Growth, Magnetic Anisotropies and Exchange Bias of Thin Ni0.95Fe0.05/NiFeO Multilayers
Abstract
:1. Introduction
2. Materials and Methods
3. Results
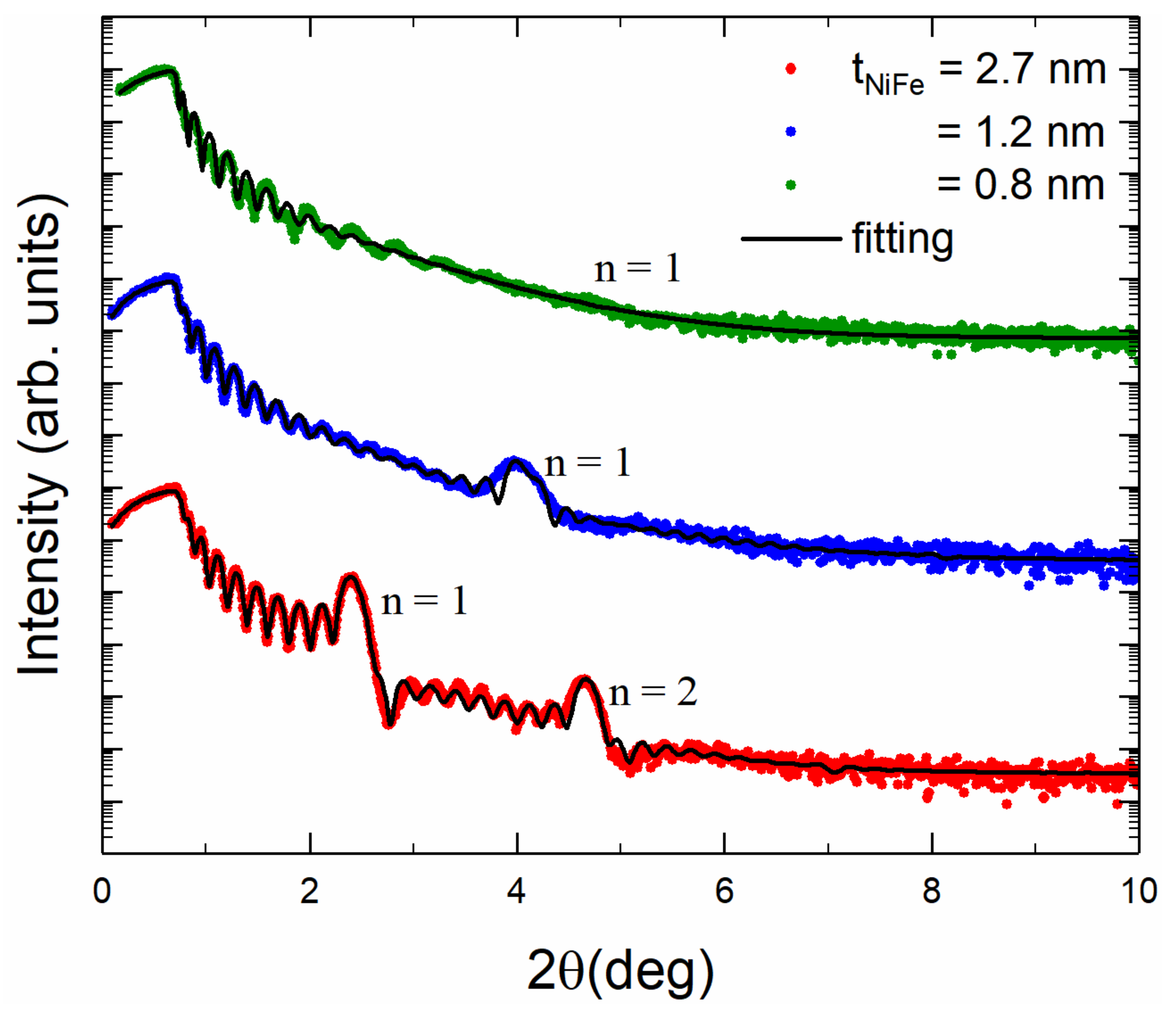
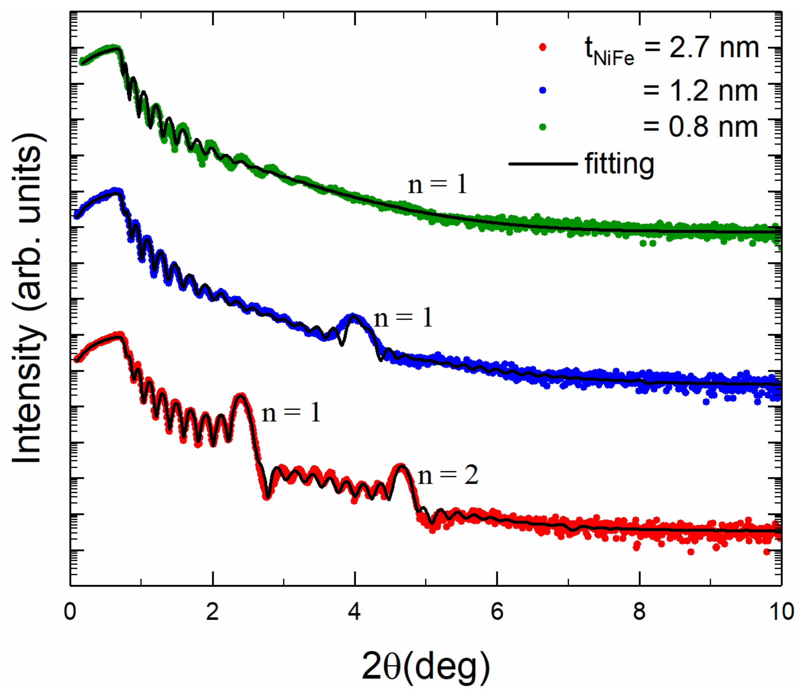
3.1. Multilayer Structural Characterization
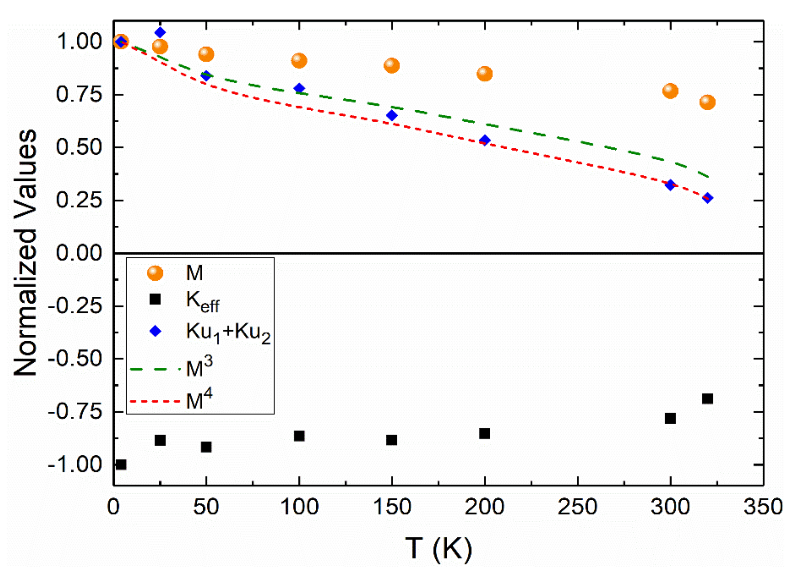
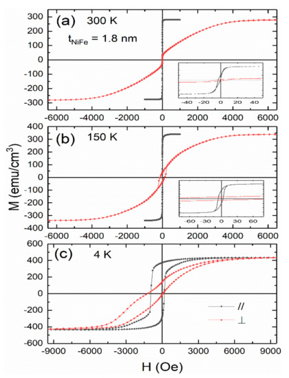
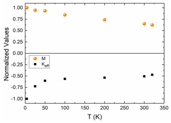
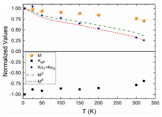
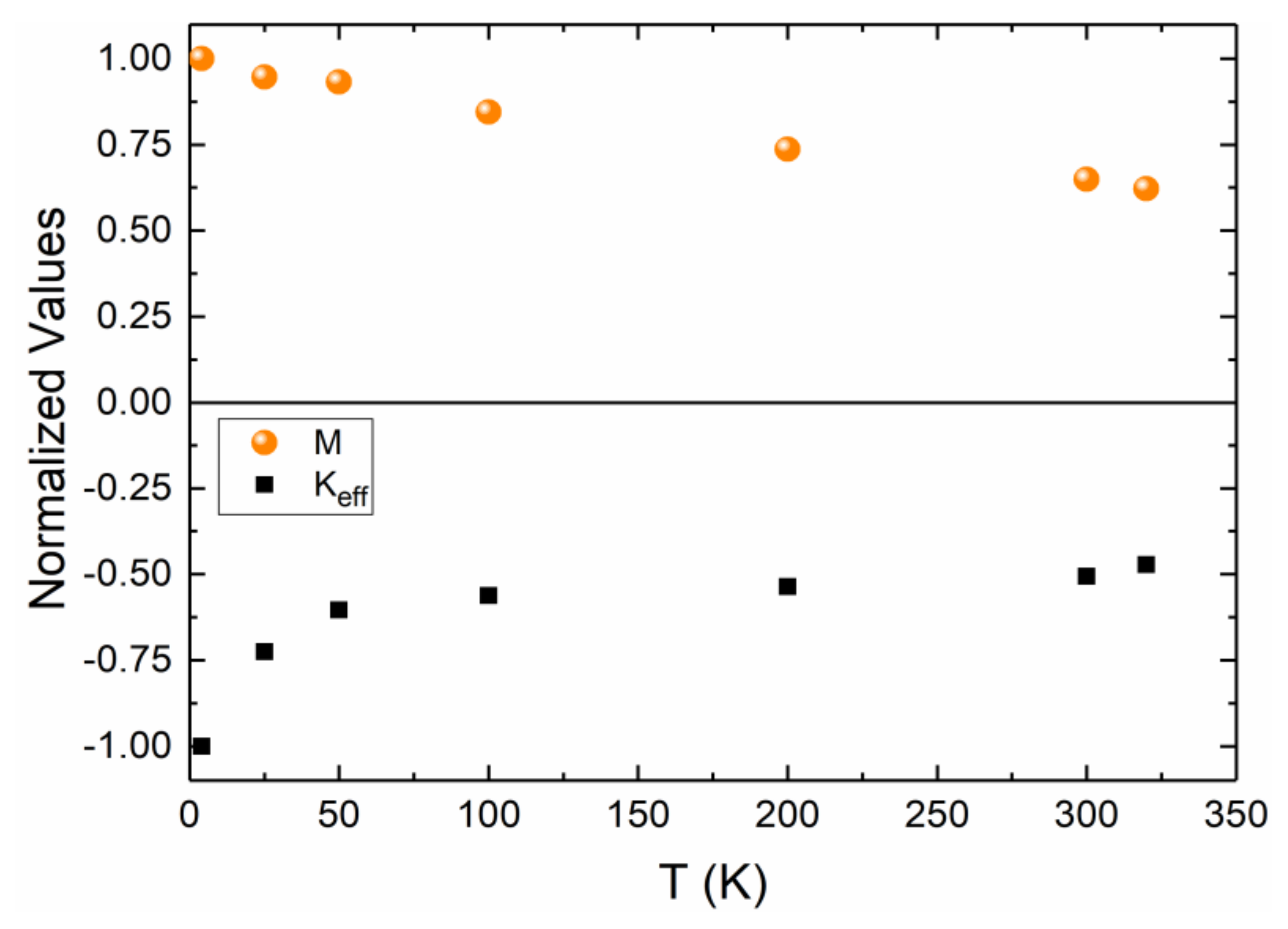
3.2. Magnetic Characterization
4. Conclusions
Author Contributions
Funding
Institutional Review Board Statement
Informed Consent Statement
Data Availability Statement
Acknowledgments
Conflicts of Interest
References
- Dieny, B.; Chshiev, M. Perpendicular magnetic anisotropy at transition metal/oxide interfaces and applications. Rev. Mod. Phys. 2017, 89, 025008. [Google Scholar] [CrossRef]
- Bibes, M.; Villegas, J.E.; Barthélémy, A. Ultrathin oxide films and interfaces for electronics and spintronics. Adv. Phys. 2011, 60, 5–84. [Google Scholar] [CrossRef]
- Felser, C.; Fecher, G.H.; Balke, B. Spintronics: A challenge for materials science and solid-state chemistry. Angew. Chem. 2007, 46, 668–699. [Google Scholar] [CrossRef]
- Baltz, V.; Manchon, A.; Tsoi, M.; Moriyama, T.; Ono, T.; Tserkovnyak, Y. Antiferromagnetic spintronics. Rev. Mod. Phys. 2018, 90, 015005. [Google Scholar] [CrossRef] [Green Version]
