Next Article in Journal
Nanohydroxyapatite Loaded with 5-Fluorouracil and Calendula officinalis L. Plant Extract Rich in Myo-Inositols for Treatment of Ovarian Cancer Cells
Previous Article in Journal
Parylene-AlOx Stacks for Improved 3D Encapsulation Solutions
Previous Article in Special Issue
Thermocapillarity in Cross Hybrid Nanofilm Flow Past an Unsteady Stretching Sheet
 
 
Font Type:
Arial Georgia Verdana
Font Size:
Aa Aa Aa
Line Spacing:
Column Width:
Background:
Article

Coating Characteristics and Dynamics of Sponge Roller Coatings with Different Viscosities and Linear Speeds for Different Diameters of Rollers

1
School of Mechanical Engineering, Nantong University, Nantong 226000, China
2
Nantong Hengkang CNC Machinery Co., Nantong 226000, China
*
Authors to whom correspondence should be addressed.
Coatings 2023, 13(11), 1943; https://doi.org/10.3390/coatings13111943
Submission received: 19 September 2023 / Revised: 30 October 2023 / Accepted: 13 November 2023 / Published: 14 November 2023
(This article belongs to the Special Issue Advances in the Film Flow Transport Phenomena)

Abstract

Coating technology, as a common coating method, is widely used in many industrial fields, among which the mattress industry utilizes it to bond sponges to produce foam mattresses. The thickness of the coating on the sponge is crucial to the quality and performance of the mattress. Hence, this study took the CNCHK-10 high-performance intelligent sponge roller coating as a model; simulated the roller coating process under different viscosities and linear speeds using fluid simulation; analyzed the effects of different viscosities of the coating liquid and the linear speeds of the rollers on the thickness of the coating; and derived the relationships between the viscosity of the coating liquid and the linear speed of the rollers and the thickness of the coating. The relationship between the viscosity of the coating liquid and the linear speed of the roller and coating thickness was obtained. The results show that in the viscosity range of the glue, the viscosity is 1.5 Pa·s when the coating thickness is the smallest, and, at this time, the amount of glue is about 74.1927 g/m2; in the adjustment range of the roller linear speed, the linear speed is 20 m/min when the coating thickness is the smallest, and, at this time, the amount of glue is about 74.1931 g/m2. The results of the study can be used for determining the coating process parameters for a reasonable selection and control to provide a theoretical basis.

