Molecules from Sargassum algae as Green Inhibitor for C38 in HCl Medium: Extraction, Characterization and Electrochemical Study
Abstract
:1. Introduction
2. Materials and Methods
2.1. Algae Material and Extraction
2.2. Chemical Analysis
2.3. Electrochemical Measurements
3. Results and Discussion
3.1. Extraction Results and Characterization of Crude Extracts of Sargassum fluitans III
3.2. Linear Polarization
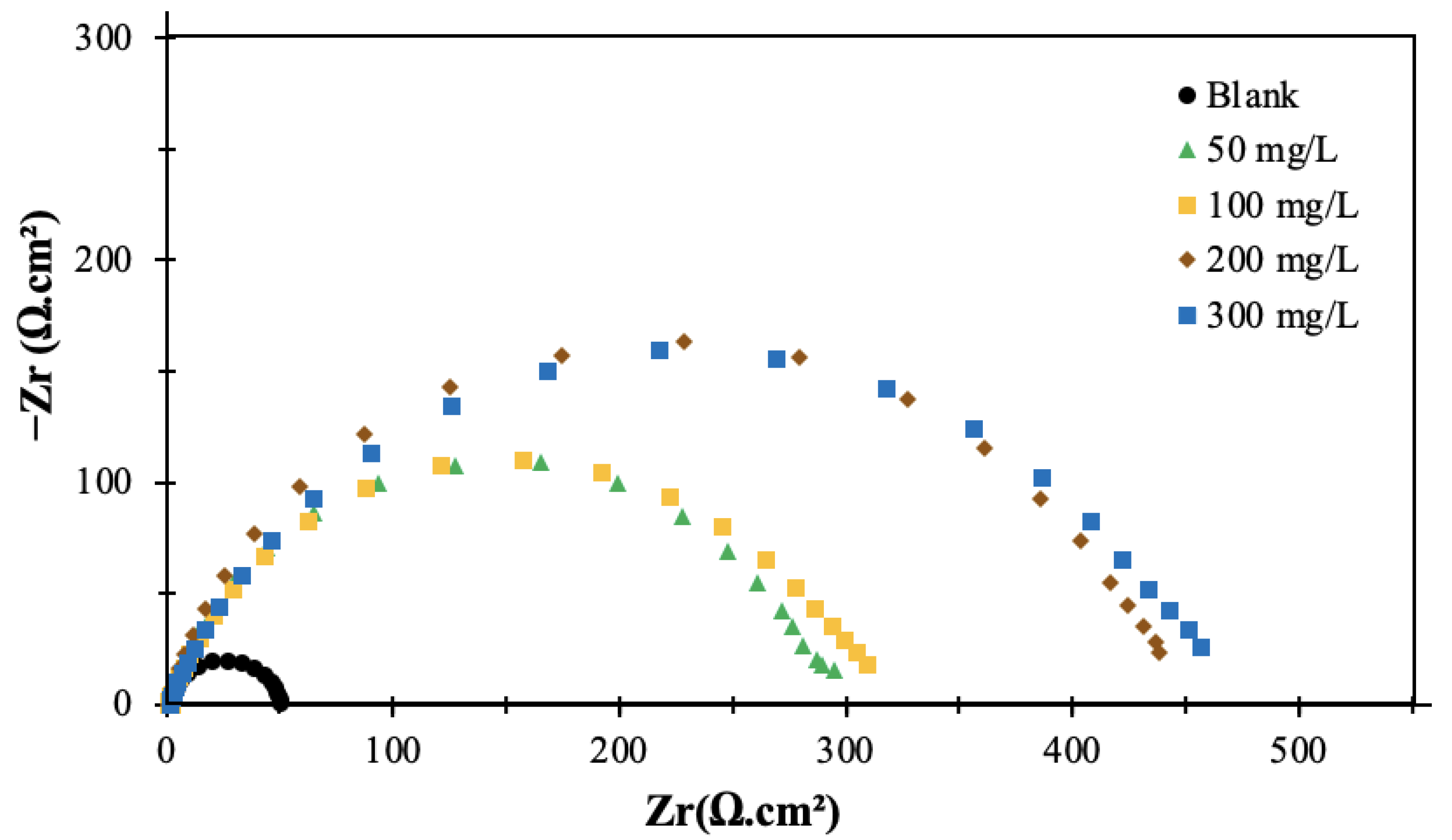
3.3. Electrochemical Impedance Spectroscopy
3.4. Constituents Responsibles for Inhibition
3.5. Adsorption Mechanism
4. Conclusions
- (1)
- The Sargassum fluitans III extract has been shown to be a good corrosion inhibitor for C38 steel in a 1 M HCl solution.
