices.
Figure 5.
Emission spectra of the dyad in the polymer films obtained by photo-curing of aliphatic OCM-1 (1) and aromatic OCM-7 (2) at λex = 330 nm.
To clarify the influence of the polymer matrix nature on the luminescent properties, it is also interesting to compare the fluorescence of the dyad in OCM-5, and the previously studied PhEA (Figure 6)—2,2-bis[4-(acrylyloxy-diethoxy)phenyl]propane, the formula for which is given below:

Figure 6.
Emission spectra of the dyad in the polymer films obtained by photo-curing of OCM-5 (1) and aromatic PhEA (2) at λex = 330 nm.
Figure 6.
Emission spectra of the dyad in the polymer films obtained by photo-curing of OCM-5 (1) and aromatic PhEA (2) at λex = 330 nm.

As can be seen from the PhEA formula, the oligomeric bridges in the polymers PhEA and OCM-5 are identical. The difference lies in the presence of carbonate
groups and methacrylic groups
in OCM-5, and the absence of carbonate groups and the presence of acrylic groups
in PhEA. Consequently, the presence of carbonate groups in the polymer matrix promotes the ESIPT process in the azomethinocoumarin fragment of the dyad.
groups and methacrylic groups
in OCM-5, and the absence of carbonate groups and the presence of acrylic groups
in PhEA. Consequently, the presence of carbonate groups in the polymer matrix promotes the ESIPT process in the azomethinocoumarin fragment of the dyad.The data shown in Figure 5 and Figure 6 indicate the influence of aromatics in combination with a carbonate group in a polymer medium on the manifestation of a long-wavelength luminescence band. The results shown in Figure 7 indicate the influence of the oligomer bridge’s nature in network polymers on the peculiarities of the luminescent properties as manifested in the dyad introduced into the polymer.
Figure 7.
Emission spectra of the dyad in the polymer films obtained by photo curing of OCM-1 (1), OCM-2/1 (2), OCM-2 (3), OCM-7 (4) and OCM-5 (5) at λex = 330 nm.
A comparison of the dyad fluorescent properties in the matrices of OCM-2, characterized by the presence of a ethyleneglicol ether bond, and OKM-5, containing two aromatic fragments (Figure 7), once again indicates the feature we observed earlier—in the first instance, the intensity of the short-wavelength emission band, with a maximum at 450 nm, increases, and the combination of aromatics with a carbonate group leads to the growth of the long-wavelength emission at 550 nm.
4. Conclusions
It has been found that, in all studied polycarbonate methacrylates, two emissions are observed, which are caused by excited state intramolecular proton transfer (ESIPT) in both luminophore fragments—imidazole (450 nm band) and coumarin (535 nm band). It has been shown that the ratio of emission intensities very significantly depends on the nature of the polymer matrix and the excitation light wavelength. It has been found that, in aliphatic polycarbonate methacrylates, the fluorescence intensity of the imidazole fragment increases and the ESIPT efficiency in the azomethinocoumarin fragment (which needs space for the molecule to rotate) decreases with increasing polymer stiffness. It has been found that, in aliphatic polycarbonate methacrylate, with increasing polymer stiffness, the fluorescence intensity of the imidazole fragment increases and the ESIPT efficiency in the azomethinocoumarin fragment decreases. In addition, it has been shown that, in the matrices containing ethyleneglicol ether bonds, the intensity of short-wave emission increases while, in the matrixes containing aromatic fragments in combination with carbonate groups, the intensity of the long-wave fluorescence band increases.
Author Contributions
Conceptualization, A.I.S.; Methodology, A.I.S.; Investigation, I.A.M., V.T.S., A.V.L., G.V.L. and L.S.K.; Writing—review and editing, N.L.Z. and P.P.L.; Visualization, L.S.K. All authors have read and agreed to the published version of the manuscript.
Funding
This work was supported by the Russian Ministry of Education and Science, State Tasks of N.N. Semenov Federal Research Centre for Chemical Physics and the Emanuel Institute of Biochemical Physics.
Institutional Review Board Statement
Not applicable.
Informed Consent Statement
Not applicable.
