Tribo-Catalytic Degradation of Methyl Orange Solutions Enhanced by Silicon Single Crystals
Abstract
:1. Introduction
2. Materials and Methods
2.1. Materials Information
2.2. Coating Silicon Single Crystal Wafers on the Bottoms of Glass Beakers
2.3. Tribo-Catalytic Degradation of MO Solutions in Glass Beakers
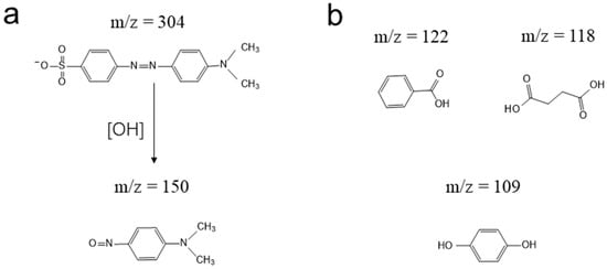
2.4. Analyses of Degradation Products of MO through a Mass Spectrometer
2.5. Detection of Radical Species
3. Results and Discussion
4. Conclusions
Author Contributions
Funding
Institutional Review Board Statement
Informed Consent Statement
Data Availability Statement
Conflicts of Interest
References
- Ren, X.; Dong, L.; Xu, D.; Hu, B. Challenges towards hydrogen economy in China. Int. J. Hydrogen Energy 2020, 45, 34326–34345. [Google Scholar] [CrossRef]
- Goldthau, A.; Tagliapietra, S. Energy crisis: Five questions that must be answered in 2023. Nature 2022, 612, 627–630. [Google Scholar] [CrossRef]
- Zor, S. Conservation or revolution? The sustainable transition of textile and apparel firms under the environmental regulation: Evidence from China. J. Clean. Prod. 2023, 382, 135339. [Google Scholar] [CrossRef]
- Singha, K.; Pandit, P.; Maity, S.; Sharma, S.R. Harmful environmental effects for textile chemical dyeing practice. In Green Chemistry for Sustainable Textiles; Ibrahim, N., Hussain, C.M., Eds.; Woodhead Publishing: Sawston, UK, 2021; pp. 153–164. [Google Scholar]
- Li, P.; Wu, J.; Wu, Z.; Jia, Y.; Ma, J.; Chen, W.; Zhang, L.; Yang, J.; Liu, Y. Strong tribocatalytic dye decomposition through utilizing triboelectric energy of barium strontium titanate nanoparticles. Nano Energy 2019, 63, 103832. [Google Scholar] [CrossRef]
- Fan, F.; Xie, S.; Wang, G.; Tian, Z. Tribocatalysis: Challenges and perspectives. Sci. China Chem. 2021, 64, 1609–1613. [Google Scholar] [CrossRef]
- Tong, W.; An, Q.; Li, Y.; Li, X.; Zhang, Y. Weak-force energy development and its self-powered environmental purification. Chin. Sci. Bull. 2023, 68, 1381–1391. [Google Scholar] [CrossRef]
- Yang, B.; Chen, H.; Yang, Y.; Wang, L.; Bian, J.; Liu, Q.; Lou, X. Insights into the tribo-/pyro-catalysis using Sr-doped BaTiO3 ferroelectric nanocrystals for efficient water remediation. Chem. Eng. J. 2021, 416, 128986. [Google Scholar] [CrossRef]
- Jin, Z.; Zheng, X.; Zhu, Z.; Hu, C.; Liu, L.; Fang, L.; Luo, N.; Cheng, Z. Enhanced triboelectric degradation of organics by tuning the synergy between ferroelectric polarization and illumination. Mater. Today Chem. 2023, 29, 101427. [Google Scholar] [CrossRef]
- Jin, Z.; Zheng, X.; Zhu, Z.; Hu, C.; Liu, L.; Fang, L.; Cheng, Z. Enhanced triboelectric degradation of organics by regulating oxygen vacancies and constructing heterojunctions. Appl. Surf. Sci. 2023, 625, 157228. [Google Scholar] [CrossRef]
- Xu, Y.; Yin, R.; Zhang, Y.; Zhou, B.; Sun, P.; Dong, X. Unveiling the mechanism of frictional catalysis in water by Bi12TiO20: A charge transfer and contaminant decomposition path study. Langmuir 2022, 38, 14153–14161. [Google Scholar] [CrossRef]
- Yu, H.; Fu, J.; Zhu, X.; Zhao, Z.; Sui, X.; Sun, S.; He, X.; Zhang, Y.; Ye, W. Tribocatalytic degradation of organic pollutants using Fe2O3 nanoparticles. ACS Appl. Nano Mater. 2023, 6, 14364–14373. [Google Scholar] [CrossRef]