- Hirohata, A.; Yamada, K.; Nakatani, Y.; Prejbeanu, I.-L.; Dieny, B.; Pirro, P.; Hillebrands, B. Review on spintronics: Principles and device applications. J. Magn. Magn. Mater. 2020, 509, 166711. [Google Scholar] [CrossRef]
- Hirohata, A.; Frost, W.; Samiepour, M.; Kim, J. Perpendicular magnetic anisotropy in heusler alloy films and their magnetoresistive junctions. Materials 2018, 11, 105. [Google Scholar] [CrossRef] [Green Version]
- Lattery, D.M.; Zhang, D.; Zhu, J.; Hang, X.; Wang, J.-P.; Wang, X. Low gilbert damping constant in perpendicularly magnetized W/CoFeB/MgO films with high thermal stability. Sci. Rep. 2018, 8, 13395. [Google Scholar] [CrossRef] [Green Version]
- Gao, H.; Harumoto, T.; Luo, W.; Lan, R.; Feng, H.; Du, Y.; Nakamura, Y.; Shi, J. Room temperature perpendicular exchange bias in CoNi/(Co,Ni)O multilayers with perpendicular magnetic anisotropy directly induced by FM/AFM interface. J. Magn. Magn. Mater. 2019, 473, 490–494. [Google Scholar] [CrossRef]
- Heinrich, B.; Bland, J.A.C. Ultrathin Magnetic Structures I, 1st ed.; Springer: Berlin/Heidelberg, Germany, 1994; pp. 1–6. [Google Scholar]
- Poulopoulos, P.; Baberschke, K. Magnetism in thin films. J. Phys. Cond. Matt. 1999, 11, 9495–9515. [Google Scholar] [CrossRef]
- Poulopoulos, P.; Kapaklis, V.; Jönsson, P.E.; Papaioannou, E.T.; Delimitis, A.; Pappas, S.D.; Trachylis, D.; Politis, C. Positive surface and perpendicular magnetic anisotropy in natural nanomorphous Ni/NiO multilayers. Appl. Phys. Lett. 2010, 96, 202503. [Google Scholar] [CrossRef]