Data Availability Statement
Not applicable.
Conflicts of Interest
The authors declare no conflict of interest.
References
- Berlin, A.A.; Korolyov, H.V.; Kefeli, T.Y. Acrylic Oligomers and Materials Based on Them; Khimiya: Moscow, Russia, 1983; 231p. (In Russian) [Google Scholar]
- Berlin, A.A.; Sivergin, Y.V.; Kefeli, T.Y.; Marshavin, N.L.; Sokolovskaya, N.B.; Alimpieva, Y.S. Effect of the structure of oligo (carbonate-methacrylates) on the mechanical properties of their polymers. Polym. Sci. 1971, 13, 3006–3016. [Google Scholar] [CrossRef]
- Berlin, A.A.; Kefeli, T.Y.; Sukhareva, L.A. Investigation of the structure and properties of crosslinked polymers based on oligocarbonate methacrylates in film formation. J. Macromol. Sci. A Pure Appl. Chem. 1977, 11, 977. [Google Scholar] [CrossRef]
- Prishcheva, N.D.; Khoromskaya, V.A.; Shiryayeva, G.V.; Kefeli, N.Y.; Berlin, A.A. Radiation hardening of oligoester acrylate and oligocarbonate methacrylate systems. Polym. Sci. 1980, 22, 2536–2541. [Google Scholar]
- Zapadinskii, B.I. The development of Al. An. Berlin’s ideas in the synthesis of polymerizable oligomers. Polym. Sci. D 2007, 49, 222–234. [Google Scholar] [CrossRef]
- Avramenko, V.L.; Podhornaya, L.F.; Karandashov, O.N. Photocurable polymer composite materials with an improved combination of strength and service properties. Funct. Mater. 2020, 27, 587–594. [Google Scholar]
- Florjanczyk, Z.; Rokicki, G.; Parzuchowski, P.G.; Mazure-Budzynska, M.; Debowski, M. Polymer materials based on carbone dioxide: A brief review of studied carried out at the faculty of chemistry, Warsaw university of technology. Polymers 2022, 14, 718. [Google Scholar] [CrossRef] [PubMed]
- Evseev, A.V.; Markov, M.A. Layer-by-layer manufacture of parts from liquid photopolymerisable compositions by XeCl laser radiation. Quantum Electron. 1994, 24, 458–461. [Google Scholar] [CrossRef]
- Rot, A.; Zaks, I.; Wielgosz, Z. Photopolymer coatings for optical discs. Prog. Org. Coat. 1993, 21, 285–294. [Google Scholar] [CrossRef]
- Rocheva, V.V.; Koroleva, A.A.; Savelyev, A.G.; Khaydukov, K.V.; Generalova, A.N.; Nechaev, A.V.; Guller, A.E.; Semchishen, V.A.; Chichkov, B.N.; Khaydukov, E.V. High-resolution 3D photopolymerization assisted by upconversion nanoparticles for rapid prototyping applications. Sci. Rep. 2018, 8, 3663. [Google Scholar] [CrossRef] [PubMed]
- Savelyev, A.G.; Semchishev, V.A.; Nechaev, A.V.; Khaydukov, K.V.; Demina, P.A.; Generalova, A.N.; Khaydukov, E.V. Near-infrared photopolymerization assisted by upconversion nanophosphores for biomedical applications. EPJ Web. Conf. 2018, 190, 04018. [Google Scholar] [CrossRef]
- Zhao, J.; Ji, S.; Chen, Y.; Guo, H.; Yang, P. Excited state intramolecular proton transfer (ESIPT): From principal photophysics to the development of new chromophores and applications in fluorescent molecular probes and luminescent materials. Phys. Chem. Chem. Phys. 2012, 14, 8803–8817. [Google Scholar] [CrossRef] [PubMed]
- Wu, J.; Liu, W.; Ge, J.; Zhang, H.; Wang, P. New sensing mechanisms for design of fluorescent chemosensors emerging in recent years. Chem. Soc. Rev. 2011, 40, 3483–3495. [Google Scholar] [CrossRef] [PubMed]