1. Introduction

In recent years, the economy has experienced significant growth, leading to the fulfillment of basic needs in daily production and life. So, output is no longer the only criterion. Factors such as a high quality and aesthetic appeal are significant considerations that influence individuals’ decision-making process. The sponge mattress industry is also a relevant case. Meeting the diverse requirements of a mattress poses a challenge when using a single sponge material. Consequently, mattress companies have shifted their focus toward researching various types of sponges for overlay mattresses. Laminating involves the application of a layer of sponge that has been coated with adhesive, followed by the placement of another layer of sponge on top of the adhesive-coated sponge. Subsequently, pressure is applied to the two layers in order to achieve a bonded connection. Roller coating exhibits superior applicability in flat coating applications and offers notable benefits in terms of enhanced production efficiency and coating quality when compared to dip and squeegee coating methods. Foam mattresses are composed of various types of foams, and additional effects can be achieved through the process of laminating different foams together. One possible method for assessing breathability involves the lamination of a latex foam with a vertically oriented pore structure on the uppermost layer. The sponge-rolling machine holds significant importance as a production tool for sponge mattresses. By employing two rollers with varying diameters that rotate in relation to each other, the machine ensures an even distribution of an adhesive onto the sponge material. Subsequently, the rolling machine facilitates the bonding of multiple sponges, resulting in the creation of a versatile sponge mattress with diverse functionalities. The roll-coating process involves the use of roller drums as carriers for the application of coating materials. The process involves the formation of a liquid film with a specific thickness on the roller drum’s surface. Subsequently, as the roller drum rotates, the liquid film makes contact with the substrate, resulting in the application of the coating material onto the substrate’s surface [1]. Roll coating is a viable method for the application of coatings onto flat substrates, and it is commonly utilized in the process of covering color-coated panels, plywood, fabrics, and paper. The measurement of coating thickness is a critical parameter in evaluating the quality of coatings during the roll coating process. Nevertheless, in the realm of practical production, the determination of the optimal coating thickness can solely be accomplished through the accumulation of operator expertise and the implementation of ongoing experimentation. This process often results in significant material wastage and suboptimal productivity. Hence, it is imperative to expeditiously and precisely ascertain the thickness of the coating.
Many scholars have carried out corresponding research. Greener et al. [2] utilized the theory of lubrication to derive an equation that relates coating thickness to roll-coating parameters. Savage et al. [3,4] built upon the work of Greener et al. [2] in their investigation of the separation model at the gap between two rolls. They employed the Reynolds equation, which is derived from the theory of lubrication, as the foundation for their model. Through a comparative analysis, they theoretically confirmed the validity and rationality of the proposed model. The theoretical demonstration of the model’s feasibility and rationality was achieved through a comparative analysis. Pitts et al. [5] and others adopted the actual production scenario as the benchmark, taking into account the roller deformation caused by extrusion. They enhanced the roller-coating model to achieve more precise outcomes. The aforementioned scholars have established a robust theoretical framework for the study of roller coating. In recent years, Shahzad et al. [6] considered the slip condition on the roller surface and mathematically modeled it by conserving momentum, mass, and energy. The closed-form solutions for the gradients of velocity, temperature, and pressure were derived. Ali et al. [7] formulated a mathematical model and conducted a theoretical analysis to investigate the process of roll-coating a non-Newtonian polymer film between two counter-rotating rollers. Analytical solutions for velocity, flow rate, and pressure gradients were obtained through the utilization of the perturbation technique. Hanif et al. [8] investigated the incompressible and isothermal flow of a Satby fluid during forward roll coating and obtained perturbation results for velocity, pressure gradient, flow rate, and shear stress.
Kapur et al. [9] investigated the factors affecting the coating quality using computerized CFD methods. The researchers identified several variables that influence the quality of the coating, such as the speed of the roller, the ratio of speeds between the two rollers, the spacing between the rollers, and the viscosity of the liquid. Chien et al. [10,11] examined the various factors influencing the coating thickness and determined that the primary determinant was the speed at which the roller operated. Zheng et al. [12] investigated the flow stability of reverse roller coating for coating films on different material substrates. Benkreira et al. [13,14] conducted experiments to examine the flow characteristics of Newtonian fluids through co-rotating and reverse-rotating rollers. They explored various roller sizes and speed ratios. The researchers discovered that when fluids with viscosities ranging from 150 to 100 mPa s were applied to rubber rollers with a roller gap of −5 μm, the maximum achievable speed was less than 10 m/min, even when the rollers were operated at speeds of up to 10 m/min. A consistent film thickness of less than 200 μm was achieved when the speeds were set at 10 m/min. For the film transformation during roll coating, Benkreira et al. [15] identified three distinct flow stability defects that arise during the roll coating process in film transformation. These defects manifest at varying speed ratios and capillary numbers and include fine flow, air entrainment resulting from dynamic wetting failure, and cascading. Ikin et al. [16] experimentally investigated the role of gas viscosity in roll coating on the minimum coating thickness. The study conducted by Sasaki et al. [17] aimed to examine the impact of the velocity-to-liquid viscosity ratio on the uniformity of two coatings between two rolls. The phenomenon of the reverse coating of magnetized non-Newtonian fluids was examined by Aich et al. [18] using the lubrication approximation theory. The study involved the analysis and simulation of pseudoplastic materials subjected to an applied magnetic force. Abbas et al. [19] employed numerical methods to calculate various significant engineering parameters in the context of the forward roll coating of micropolar fluids. These parameters included pressure, roll separation force, separation point, flow rate, and power input. In addition, the researchers successfully acquired the values for velocity, pressure gradient, temperature distribution, and a closed-form solution pertaining to micro-rotation.
Many scholars have also utilized deep learning (DL), artificial intelligence (AI), and artificial neural network (ANN) algorithms to study related engineering problems. Zhao et al. [20] introduced the quotient space theory in rough set theory in order to solve the coarse-grained and multi-grained computation problems and the granularity transformation problems in information systems. Chen et al. [21] proposed a matrix-based approximation set method for NMG-DTRS models based on the conceptual matrix representation. Jia et al. [22] performed a multi-parameter calibration of high-temperature strain gauges, obtained the sensitivity coefficients, thermal outputs, zero-point drifts, and creep characteristic curves as a function of temperature, and they established a compensation model for the accuracy of strain measurements. Du et al. [23] proposed a generalized time series prediction framework called Deep Nonlinear State Space Model (DNLSSM) for predicting probability distributions based on potentially unknown processes estimated in historical time series data. Hu et al. [24] developed a time series similarity degree for coherent modes in all consecutive columns as well as a validation of the proposed algorithm and the evaluation function of the corresponding biclusters to study the coherent patterns in all consecutive columns in the gene microarray data matrix. Zhang et al. [25] investigated how to create realistic traffic data for a traffic simulator and implemented a dynamic routing algorithm in VIPLE. Several scholars have built corresponding engineering models and used algorithms such as deep learning (DL) to obtain data from the models and build predictive models. This is an important guidance for establishing the roller-coating prediction model.
In brief, the existing body of research pertaining to roll coating predominantly centers around vertical, staggered, and tensioned roll configurations. There is a limited body of research available pertaining to horizontal different diameter rolls in the context of roll coating. However, the utilization of flat-diameter rolls for various applications, such as wood panel coating and sponge coating, remains prevalent. Therefore, this study adopted the CNCHK-10 high-performance intelligent sponge roller coating as a physical model. The roller diameters are 138 mm and 271 mm, as depicted in Figure 1 and Figure 2, respectively. The objective of this study is to investigate the impact of a roller’s linear speed and liquid viscosity on the coating thickness in roller-coating processes with varying roller diameters. Specifically, we aim to determine the effects of linear speeds ranging from 14 m/min to 20 m/min and liquid viscosities ranging from 0.8 Pa·s to 1.5 Pa·s on the resulting coating thickness under real-world working conditions. This methodology facilitates the operator in swiftly and precisely ascertaining the thickness of the coating, thereby offering theoretical direction and a scientific foundation for the development of an automated control system for roll coating.