- Wu, M.; Xu, Y.; He, Q.; Sun, P.; Weng, X.; Dong, X. Tribocatalysis of homogeneous material with multi-size granular distribution for degradation of organic pollutants. J. Colloid Interface Sci. 2022, 622, 602–611. [Google Scholar] [CrossRef] [PubMed]
- Zhao, J.; Chen, L.; Luo, W.; Li, H.; Wu, Z.; Xu, Z.; Zhang, Y.; Zhang, H.; Yuan, G.; Gao, J. Strong tribo-catalysis of zinc oxide nanorods via triboelectrically-harvesting friction energy. Ceram. Int. 2020, 46, 25293–25298. [Google Scholar] [CrossRef]
- Cui, X.; Li, P.; Lei, H.; Tu, C.; Wang, D.; Wang, Z.; Chen, W. Greatly enhanced tribocatalytic degradation of organic pollutants by TiO2 nanoparticles through efficiently harvesting mechanical energy. Sep. Purif. Technol. 2022, 289, 120814. [Google Scholar] [CrossRef]
- Sun, C.; Guo, X.; Ji, R.; Hu, C.; Liu, L.; Fang, L.; Cheng, Z.; Luo, N. Strong tribocatalytic dye degradation by tungsten bronze Ba4Nd2Fe2Nb8O30. Ceram. Int. 2021, 47, 5038–5043. [Google Scholar] [CrossRef]
- Sun, C.; Guo, X.; Hu, C.; Liu, L.; Fang, L.; Cheng, Z.; Luo, N. Tribocatalytic degradation of dyes by tungsten bronze ferroelectric Ba2.5Sr2.5Nb8Ta2O30 submicron particles. RSC Adv. 2021, 11, 13386–13395. [Google Scholar] [CrossRef] [PubMed]
- Hu, J.; Ma, W.; Pan, Y.; Cheng, Z.; Yu, S.; Gao, J.; Zhang, Z.; Wan, C.; Qiu, C. Insights on the mechanism of Fe doped ZnO for tightly-bound extracellular polymeric substances tribo-catalytic degradation: The role of hydration layers at the interface. Chemosphere 2021, 276, 130170. [Google Scholar] [CrossRef]
- Li, P.; Tang, C.; Xiao, X.; Jia, Y.; Chen, W. Flammable gases produced by TiO2 nanoparticles under magnetic stirring in water. Friction 2022, 10, 1127–1133. [Google Scholar] [CrossRef]
- Li, P.; Tang, C.; Chen, L.; Hu, Y.; Xiao, X.; Chen, W. Reduction of CO2 by TiO2 nanoparticles through friction in water. Acta Phys. Sin. 2021, 70, 214601. [Google Scholar] [CrossRef]
- Yang, B.; Chen, H.; Guo, X.; Wang, L.; Xu, T.; Bian, J.; Yang, Y.; Liu, Q.; Du, Y.; Lou, X. Enhanced tribocatalytic degradation using piezoelectric CdS nanowires for efficient water remediation. J. Mater. Chem. C 2020, 8, 14845–14854. [Google Scholar] [CrossRef]
- Zhang, Q.; Jia, Y.; Wang, X.; Zhang, L.; Yuan, G.; Wu, Z. Efficient tribocatalysis of magnetically recyclable cobalt ferrite nanoparticles through harvesting friction energy. Sep. Purif. Technol. 2023, 307, 122846. [Google Scholar] [CrossRef]
- Liu, S.; Yang, Y.; Hu, Y.; Rao, W. Effect of strontium substitution on the tribocatalytic performance of barium titanate. Materials 2023, 16, 3160. [Google Scholar] [CrossRef] [PubMed]
- Tang, Q.; Zhu, M.; Zhang, H.; Gao, J.; Kwok, K.W.; Kong, L.; Jia, Y.; Liu, L.; Peng, B. Enhanced tribocatalytic degradation of dye pollutants through governing the charge accumulations on the surface of ferroelectric barium zirconium titanate particles. Nano Energy 2022, 100, 107519. [Google Scholar] [CrossRef]
- Li, X.; Wang, J.; Zhang, J.; Zhao, C.; Wu, Y.; He, Y. Cadmium sulfide modified zinc oxide heterojunction harvesting ultrasonic mechanical energy for efficient decomposition of dye wastewater. J. Colloid Interface Sci. 2022, 607, 412–422. [Google Scholar] [CrossRef] [PubMed]
- Wu, M.; Zhang, Y.; Yi, Y.; Zhou, B.; Sun, P.; Dong, X. Regulation of friction pair to promote conversion of mechanical energy to chemical energy on Bi2WO6 and realization of enhanced tribocatalytic activity to degrade different pollutants. J. Hazard. Mater. 2023, 459, 132147. [Google Scholar] [CrossRef] [PubMed]