- Pappas, S.D.; Kapaklis, V.; Delimitis, A.; Jönsson, P.E.; Papaioannou, E.T.; Poulopoulos, P.; Fumagalli, P.; Trachylis, D.; Velgakis, M.J.; Politis, C. Layering and temperature-dependent magnetization and anisotropy of naturally produced Ni/NiO multilayers. J. Appl. Phys. 2012, 112, 053918. [Google Scholar] [CrossRef] [Green Version]
- Anyfantis, D.I.; Kanistras, N.; Ballani, C.; Barnasas, A.; Kapaklis, V.; Schmidt, G.; Papaioannou, E.T.; Poulopoulos, P. Magnetic aspects and large exchange bias of Ni0.9Co0.1/NiCoO multilayers. Micro 2021, 1, 43–54. [Google Scholar] [CrossRef]
- Anyfantis, D.I.; Sarigiannidou, E.; Rapenne, L.; Stamatelatos, A.; Ntemogiannis, D.; Kapaklis, V.; Poulopoulos, P. Unexpected development of perpendicular magnetic anisotropy in Ni/NiO multilayers after mild thermal annealing. IEEE Magn. Lett. 2019, 10, 1–5. [Google Scholar] [CrossRef]
- Swartzendruber, L.J.; Itkin, V.P.; Alcock, C.B. The FeNi (IronNickel) system. J. Phase Equilibria 1991, 12, 288–312. [Google Scholar] [CrossRef]
- Vas’Ko, V.A.; Kief, M.T. Structure and properties of NiFe/NiFeO magnetic superlattice. J. App. Phys. 2005, 97, 9–12. [Google Scholar] [CrossRef]
- Lai, C.-H.; Wang, C.P.; Qian, C. Orientation effect on the exchange fields of NiFeO/NiFe bilayers. J. App. Phys. 1999, 85, 4990–4992. [Google Scholar] [CrossRef]
- Wang, J.; Cai, J.; Lin, Y.-H.; Nan, C.-W. Room temperature ferromagnetism observed in Fe doped NiO. App. Phys. Lett. 2005, 87, 1–3. [Google Scholar] [CrossRef]