2. Computational Modeling

2.1. Physical Model

This paper presents a physical model of a high-performance intelligent sponge rolling machine for roller coating. The model consists of two parallel stainless-steel rollers with different diameters. Baffles are placed at both ends of the rollers, as depicted in Figure 3. The two rollers exhibit rotational motion with respect to each other at a constant velocity, resulting in the formation of a V-shaped void at the center. The roller-coating process is essential for achieving uniform liquid flow. The liquid is influenced by surface adhesion and gravity as it interacts with the rotating rollers and flows out through them during the film extrusion process. This results in the formation of a coating with a specific thickness. During the rotation, the coated objects come into contact with the rollers, achieving the ideal coating effect under the action of the extrusion force, as depicted in Figure 4.
Given that the primary focus of this paper pertains to the impact of various factors on coating thickness, it is unnecessary to account for axial liquid flow, thereby enabling the adoption of a simplified two-dimensional model. In the proposed model, both rollers exhibit identical linear speeds. A V-shaped liquid pool is formed between the rollers. The coated material moves in the same direction as the larger roller, with its size corresponding to the linear speed of the roller. In order to facilitate the theoretical analysis, the following assumptions are made:
  • The fluids are incompressible and homogeneous, and the physical parameters of the fluids are constant;
  • There is no slippage in wall speed;
  • Thermodynamic issues such as heat transfer and phase changes are not considered;
  • After roller coating, the large roller has no residual liquid, i.e., the liquid film transfer rate is 1.
Based on the above assumptions, the coating thickness refers to the magnitude of the liquid film thickness, specifically at the lowermost extremity of the large roller.

2.2. Mathematical Models

This study employs the computational fluid dynamics software ANSYS FLUENT 2020R2 to conduct numerical simulations of horizontal rolls with varying diameters. The objective is to investigate the impact of different linear speeds, ranging from 14 m/min to 20 m/min, and liquid viscosities, ranging from 0.8 Pa·s to 1.5 Pa·s, on the coating thickness under real working conditions. The VOF model is employed in this paper to address the multiphase flow problem. The control equations encompass the conservation equations for mass and momentum.
The flow state of the liquid has two states: laminar and turbulent [26]. The squeezing and separating of the two rollers in this model will intensify the disturbance of the fluid, so the RNG k-ε turbulence model is selected according to the turbulent flow state. The fluid’s physical-property parameters are shown in Table 1.

2.2.1. Mass Conservation Equation

In order for a flow problem to be deemed valid, it is imperative that it adheres to the principle of conservation. The legal principle can be formulated as follows: the rate of mass accumulation in a fluid microcosm is equivalent to the net mass inflow into the microcosm within the corresponding time period. Adherence to this legislation results in the formulation of the principle of mass conservation.
ρ t + u ρ u x + v ρ v y + w ρ w z = 0
In the formula: t is time, s; x, y, and z are the coordinate directions; u, v, and w are the speed in the x, y, and z directions, respectively, m/s; ρ is density, kg/m3.
The primary objective of this study is to investigate the phenomenon of liquid-film flow on the horizontal surface of rollers with varying diameters. In the absence of thermodynamic issues such as heat transfer, for an incompressible and homogeneous fluid with constant density, there is
u x + v y + w z = 0

2.2.2. Conservation of Momentum Equation

The principle of momentum conservation is an additional fundamental law that fluids are expected to adhere to universally. The conservation of momentum equation states that the rate of change of momentum in a fluid system is equivalent to the sum of the external forces exerted on it.
ρ d u d t = ρ F b x + p x x x + p y x y + p z x z ρ d v d t = ρ F b y + p x y x + p y y y + p z y z ρ d w d t = ρ F b z + p x z x + p y z y + p z z z
In the formula: F b x , F b y , and F b z are the components of the mass force per unit mass of fluid in the three directions, respectively; p x x , p y z , p y z , etc. are the components of the internal stress tensor of the fluid.
For a homogeneous fluid that is incompressible and has a constant density and viscosity, there is
ρ d v d t = ρ F g r a d p + μ 2 v

2.2.3. Equations Governing Turbulence

The RNG k-ε model is an improved k-ε model based on the standard k-ε model that takes into account a low Reynolds number and near-wall flow. The corresponding equations for turbulent kinetic energy k and dissipation rate ε are shown below:
ρ k t + ρ k u i x i = x j ( α k μ e f f k x j ) + G k ρ ε
t ( ρ ε ) + x i ( ρ ε u i ) = x j ( α k u e f f ε x j ) + C 1 ε ε k G k C 2 ε * ρ ε 2 k
where C 2 ε * = C 2 ε + C μ η 3 ( 1 η / η 0 ) 1 + β η 3 , η = ( 2 S i j S i j ) 1 / 2 k ε , and S i j = 1 2 ( u i x j + u j x i ) .
G k denotes the turbulent kinetic energy due to the mean velocity gradient. α k and α ε are the turbulent kinetic energy k and the reciprocal of the effective turbulent Prandtl number of the dissipation rate ε , typically 1.39. C 1 ε , C 2 ε , C μ , η 0 , and β are constants with values of 1.42, 1.68, 0.0845, 4.377, and 0.012. S i j is the increasing term of the RNG k-ε in ε, reacting to the mainstream time-averaged strain rate.

2.2.4. Continuous Surface Tension Model

The continuous surface tension (CSF) model is a computational model employed for the analysis of the impact of surface tension on the flow patterns observed in fluids. The consideration of surface tension in fluids is imperative when investigating specific phenomena, such as the flow of droplets and liquid films, where surface tension plays a significant role. The CSF model enhances the stability and computational accuracy of the model by incorporating a continuous volumetric force along the liquid interface, thereby replacing the surface force. The model has the capacity to more precisely account for the influence of surface tension at the interface of the fluid, thereby enhancing its ability to simulate the dynamics of actual fluid systems.