- (2)
- The study of homology rates has shown that the ground state only induces a higher yield of the chemical families present within the species. Nevertheless, the yield being a determining factor concerning the electrochemical efficiency of the extract, the ground state of the algae would therefore have one of the characteristics sought.
- (3)
- The study of polarization has shown that it is a mixed-type inhibitor extract. The study of impedance showed a single constant corresponding to the charge transfer at the electrolyte/metal interface.
- (4)
- The adsorption behavior of the algae extract studied is based on the theory of the Langmuir adsorption isotherm.
- (5)
- Phytochemical tests have revealed the presence of several chemical families such as saponins, steroids, flavonoids and alkaloids that are very effective in corrosion. These same chemical families showed an efficacy exceeding 88% of the total extract of Sargassum fluitans III. These results therefore confirm the presence and efficacy of molecules of interest in the algae of the genus Sargassum.
Supplementary Materials
Author Contributions
Funding
Data Availability Statement
Conflicts of Interest
References
- Bowman, E.; Koch, G.; Varney, J.; Thompson, N.; Moghissi, O.; Gould, M.; Payer, J. International Measures of Prevention, Application, and Economics of Corrosion Technologies Study; NACE International: Houston, TX, USA, 2016. [Google Scholar]
- León, L.D.L.; Rodríguez, M.A.V.; Cruz, V.E.R.; Calderón, F.A.; García, S.A.P. Corrosion of carbon steel in presence of hydrocarbon. Int. J. Electrochem. Sci. 2011, 6, 3497–3507. [Google Scholar] [CrossRef]
- Bentur, A.; Diamond, S.; Berke, N.S. Steel Corrosion in Concrete; E & FN Spoon: London, UK, 1997. [Google Scholar]
- Page, C.L.; Bamforth, P.B.; Figg, J.W. Corrosion of Reinforcement in Concrete; Royal Society of Chemist Construction: Cambridge, UK, 1996. [Google Scholar]
- Shang, Z.; Zhu, J. Overview on plant extracts as green corrosion inhibitors in the oil and gas fields. J. Mater. Res. Technol. 2021, 15, 5078–5094. [Google Scholar] [CrossRef]
- Diab, A.; Abd El-Haleem, S.M. Corrosion inhibition of copper in acidic solution by using a natural product as henna extract (Lawsonia inermis L.). Egypt. J. Chem. 2022, 65, 103–111. [Google Scholar]
- Zheng, Z.; Hu, J.; Eliaz, N.; Zhou, L.; Yuan, X.; Zhong, X. Mercaptopropionic acid-modified oleic imidazoline as a highly efficient corrosion inhibitor for carbon steel in CO2-saturated formation water. Corros. Sci. 2022, 194, 109930. [Google Scholar] [CrossRef]
- Al Shibli, F.; Bose, S.; Ponnusamy, S.; Natarajan, R.; Manivasagan, R.; Vo, D.-V. Green technology for sustainable surface protection of steel from corrosion: A review. Environ. Chem. Lett. 2022, 20, 929–947. [Google Scholar] [CrossRef]