- Lei, H.; Jia, X.; Wang, H.; Cui, X.; Jia, Y.; Fei, L.; Chen, W. Tribo-catalytic conversions of H2O and CO2 by NiO particles in reactors with plastic and metallic coatings. Coatings 2023, 13, 396. [Google Scholar] [CrossRef]
- Jia, X.; Wang, H.; Lei, H.; Mao, C.; Cui, X.; Liu, Y.; Jia, Y.; Yao, W.; Chen, W. Boosting tribo-catalytic conversion of H2O and CO2 by Co3O4 nanoparticles through metallic coatings in reactors. J. Adv. Ceram. 2023. [Google Scholar] [CrossRef]
- Cui, X.; Wang, H.; Lei, H.; Jia, X.; Jiang, Y.; Fei, L.; Jia, Y.; Chen, W. Surprising tribo-catalytic conversion of H2O and CO2 into flammablegases utilizing frictions of copper in Water. ChemistrySelect 2023, 8, e202204146. [Google Scholar] [CrossRef]
- Li, X.; Tong, W.; Shi, J.; Chen, Y.; Zhang, Y.; An, Q. Tribocatalysis mechanisms: Electron transfer and transition. J. Mater. Chem. A 2023, 11, 4458–4472. [Google Scholar] [CrossRef]
- Zhai, L.; Bai, Z.; Zhu, Y.; Wang, B.; Luo, W. Fabrication of chitosan microspheres for efficient adsorption of methyl orange. Chin. J. Chem. Eng. 2018, 26, 657–666. [Google Scholar] [CrossRef]
- Sanromán, M.Á.; Pazos, M.; Cameselle, C. Optimisation of electrochemical decolourisation process of an azo dye, methyl orange. J. Chem. Technol. Biotechnol. 2004, 79, 1349–1353. [Google Scholar] [CrossRef]
- Liu, T.; Wang, L.; Lu, X.; Fan, J.; Cai, X.; Gao, B.; Miao, R.; Wang, J.; Lv, Y. Comparative study of the photocatalytic performance for the degradation of different dyes by ZnIn2S4: Adsorption, active species, and pathways. RSC Adv. 2017, 7, 12292–12300. [Google Scholar] [CrossRef]
- Li, X.; Zhu, J.; Li, H. Comparative study on the mechanism in photocatalytic degradation of different-type organic dyes on SnS2 and CdS. Appl. Catal. B Environ. 2012, 123, 174–181. [Google Scholar] [CrossRef]
- Wang, M.; Li, M.; Xu, L.; Wang, L.; Ju, Z.; Li, G.; Qian, Y. High yield synthesis of novel boron nitride submicro-boxes and their photocatalytic application under visible light irradiation. Catal. Sci. Technol. 2011, 1, 1159–1165. [Google Scholar] [CrossRef]
- Filice, S.; D’Angelo, D.; Libertino, S.; Nicotera, I.; Kosma, V.; Privitera, V.; Scalese, S. Graphene oxide and titania hybrid nafion membranes for efficient removal of methyl orange dye from water. Carbon 2015, 82, 489–499. [Google Scholar] [CrossRef]
- Joseph, J.M.; Destaillats, H.; Hung, H.M.; Hoffmann, M.R. The sonochemical degradation of azobenzene and related azo dyes: Rate enhancements via Fenton’s reactions. J. Phys. Chem. A 2000, 104, 301–307. [Google Scholar] [CrossRef]
- Wojnárovits, L.; Takács, E. Irradiation treatment of azo dye containing wastewater: An overview. Radiat. Phys. Sonochem. 2008, 77, 225–244. [Google Scholar] [CrossRef]
- Okitsu, K.; Iwasaki, K.; Yobiko, Y.; Bandow, H.; Nishimura, R.; Maeda, Y. Sonochemical degradation of azo dyes in aqueous solution: A new heterogeneous kinetics model taking into account the local concentration of OH radicals and azo dyes. Ultrason. Sonochem. 2005, 12, 255–262. [Google Scholar] [CrossRef]
- Ariyanti, D.; Maillot, M.; Gao, W. Photo-assisted degradation of dyes in a binary system using TiO2 under simulated solar radiation. J. Environ. Chem. Eng. 2018, 6, 539–548. [Google Scholar] [CrossRef]
- Panda, N.; Sahoo, H.; Mohapatra, S. Decolourization of methyl orange using Fenton-like mesoporous Fe2O3–SiO2 composite. J. Hazard. Mater. 2011, 185, 359–365. [Google Scholar] [CrossRef]