2.3. Mesh Division and Boundary Conditions

The present study examines the dimensions of the rolls utilized, wherein the large roll possesses a diameter measuring 271 mm, the small roll has a diameter measuring 138 mm, and the gap between the two rolls is maintained at a distance of 0.1 mm. The depicted area illustrates the transverse profile of the roll-coating process, measuring 426 mm in length and 284 mm in width. The flow domain is established and discretized using the ANSYS 2020R2 software. The global dimension of the element is established at 2 mm. Additionally, the refinement technique is employed to enhance the mesh structure in the vicinity of the rolls. This process aims to achieve orthogonality, smoothness, and an appropriate aspect ratio, thereby mitigating the risk of numerical divergence. The obtained values for the minimum element quality, minimum orthogonal quality, and skewness test values are 0.83745, 0.31388, and 0.16255, respectively, indicating the successful generation of a high-quality mesh with reasonable characteristics.
The wall surface of the roller is set as a rotating wall surface; the center of rotation is set as the center of the circle of the small roller and the large roller, respectively; and the linear speed of the roller is the same, ranging from 14 m/min to 20 m/min, the thickness is 0, and the contact angle is 72°, in which the small roller is wall1, the large roller is wall2, and the liquid pool area is initialized locally, as shown in Figure 5.
The utilization of unstructured meshing is employed for the purpose of mesh generation, while refinement is employed to discretize and enhance the resolution of the roller’s wall region. The chosen model has a roller pitch of 0.1 mm and a roller linear speed of 20 m/min. It is utilized to validate the mesh independence by evaluating the thickness of the liquid film at the lower end of the large roller under varying numbers of meshes, while ensuring a stable flow condition. The outcomes of this analysis are presented in Figure 6.

3. Analysis and Validation of Results

3.1. Effect of Liquid Viscosity on Coating Thickness

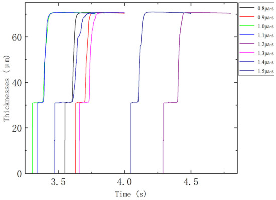
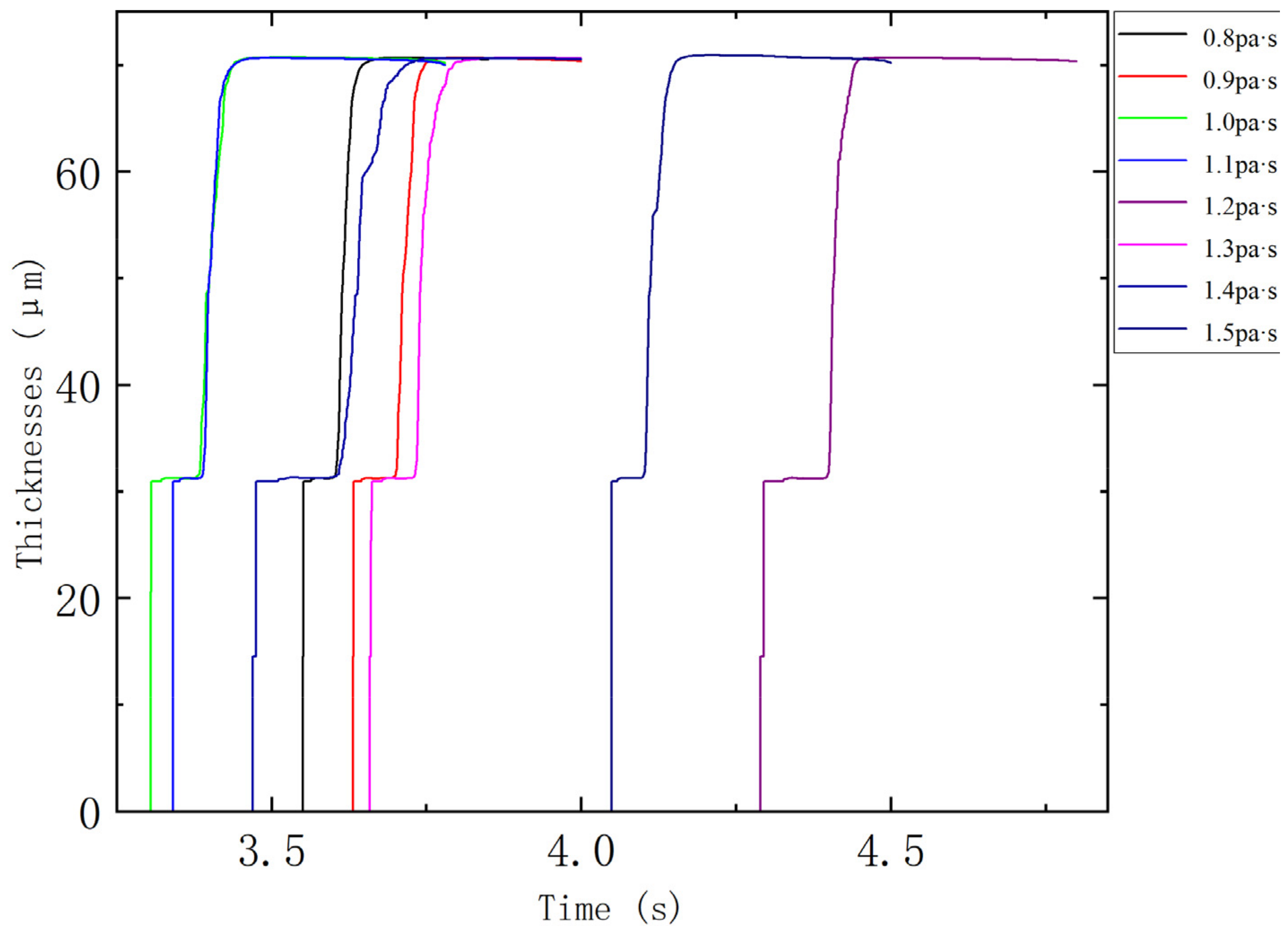
In order to investigate the correlation between liquid viscosity and coating thickness, the liquid viscosity is treated as a variable while maintaining other factors at a constant level. The range of liquid viscosity in the actual working condition is 0.8 Pa·s–1.5 Pa·s, with one gradient per 0.1 Pa·s, and a total of eight groups of gradients, i.e., 0.8, 0.9, 1.0, 1.1, 1.2, 1.3, 1.4, and 1.5 Pa·s. A vertical monitoring line was established at the lowermost section of the large roll in order to observe the flow of the liquid roller coating and determine the ultimate thickness of the coating. The findings are depicted in Figure 7. As can be seen in Figure 7, the sudden rise in thickness of the liquid as it flows to the monitoring line is due to the fact that the direction of the gravity force on the liquid at the bottom of the roller is downward. A sudden rise in the thickness of the liquid, rather than a slow rise, occurs under the effect of gravity and surface tension.
The coating thickness when the flow is stabilized is taken as the simulation result, as shown in Table 2.
The data presented in Table 2 were analyzed in order to derive the graphical representation illustrating the correlation between the thickness of the coating and the viscosity of the liquid, as illustrated in Figure 8. The observed change in the curve depicted in Figure 8 reveals that when considering the roller’s linear speed and roller gap as constant factors, the coating thickness diminishes as the liquid viscosity increases. Furthermore, the curve exhibits a tendency to level off as the viscosity rises, suggesting that, in scenarios characterized by a low viscosity, the impact of viscosity on the coating thickness becomes increasingly pronounced. In the presence of a high viscosity, the coating thickness is increasingly influenced by the viscosity. In the context of practical production, the adhesive employed to attain the targeted bonding strength for this particular product exhibits a range between 70 g/m2 and 80 g/m2. Given this premise, it is imperative to minimize the quantity of adhesive in order to mitigate expenses. One possible approach to accomplish this objective is to decrease the thickness of the adhesive per unit area, thereby resulting in a reduction in overall consumption.
Among the range of adhesive viscosities, the minimum coating thickness is achieved at a viscosity of 1.5 Pa·s. At this viscosity, the adhesive consumption is approximately 74.1927 g/m2. The minimum coating thickness can be obtained by adjusting the viscosity of the liquid used for roller coating.