- Lai, C.-H.; Bailey, W.E.; White, R.L. Exchange anisotropy in NiFe/Fe doped NiO bilayers. J. App. Phys. 1997, 81, 4990–4992. [Google Scholar] [CrossRef]
- Qian, Z.; Sivertsen, J.M.; Judy, J.H. Magnetic behavior of NiFe/NiO bilayers. J. App. Phys. 1998, 83, 6825–6827. [Google Scholar] [CrossRef]
- Blachowicz, T.; Ehrmann, A. Exchange bias in thin films—An update. Coatings 2021, 11, 122. [Google Scholar] [CrossRef]
- Meiklejohn, W.H.; Bean, C.P. New magnetic anisotropy. Phys. Rev. 1956, 102, 1413. [Google Scholar] [CrossRef]
- Nogués, J.; Sort, J.; Langlais, V.; Skumryev, V.; Suriñach, S.; Muñoz, J.S.; Baró, M.D. Exchange bias in nanostructures. Phys. Rep. 2005, 422, 65–117. [Google Scholar] [CrossRef]
- Flevaris, N.K.; Krishnan, R. Modulation-induced effects in magnetic multilayers: Perpendicular anisotropy, reversed hysteresis and magnetization enhancement. J. Magn. Magn. Mater. 1992, 104–107, 1760–1762. [Google Scholar] [CrossRef]
- Anyfantis, D.I.; Kanistras, N.; Barnasas, A.; Poulopoulos, P.; Papaioannou, E.T.; Conca, A.; Trachylis, D.; Politis, C. Effects of thermal annealing and Ni addition on the magnetic properties of Co–CoO multilayers. SPIN 2020, 40, 2050030. [Google Scholar] [CrossRef]
- Karoutsos, V. Scanning probe microscopy: Instrumentation and applications on thin films and magnetic multilayers. J. Nanosci. Nanotechnol. 2009, 9, 6783–6798. [Google Scholar] [CrossRef] [PubMed]
- Kapaklis, V.; Pappas, S.D.; Poulopoulos, P.; Trachylis, D.; Schweiss, P.; Polotis, C. Structure and magnetic properties of hcp and fcc nanocrystalline thin Ni films and nanoparticles produced by radio frequency magnetron sputtering. J. Nanosci. Nanotechnol. 2010, 10, 6024–6028. [Google Scholar] [CrossRef]