- Azzaoui, K.; Mejdoubi, E.; Jodeh, S.; Lamhamdi, A.; Rodriguez-Castellón, E.; Algarra, M.; Lgaz, H. Eco friendly green inhibitor Gum Arabic (GA) for the corrosion control of mild steel in HCl medium. Corros. Sci. 2017, 129, 70–81. [Google Scholar] [CrossRef]
- Banerjee, S.; Srivastava, V.; Singh, M.M. Chemically modified natural polysaccharide as green corrosion inhibitor for mild steel in acidic medium. Corros. Sci. 2012, 59, 35–41. [Google Scholar] [CrossRef]
- Asipita, S.A.; Ismail, M.; Abd Majid, M.Z.; Majid, Z.A.; Abdullah, C.; Mirza, J. Green Bambusa Arundinacea leaves extract as a sustainable corrosion inhibitor in steel reinforced concrete. J. Clean. Prod. 2014, 67, 139–146. [Google Scholar] [CrossRef]
- Faustin, M.; Lebrini, M.; Robert, F.; Roos, C. Corrosion studies of C38 steel by alkaloids extract of a tropical plant type. Int. J. Electrochem. Sci. 2011, 9, 4095–4113. [Google Scholar] [CrossRef]
- Lebrini, M.; Suedile, F.; Roos, C. Corrosion inhibitory action of ethanol extract from Bagassa guianensis on the corrosion of zinc in ASTM medium. J. Mater. Environ. Sci. 2018, 9, 414–423. [Google Scholar]
- Lebrini, M.; Robert, F.; Roos, C. Inhibition Effect of Alkaloids Extract from Annona Squamosa Plant on the Corrosion of C38 Steel in Normal Hydrochloric Acid Medium. Int. J. Electrochem. Sci. 2010, 5, 1698–1712. [Google Scholar] [CrossRef]
- Pustaj, G.; Kapor, F.; Veinović, Ž. Olive Leaf Extract as a Corrosion Inhibitor of Carbon Steel in CO2-Saturated Chloride–Carbonate Solution. Int. J. Electrochem. Sci. 2016, 11, 7811–7829. [Google Scholar] [CrossRef]
- Cáceres, L.; Frez, Y.; Galleguillos, F.; Soliz, A.; Gómez-Silva, B.; Borquez, J. Aqueous Dried Extract of Skytanthus acutus Meyen as Corrosion Inhibitor of Carbon Steel in Neutral Chloride Solutions. Metals 2021, 11, 1992. [Google Scholar] [CrossRef]
- Buchweishaija, J. Phytochemicals as green corrosion inhibitors in various corrosive media: A review. Tanz. J. Sci. 2009, 35, 77–92. [Google Scholar]
- Le Lann, K.; Jégou, C.; Stiger-Pouvreau, V. Effect of different conditioning treatments on total phenolic content and antioxidant activities in two Sargassacean species: Comparison of the frondose Sargassum muticum (Yendo) Fensholt and the cylindrical Bifurcaria bifurcata R. Ross. Phycol. Res. 2008, 56, 238–245. [Google Scholar] [CrossRef]
- Said Ahmed, M.; Lebrini, M.; Lescop, B.; Pellé, J.; Rioual, S.; Amintas, O.; Roos, C. Corrosion of Copper in a Tropical Marine Atmosphere Rich in H2S Resulting from the Decomposition of Sargassum Algae. Metals 2023, 13, 982. [Google Scholar] [CrossRef]
- Hervé, V.; Lambourdière, J.; René-Trouillefou, M.; Alain Devault, D.; Jean Lopez, P. Sargassum Differentially Shapes the Microbiota Composition and Diversity at Coastal Tide Sites and Inland Storage Sites on Caribbean Islands. Front. Microbiol. 2021, 12, 701155. [Google Scholar] [CrossRef]
- Florenne, T.; Guerber, F.; Colas-Belcour, F. Le Phénomène D’échouage des Sargasses Dans les Antilles et en Guyane; Institut de Recherche Pour le Développement: Paris, France, 2016. [Google Scholar]