3.2. Influence of Roller Line Speed on Coating Thickness

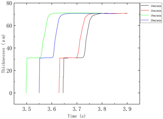
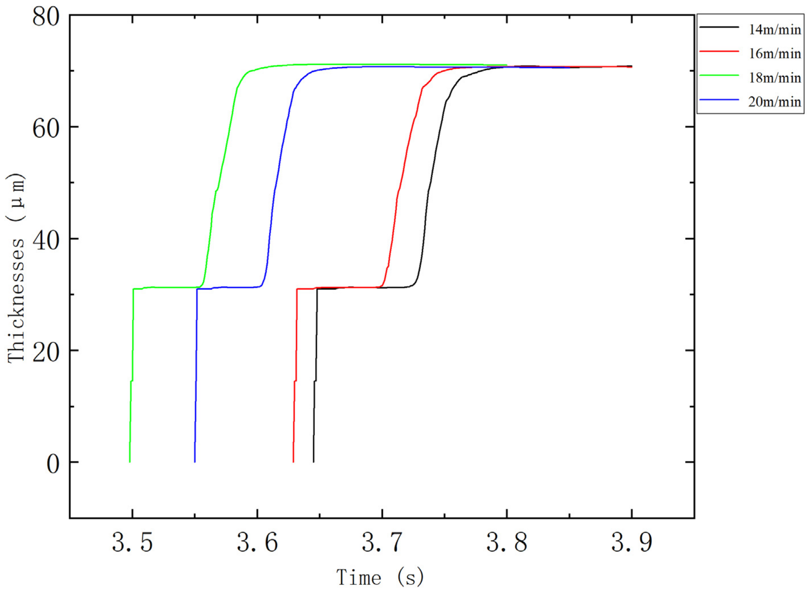
In order to investigate the correlation between the roller’s linear speed and coating thickness, the variable of interest is the roller’s linear speed, while other relevant factors are held constant. The monitoring outcomes are derived from Figure 9, while the simulation findings are presented in Table 3. As can be obtained from Figure 9, the liquid stabilizes at a more uniform coating thickness after a period of thickness variation.
The coating thickness when the flow is stabilized is taken as the simulation result, as shown in Table 3.
This study aimed to examine the influence of roll velocity on the thickness of the coating. The findings of the study indicated that there was a gradual decrease in the thickness of the coating as the roll velocity increased. The phenomenon illustrated in Figure 10 can be attributed to the accelerated shear flow of the liquid along the roll’s surface resulting from the heightened velocity of the roll. This, in turn, facilitates the reduction in the thickness of the coating. Furthermore, the motion of the roller induces alterations in the force exerted on the liquid molecules, subsequently leading to modifications in the morphology of the coating.
In summary, the velocity of the roller line plays a significant role in determining the thickness of the coating, whereby a higher roller line speed corresponds to a reduced coating thickness. The discovery holds substantial importance in the management and oversight of coating processes. In practical implementation, the judicious manipulation of the roller line speed enables the precise regulation of the coating thickness, thereby fulfilling specific process demands. In summary, the speed of the roller line plays a significant role in determining the thickness of the coating. Specifically, as the roller line speed increases, the coating thickness tends to decrease. The discovery holds substantial importance in the management and oversight of coating processes. The attainment of accurate coating thickness control in practical applications can be accomplished by appropriately adjusting the velocity of the roll to align with specific process requirements. The coating thickness is found to be minimized at a roll velocity of 20 m/min, within the adjustable range. The adhesive usage is estimated to be approximately 74.1931 g/m2. The minimum thickness of the coating can be achieved by manipulating the velocity of the roll.