- Poulopoulos, P.; Angelakeris, M.; Papaioannou, E.T.; Flevaris, N.K.; Niarchos, D.; Nyvlt, M.; Prosser, V.; Visnovsky, S.; Mueller, C.; Fumagalli, P.; et al. Structural, magnetic, and spectroscopic magneto-optical properties aspects of Pt–Co multilayers with intentionally alloyed layers. J. Appl. Phys. 2003, 94, 7662. [Google Scholar] [CrossRef]
- Kiessig, H. Untersuchungen zur totalreflexion von röntgenstrahlen. Ann. Phys. 1931, 402, 715–768. [Google Scholar] [CrossRef]
- Björck, M.; Andersson, G. GenX: An extensible X-ray reflectivity refinement program utilizing differential evolution. J. Appl. Crystallogr. 2007, 40, 1174–1178. [Google Scholar] [CrossRef]
- O’Shea, M.J.; Al-Sharif, A.-L. Inverted hysteresis in magnetic systems with interface exchange. J. Appl. Phys. 1994, 75, 6673. [Google Scholar] [CrossRef]
- Wu, Y.Z.; Dong, G.S.; Jin, X.F. Negative magnetic remanence in Co/Mn/Co grown on GaAs(001). Phys. Rev. B 2001, 64, 214406. [Google Scholar] [CrossRef] [Green Version]
- Haycock, P.W.; Chioncel, M.F.; Shah, J. Remanence studies of cobalt thin films exhibiting inverse hysteresis. J. Magn. Magn. Mater. 2002, 1057, 242–245. [Google Scholar] [CrossRef]
- den Broeder, F.J.A.; Hoving, W.; Bloemen, P.J.H. Magnetic anisotropy of multilayers. J. Magn. Magn. Mater. 1991, 93, 562–570. [Google Scholar] [CrossRef]