- Khan, M.A.; Mutahir, S.; Wang, F.; Lei, W.; Xia, M.; Zhu, S. Facile one-step economical methodology of metal free g-C3N4 synthesis with remarkable photocatalytic performance under visible light to degrade trans-resveratrol. J. Hazard. Mater. 2019, 367, 293–303. [Google Scholar] [CrossRef]
- Lin, F.; Zhang, Y.; Wang, L.; Zhang, Y.; Wang, D.; Yang, M.; Yang, J.; Zhang, B.; Jiang, Z.; Li, C. Highly efficient photocatalytic oxidation of sulfur-containing organic compounds and dyes on TiO2 with dual cocatalysts Pt and RuO2. Appl. Cata. B Environ. 2012, 127, 363–370. [Google Scholar] [CrossRef]
- Duan, Y.; Luo, J.; Zhou, S.; Mao, X.; Shah, M.W.; Wang, F.; Chen, Z.; Wang, C. TiO2-supported Ag nanoclusters with enhanced visible light activity for the photocatalytic removal of NO. Appl. Catal. B Environ. 2018, 234, 206–212. [Google Scholar] [CrossRef]
- Geng, L.; Qian, Y.; Song, W.; Bao, L. Enhanced tribocatalytic pollutant degradation through tuning oxygen vacancy in BaTiO3 nanoparticles. Appl. Surf. Sci. 2023, 637, 157960. [Google Scholar] [CrossRef]
- Schwab, T.; Thomele, D.; Aicher, K.; Dunlop, J.W.; McKenna, K.; Diwald, O. Rubbing powders: Direct spectroscopic observation of triboinduced oxygen radical formation in MgO nanocube ensembles. J. Phys. Chem. C 2021, 125, 22239–22248. [Google Scholar] [CrossRef] [PubMed]
- Alabbad, E.A.; Bashir, S.; Liu, J.L. Efficient removal of direct yellow dye using chitosan crosslinked isovanillin derivative biopolymer utilizing triboelectric energy produced from homogeneous catalysis. Catal. Today 2022, 400, 132–145. [Google Scholar] [CrossRef]







Disclaimer/Publisher’s Note: The statements, opinions and data contained in all publications are solely those of the individual author(s) and contributor(s) and not of MDPI and/or the editor(s). MDPI and/or the editor(s) disclaim responsibility for any injury to people or property resulting from any ideas, methods, instructions or products referred to in the content. |
© 2023 by the authors. Licensee MDPI, Basel, Switzerland. This article is an open access article distributed under the terms and conditions of the Creative Commons Attribution (CC BY) license (https://creativecommons.org/licenses/by/4.0/).
Share and Cite
Cui, X.; Guo, Z.; Lei, H.; Jia, X.; Mao, C.; Ruan, L.; Zhou, X.; Wang, Z.; Chen, F.; Chen, W. Tribo-Catalytic Degradation of Methyl Orange Solutions Enhanced by Silicon Single Crystals. Coatings 2023, 13, 1804. https://doi.org/10.3390/coatings13101804
Cui X, Guo Z, Lei H, Jia X, Mao C, Ruan L, Zhou X, Wang Z, Chen F, Chen W. Tribo-Catalytic Degradation of Methyl Orange Solutions Enhanced by Silicon Single Crystals. Coatings. 2023; 13(10):1804. https://doi.org/10.3390/coatings13101804
Chicago/Turabian StyleCui, Xiaodong, Zhiyu Guo, Hua Lei, Xuchao Jia, Chenyue Mao, Lujie Ruan, Xiaoyuan Zhou, Zhu Wang, Feng Chen, and Wanping Chen. 2023. "Tribo-Catalytic Degradation of Methyl Orange Solutions Enhanced by Silicon Single Crystals" Coatings 13, no. 10: 1804. https://doi.org/10.3390/coatings13101804
APA StyleCui, X., Guo, Z., Lei, H., Jia, X., Mao, C., Ruan, L., Zhou, X., Wang, Z., Chen, F., & Chen, W. (2023). Tribo-Catalytic Degradation of Methyl Orange Solutions Enhanced by Silicon Single Crystals. Coatings, 13(10), 1804. https://doi.org/10.3390/coatings13101804