3.3. Model Comparison Validation

A comparison was made with the roller-coating model of the same diameter by Nengsheng et al. [27]. In Nengsheng’s model, the diameter of both rollers is 184 mm, the gap between the two rollers is 0.08 mm, and the linear speed of the rollers is 20 m/min. The relationship between the viscosity of the roll-coating liquid and the coating thickness in Nengsheng’s model is shown in Figure 11. As can be seen in Figure 11, the coating thickness in Nengsheng’s model is similarly inversely proportional to the viscosity of the roll-coating liquid, which is consistent with the present model.

4. Conclusions

This study employed numerical simulation to investigate the simultaneous effects of glue viscosity and roller line speed on the roll-coating thickness of the CNCHK-10 high-performance intelligent sponge rolling machine. The focus of this research is to provide quantitative and qualitative insights into the coating thickness of the machine. One of the methods employed is a quantitative study, which involves determining the precise values of the glue viscosity and roller line speed for each coating thickness. This information aids operators in efficiently and accurately determining the desired coating thickness. Additionally, a qualitative study was conducted to offer theoretical guidance and establish a scientific foundation for the development of an automated control system for roller coating.
The present study conducted a numerical analysis on the high-performance intelligent sponge roller gluing machine, specifically focusing on the application of the coating’s two-roll gap operation process. A simulation model was developed to examine the coating process using two rollers of different diameters. The analysis was performed using computational fluid dynamics (CFD) numerical simulation technology:
  • The coating thickness decreases with the increase in glue viscosity. In the actual working condition of the CNCHK-10 high-performance intelligent sponge rolling machine, the coating thickness is minimized when the viscosity is 1.5 Pa·s, and the amount of glue is about 74.1927 g/m2 at this time;
  • The coating thickness is inversely proportional to the roller linear speed; the increase in the roller linear speed will decrease the coating thickness. Within the roller linear speed adjustment range, the coating thickness is minimized when the linear speed is 20 m/min, and the amount of glue is about 74.1931 g/m2 at this time.
In the context of the project, one potential approach to reducing the coating thickness involves increasing the viscosity of the coating liquid or augmenting the linear speed of the roller. However, it is worth noting that accurately measuring and controlling the viscosity of the coating liquid poses challenges in production practice. Such precise control of viscosity would likely lead to a significant increase in production costs and a longer production cycle. However, the thickness of the coating can be easily and efficiently adjusted by altering the linear speed of the roller.
This paper presents a study on the coating thickness of the CNCHK-10 high-performance intelligent sponge roller. The investigation focuses on the impact of roller-coating parameters on the resulting coating thickness. The study concludes with several key findings. The forthcoming analysis will delve into the impact of rollers with varying surface materials on the coating thickness. Additionally, there is potential to integrate the outcomes of simulations with deep learning techniques to develop a predictive model for the variation in coating thickness.

Author Contributions

Conceptualization, Y.Z. and S.L.; methodology, S.L.; software, Y.H.; validation, Y.Z., Y.H. and S.L.; investigation, C.L. and X.W. (Xiaoyu Wu); resources, S.L., C.L. and X.W. (Xiaoyu Wu); data curation, Y.H. and L.Z.; writing—original draft preparation, Y.H.; writing—review and editing, Y.Z., H.N. and X.W. (Xingxing Wang); supervision, S.L.; project administration, Y.Z.; funding acquisition, C.L. and X.W. (Xiaoyu Wu). All authors have read and agreed to the published version of the manuscript.

Funding

This work was supported in part by the Jiangsu University Advantageous Discipline Construction Project Funding Program under Grant PAPD, in part by the Jiangsu Province Policy Guidance Program (International Science and Technology Cooperation) Project under Grant BZ2021045, in part by the National Natural Science Foundation of China (NSFC) under Grant 51979138, in part by the National Natural Science Foundation of China (NSFC) under Grant 52109106, in part by the Key R&D Projects of Jiangsu Province under Grant BE2023765, and in part by the Natural Science Foundation of Jiangsu Province under Grant BK20220609.

Institutional Review Board Statement

Not applicable.

Informed Consent Statement

Not applicable.

Data Availability Statement

Data are contained within the article.

Conflicts of Interest

Changbin Lin and Xiaoyu Wu was employed by the company Nantong Hengkang CNC Machinery Co. The remaining authors declare that the research was conducted in the absence of any commercial or financial relationships that could be construed as a potential conflict of interest.