- Vazquez-Delfin, E.F.; Velazquez, V.A.; Ramirez, D.R. SargaZoom; Cinvestav Mérida: Mérida, Mexico, 2020. [Google Scholar]
- Botosoa, J.A. Purification et Caractérisation chimique et Biologique des Principes Actifs des Extraits de Feuilles de Pechia madagascariensis (Apocynaceae), in Biochimie Fondamentale et Appliquée; Université d’Antananarivo: Antananarivo, Madagascar, 2010. [Google Scholar]
- Bruneton, J. Pharmacognosie, Phytochimie, Plantes Médicinales; TECHNIQUE & DOC: Paris, France, 1999. [Google Scholar]
- Wagner, H.; Bladt, S.; Rickl, V. Plant Drug Analysis; Springer: Berlin/Heidelberg, Germany, 2009. [Google Scholar]
- Heredia, F.; Francia-Aricha, E.; Rivas-Gonzalo, J.; Vicario, I.; Santos-Buelga, C. Chromatic characterization of anthocyanins from red grapes—I. pH effect. Food Chem. 1998, 63, 491–498. [Google Scholar] [CrossRef]
- Zheng, X.; Zhang, X.; Sheng, X.; Yuan, Z.; Qiao Wang, Q.; Zhang, L. Simultaneous characterization and quantitation of 11 coumarins in Radix Angelicae Dahuricae by high performance liquid chromatography with electrospray tandem mass spectrometry. J. Pharm. Biomed. 2010, 51, 599–605. [Google Scholar] [CrossRef]
- Matsumoto, Y.; Sugiyama, K.; Sato, E.I. Photocathodic Hydrogen Evolution Reactions at p-Type CaFe2O4 Electrodes with Fermi Level Pinning. J. Electrochem. Soc. 1998, 135, 98. [Google Scholar] [CrossRef]
- Martinez, S.; Metikos-Hukovic, M. A nonlinear kinetic model introduced for the corrosion inhibitive properties of some organic inhibitors. J. Appl. Electrochem. 2003, 33, 1137. [Google Scholar] [CrossRef]
- Wu, X.; Ma, H.; Chen, S.; Xu, Z.; Sui, A. General Equivalent Circuits for Faradaic Electrode Processes under Electrochemical Reaction Control. J. Electrochem. Soc. 1999, 146, 1847. [Google Scholar] [CrossRef]
- Ma, H.; Cheng, X.; Li, G.; Chen, S.; Quan, Z.; Zhao, S.; Niu, L. The influence of hydrogen sulfide on corrosion of iron under different conditions. Corros. Sci. 2000, 42, 1669–1683. [Google Scholar] [CrossRef]
- Grenand, P.; Moretti, C.; Jacquemin, H. Pharmacopées Traditionnelles en Guyanne; IRD Éditions in Référence; IRD: Paris, France, 2004; p. 816. [Google Scholar]
- Xu, Q.; Shen, Y.; Wang, H.; Zhang, N.; Xu, S.; Zhang, L. Application of response surface methodology to optimise extraction of flavonoids from fructus sophorae. Food Chem. 2012, 138, 2122–2129. [Google Scholar] [CrossRef]
- Regasini, L.; Magela Vieira-Jasnior, G.; Fernandes, D.; Da Silva Bolzani, V.; Cavalheiro, A.; Siqueira Silva, D. Identification of triterpenes and sterols from Pterogyne Nitens (Fabaceae-Caesalpinioideae) using high-resolution gas chromatography. J. Chil. Chem. Soc. 2009, 54, 218–221. [Google Scholar] [CrossRef]
- Alonso-Diaz, M.; Torres-Acosta, J.; Sandoval-Castro, C.; Hoste, H. Comparing the sensitivity of two in vitro assays to evaluate the anthelmintic activity of tropical tannin rich plant extracts against Haemonchus contortus. Vet. Parasitol. 2011, 181, 360–364. [Google Scholar] [CrossRef]