- Mukherjee, S.; Thilagar, P. Organic white-light emitting materials. Dyes Pigment. 2014, 110, 2–27. [Google Scholar] [CrossRef]
- Park, S.Y.; Won, M.; Kang, C.; Kim, J.S.; Lee, M.H. A coumarin-naphthalimide hybrid as a dual emissive fluorescent probe for hNQO1. Dyes Pigment. 2019, 164, 341–345. [Google Scholar] [CrossRef]
- Kwon, J.E.; Park, S.; Park, S.Y. Realizing molecular pixel system for full-color fluorescence reproduction: RGB-emitting molecular mixture free from energy transfer crosstalk. J. Am. Chem. Soc. 2013, 135, 11239–11246. [Google Scholar] [CrossRef] [PubMed]
- Levin, P.P.; Liubimov, A.V.; Shashkov, A.S.; Mardaleishvili, I.R.; Venidiktova, O.V.; Shienok, A.I.; Koltsova, L.S.; Astafiev, A.A.; Barachevsky, V.A.; Zaichenko, N.L. Multiple fluorescence of tetraarylimidazole and azomethinocoumarin dyad with dual excited-state intramolecular proton transfer. Dyes Pigment. 2020, 183, 108716. [Google Scholar] [CrossRef]
- Park, S.; Kwon, J.E.; Kim, S.H.; Seo, J.; Chung, K.; Jang, D.J.; Medina, B.W.; Giecher, J.; Park, S.Y. A white-light-emitting molecule: Frustrated energy transfer between constituent emitting centers. J. Am. Chem. Soc. 2009, 131, 14043–14049. [Google Scholar] [CrossRef] [PubMed]
- Matveeva, I.A.; Shashkova, V.T.; Liubimov, A.V.; Liubimova, G.V.; Koltsova, L.S.; Shienok, A.I.; Zaichenko, N.L. Peculiarities of the Manifestation of Multiple Luminescence of Organic Compounds in Photocured Acrylic Polymers. Rus. J. Phys. Chem. B 2019, 13, 803–811. [Google Scholar] [CrossRef]
- Berlin, A.A.; Kefeli, N.Y.; Marshavina, N.L.; Strongin, G.M.; Rara-Giaur, N.V.; Kolomazov, B.I.; Efimov, A.V.; Bodrova, A.N.; Altdhuller, J.M. Oligocarbonate—Acrylates and Process Producing the Same. U.S. Patent 3716571A, 2 July 1969. [Google Scholar]
- Radugina, A.A.; Shashkova, V.N.; Kuzaev, A.I.; Brikenshtein, A.A.; Kefeli, T.Y. The synthesis and investigation of the oligomer homologous composition of oligocarbonate methacrylates. Polym. Sci. 1984, 26, 1897–1902. [Google Scholar] [CrossRef]
- Mardaleishvili, I.R.; Lyubimova, G.V.; Lyubimov, A.V.; Kol’tsova, L.S.; Shienok, A.I.; Levin, P.P.; Tatikolov, A.S.; Zaichenko, N.L. Switchable Luminescence of New Compounds Based on Imidazoles and Azomethines. High Energy Chem. 2020, 54, 15–23. [Google Scholar] [CrossRef]
- Sivergin, Y.M.; Pernikis, R.Y.; Kireeva, S.M. Polycarbonate Methacrylates; Zinatne: Riga, Russia, 1988; 213p. (In Russian) [Google Scholar]
- Zubov, P.I.; Sukhareva, L.A. Structure and Properties of Polymer Coatings; Khimiya: Moscow, Russia, 1982; 256p. (In Russian) [Google Scholar]
Disclaimer/Publisher’s Note: The statements, opinions and data contained in all publications are solely those of the individual author(s) and contributor(s) and not of MDPI and/or the editor(s). MDPI and/or the editor(s) disclaim responsibility for any injury to people or property resulting from any ideas, methods, instructions or products referred to in the content. |
© 2023 by the authors. Licensee MDPI, Basel, Switzerland. This article is an open access article distributed under the terms and conditions of the Creative Commons Attribution (CC BY) license (https://creativecommons.org/licenses/by/4.0/).