References

  1. Ye, Y.; Pan, Z. Roller Coating, Curtain Coating, 2nd ed.; Machinery Industry Press: Beijing, China, 2003; pp. 235–236. [Google Scholar]
  2. Greener, J.; Middleman, S. Reverse roll coating of viscous and viscoelastic liquids. Ind. Eng. Chem. Fund. 1981, 20, 63–66. [Google Scholar] [CrossRef]
  3. Savage, M.D. Variable speed coating with purely viscous non-Newtonian fluids. Z. Angew. Math. Phys. 1983, 34, 358–369. [Google Scholar] [CrossRef]
  4. Savage, M.D. Mathematical models for coating processes. J. Fluid Mech. 1982, 117, 443–455. [Google Scholar] [CrossRef]
  5. Pitts, E.; Greiller, J. The flow of thin liquid films between rollers. J. Fluid Mech. 1961, 11, 33–50. [Google Scholar] [CrossRef]
  6. Shahzad, H.; Wang, X.; Hafeez, M.B.; Shah, Z.; Alshehri, A.M. Study of Slip Effects in Reverse Roll Coating Process Using Non-Isothermal Couple Stress Fluid. Coatings 2021, 11, 1249. [Google Scholar] [CrossRef]
  7. Ali, F.; Hou, Y.; Zahid, M.; Rana, M.A. Mathematical Analysis of Pseudoplastic Polymers during Reverse Roll-Coating. Polymers 2020, 12, 2285. [Google Scholar] [CrossRef] [PubMed]
  8. Hanif, A.; Abbas, Z.; Khaliq, S. Rheological impact of Sutterby fluid in isothermal forward roll coating process: A theoretical study. J. Plast. Film. Sheeting 2023, 39, 115–133. [Google Scholar] [CrossRef]
  9. Kapur, N. A parametric study of direct gravure coating. Chem. Eng. Sci. 2003, 58, 2875–2882. [Google Scholar] [CrossRef]
  10. Chien, C.-H.; Jang, J.-Y. Numerical and experimental studies of thin liquid film flow between two forward-rollers. J. Mech. Sci. Technol. 2007, 21, 1892–1900. [Google Scholar] [CrossRef]
  11. Carvalho, M.S.; Scriven, L.E. Three-Dimensional Stability Analysis of Free Surface Flows: Application to Forward Deformable Roll Coating. J. Comput. Phys. 1999, 151, 534–562. [Google Scholar] [CrossRef]
  12. Zheng, G.; Wachter, F.; Al-Zoubi, A.; Durst, F.; Tämmerich, R.; Stietenroth, M.; Pircher, P. Computations of coating windows for reverse roll coating of liquid films. J. Coat. Technol. Res. 2020, 17, 897–910. [Google Scholar] [CrossRef]
  13. Benkreira, H.; Edwards, M.F.; Wilkinson, W.L. Roll coating of purely viscous liquids. Chem. Eng. Sci. 1981, 36, 429–434. [Google Scholar] [CrossRef]
  14. Benkreira, H.; Shibata, Y.; Ito, K. Reverse roll coating with a deformable roll operating at negative gaps. Chem. Eng. Sci. 2017, 165, 204–215. [Google Scholar] [CrossRef][Green Version]
  15. Benkreira, H.; Shibata, Y.; Ito, K. The fluid mechanics of tensioned web roll coating. Chem. Eng. Sci. 2021, 239, 116612. [Google Scholar] [CrossRef]
  16. Benkreira, H.; Ikin, J.B. Slot coating minimum film thickness in air and in rarefied helium. Chem. Eng. Sci. 2016, 150, 66–73. [Google Scholar] [CrossRef]
  17. Sasaki, M.; Suszynski, W.J.; Carvalho, M.S.; Francis, L.F. Process limits in two-layer reverse roll transfer. J. Coat. Technol. Res. 2013, 10, 485–492. [Google Scholar] [CrossRef]
  18. Aich, W.; Abbas, T.; Hassan Sewify, G.; Sadiq, M.N.; Khan, S.U.; Bilal, M.; Omri, M.; Kolsi, L. Comparative numerical and analytical computations for magnetized pseudoplastic material with roll-coating applications. Alex. Eng. J. 2023, 79, 538–544. [Google Scholar] [CrossRef]
  19. Abbas, Z.; Hanif, A.; Khaliq, S. Rheological insight of wall slippage and microrotation on the coating thickness during non-isothermal forward roll coating phenomena of micropolar fluid. Eur. Phys. J. Plus 2023, 138, 105. [Google Scholar] [CrossRef]
  20. Zhao, H.; Ma, L. Several rough set models in quotient space. CAAI Trans. Intell. Technol. 2022, 7, 69–80. [Google Scholar] [CrossRef]
  21. Chen, J.; Yu, S.; Wei, W.; Ma, Y. Matrix-based method for solving decision domains of neighbourhood multigranulation decision-theoretic rough sets. CAAI Trans. Intell. Technol. 2022, 7, 313–327. [Google Scholar] [CrossRef]
  22. Jia, Z.; Wang, W.; Zhang, J. Contact High Temperature Strain Automatic Calibration and Precision Compensation Technology. J. Artif. Intell. Technol. 2022, 2, 69–76. [Google Scholar] [CrossRef]
  23. Du, H.; Du, S.; Li, W. Probabilistic time series forecasting with deep non-linear state space models. CAAI Trans. Intell. Technol. 2023, 8, 3–13. [Google Scholar] [CrossRef]
  24. Hu, X.; Kuang, Q.; Cai, Q.; Xue, Y.; Zhou, W.; Li, Y. A Coherent Pattern Mining Algorithm Based on All Contiguous Column Bicluster. J. Artif. Intell. Technol. 2022, 2, 80–92. [Google Scholar] [CrossRef]
  25. Zhang, Z.; De Luca, G.; Archambault, B.; Chavez, J.; Rice, B. Traffic Dataset for Dynamic Routing Algorithm in Traffic Simulation. J. Artif. Intell. Technol. 2022, 2, 111–122. [Google Scholar] [CrossRef]
  26. Eckmann, J.-P. Roads to turbulence in dissipative dynamical systems. Rev. Mod. Phys. 1981, 53, 643–654. [Google Scholar] [CrossRef]
  27. Nengsheng, B.; Xiaoshan, L.; Wan, M.; Xuejia, H. Numerical Calculation and Analysis on Roll Coating Process of the Clearance between Two Rollers. Packag. Eng. 2016, 37, 6–12. [Google Scholar]
Figure 1. CNCHK-10 High-performance Intelligent Sponge Rolling Machine and its three-dimensional modeling.
Figure 1. CNCHK-10 High-performance Intelligent Sponge Rolling Machine and its three-dimensional modeling.
Coatings 13 01943 g001
Figure 2. Roller-coating mechanism’s three-dimensional drawing.
Figure 2. Roller-coating mechanism’s three-dimensional drawing.
Coatings 13 01943 g002
Figure 3. Physical model of horizontal different-diameter rollers.
Figure 3. Physical model of horizontal different-diameter rollers.
Coatings 13 01943 g003
Figure 4. Schematic diagram of the roller-coating process.
Figure 4. Schematic diagram of the roller-coating process.
Coatings 13 01943 g004
Figure 5. Boundary conditions and initialization.
Figure 5. Boundary conditions and initialization.
Coatings 13 01943 g005
Figure 6. Relation between the number of grids and the thickness of the liquid film.
Figure 6. Relation between the number of grids and the thickness of the liquid film.
Coatings 13 01943 g006
Figure 7. Monitoring curve of coating thickness with different liquid viscosities.
Figure 7. Monitoring curve of coating thickness with different liquid viscosities.
Coatings 13 01943 g007
Figure 8. Viscosity-Thickness Relationship Curve.
Figure 8. Viscosity-Thickness Relationship Curve.
Coatings 13 01943 g008
Figure 9. Monitoring curve of coating thickness at different linear speeds of the roller.
Figure 9. Monitoring curve of coating thickness at different linear speeds of the roller.
Coatings 13 01943 g009
Figure 10. Relation curve of viscosity and thickness.
Figure 10. Relation curve of viscosity and thickness.
Coatings 13 01943 g010
Figure 11. Plot of viscosity of roll-coating liquid versus coating thickness in Nengsheng’s model.
Figure 11. Plot of viscosity of roll-coating liquid versus coating thickness in Nengsheng’s model.
Coatings 13 01943 g011
Table 1. Parameters of physical properties of the fluid.
Table 1. Parameters of physical properties of the fluid.
FluidRoller Coating FluidAir
Density (20 °C) (kg/m3)10501.205
Dynamic viscosity (Pa·s)-1.79 × 10−5
Surface tension coefficient (N/m)0.03152-
PH8.0–9.0
Fire-Proof (°C)80–90
Table 2. Simulation results for different viscosities.
Table 2. Simulation results for different viscosities.
PlanParameter Combinations
Roller Gap/mmRoller Line Speed/(m·min−1)Fluid Viscosity/(Pa·s)Thicknesses/μm
10.1200.870.66005
20.1200.970.65997
30.1201.070.65989
40.1201.170.65982
50.1201.270.65976
60.1201.370.65972
70.1201.470.65969
80.1201.570.65968
Table 3. Simulation results for different linear velocities.
Table 3. Simulation results for different linear velocities.
PlanParameter Combinations
Roller Gap/mmRoller Line Speed/(m·min−1)Fluid Viscosity/(Pa·s)Thicknesses/μm
10.1140.870.66005
20.1160.870.65997
30.1180.870.65989
40.1200.870.66005
Disclaimer/Publisher’s Note: The statements, opinions and data contained in all publications are solely those of the individual author(s) and contributor(s) and not of MDPI and/or the editor(s). MDPI and/or the editor(s) disclaim responsibility for any injury to people or property resulting from any ideas, methods, instructions or products referred to in the content.