- Hackerman, N.; Justice, D.D.; McCafferty, E. Homopiperazine as a corrosion inhibitor. Corrosion 1975, 31, 240–242. [Google Scholar] [CrossRef]










| H2O:EtOH | Ground Algae | Unground Algae |
|---|---|---|
| (30:70) | 10.20% | 5.40% |
| (50:50) | 15.80% | 8.80% |
| (70:30) | 17.08% | 9.40% |
| Concentration | Ecorr vs. SCE (V) | Rp (Ω·cm2) | EI (%) | |
|---|---|---|---|---|
| HCl 1 M | Blank | −559 | 76 | ─ |
| Sargassum fluitans III | 50 mg/L | −497 | 291 | 74 |
| 100 mg/L | −504 | 303 | 75 | |
| 200 mg/L | −468 | 456 | 83 | |
| 300 mg/L | −497 | 440 | 83 |
| Concentration | R1 (Ω·cm2) | 10−4 Q (Ω−1·cm−2·sα) | α | R2 (Ω·cm2) | IE (%) | |
|---|---|---|---|---|---|---|
| HCl 1 M | Blank | - | 14.50 | 0.740 | 49 | - |
| Sargassum fluitans III | 50 mg/L | 1 | 1.85 | 0.809 | 288 | 83 |
| 100 mg/L | 1 | 1.74 | 0.819 | 303 | 84 | |
| 200 mg/L | 1 | 1.48 | 0.849 | 430 | 89 | |
| 300 mg/L | 1 | 1.37 | 0.853 | 453 | 89 |
| Relative Percentage % | |
|---|---|
| Alkaloids | 5.71 |
| Flavonoids | 19.8 |
| Triterpenes | 18.28 |
| Saponins | 22.1 |
| Tannins | 7.99 |
| Coumarins | 5.85 |
| Quinones | 5.88 |
| Anthocyanins | 7.39 |
Disclaimer/Publisher’s Note: The statements, opinions and data contained in all publications are solely those of the individual author(s) and contributor(s) and not of MDPI and/or the editor(s). MDPI and/or the editor(s) disclaim responsibility for any injury to people or property resulting from any ideas, methods, instructions or products referred to in the content. |
© 2023 by the authors. Licensee MDPI, Basel, Switzerland. This article is an open access article distributed under the terms and conditions of the Creative Commons Attribution (CC BY) license (https://creativecommons.org/licenses/by/4.0/).
Share and Cite
Lambert, P.; Said-Ahmed, M.; Jama, C.; Lebrini, M. Molecules from Sargassum algae as Green Inhibitor for C38 in HCl Medium: Extraction, Characterization and Electrochemical Study. Coatings 2023, 13, 2076. https://doi.org/10.3390/coatings13122076
Lambert P, Said-Ahmed M, Jama C, Lebrini M. Molecules from Sargassum algae as Green Inhibitor for C38 in HCl Medium: Extraction, Characterization and Electrochemical Study. Coatings. 2023; 13(12):2076. https://doi.org/10.3390/coatings13122076
Chicago/Turabian StyleLambert, Prescilla, Mahado Said-Ahmed, Charafeddine Jama, and Mounim Lebrini. 2023. "Molecules from Sargassum algae as Green Inhibitor for C38 in HCl Medium: Extraction, Characterization and Electrochemical Study" Coatings 13, no. 12: 2076. https://doi.org/10.3390/coatings13122076
APA StyleLambert, P., Said-Ahmed, M., Jama, C., & Lebrini, M. (2023). Molecules from Sargassum algae as Green Inhibitor for C38 in HCl Medium: Extraction, Characterization and Electrochemical Study. Coatings, 13(12), 2076. https://doi.org/10.3390/coatings13122076