Share and Cite

MDPI and ACS Style

Zhu, Y.; Huang, Y.; Lv, S.; Ni, H.; Zhou, L.; Wang, X.; Lin, C.; Wu, X. Coating Characteristics and Dynamics of Sponge Roller Coatings with Different Viscosities and Linear Speeds for Different Diameters of Rollers. Coatings 2023, 13, 1943. https://doi.org/10.3390/coatings13111943

AMA Style

Zhu Y, Huang Y, Lv S, Ni H, Zhou L, Wang X, Lin C, Wu X. Coating Characteristics and Dynamics of Sponge Roller Coatings with Different Viscosities and Linear Speeds for Different Diameters of Rollers. Coatings. 2023; 13(11):1943. https://doi.org/10.3390/coatings13111943

Chicago/Turabian Style

Zhu, Yu, Yingjian Huang, Shuaishuai Lv, Hongjun Ni, Lin Zhou, Xingxing Wang, Changbin Lin, and Xiaoyu Wu. 2023. "Coating Characteristics and Dynamics of Sponge Roller Coatings with Different Viscosities and Linear Speeds for Different Diameters of Rollers" Coatings 13, no. 11: 1943. https://doi.org/10.3390/coatings13111943

APA Style

Zhu, Y., Huang, Y., Lv, S., Ni, H., Zhou, L., Wang, X., Lin, C., & Wu, X. (2023). Coating Characteristics and Dynamics of Sponge Roller Coatings with Different Viscosities and Linear Speeds for Different Diameters of Rollers. Coatings, 13(11), 1943. https://doi.org/10.3390/coatings13111943

Note that from the first issue of 2016, this journal uses article numbers instead of page numbers. See further details here.

Article Metrics

Back to TopTop