- De Jonge, W.J.M.; Bloemen, P.J.H.; den Broeder, F.J.A. Experimental investigations of magnetic anisotropy. In Ultrathin Magnetic Structures I, 2nd ed.; Springer: Berlin, Germany, 1994; pp. 65–90. [Google Scholar]
- Jiles, D. Introduction to Magnetism and Magnetic Materials, 1st ed.; Chapman and Hall: New Delhi, India, 2015. [Google Scholar]
- Fromter, R.; Stillrich, H.; Menk, C.; Oepen, H.P. Imaging the cone state of the spin reorientation transition. Phys. Rev. Lett. 2008, 100, 207202. [Google Scholar] [CrossRef] [PubMed]
- Timopheev, A.A.; Sousa, R.; Chshiev, M.; Nguyen, H.T.; Dieny, B. Second order anisotropy contribution in perpendicular magnetic tunnel junctions. Sci. Rep. 2016, 6, 26877. [Google Scholar] [CrossRef] [Green Version]
- Okamoto, T.; Itoh, K.; Hashimoto, T. Estimation of the magnetocrystalline anisotropy of Cobalt films deposited at oblique incidence. J. Magn. Magn. Mater. 1990, 87, 379. [Google Scholar] [CrossRef]
- Wang, J.-P. Tilting for the top. Nat. Mater. 2005, 4, 191–192. [Google Scholar] [CrossRef]
- Umadevi, K.; Bysakh, S.; Chelvane, J.A.; Kamat, S.V.; Jayalakshmi, V. Tailoring magnetic anisotropy in Tb/Fe/Co thin films by rapid thermal annealing. J. Alloy. Compd. 2016, 663, 430. [Google Scholar] [CrossRef]
- Callen, H.B.; Callen, E. The present status of the temperature dependence of magnetocrystalline anisotropy, and the l(l+1)/2 power law. J. Phys. Chem. Solids 1966, 27, 1271. [Google Scholar] [CrossRef]











| tNiFe (nm) | N × Λ (nm) | t (nm) | RMSNiFe (nm) | RMSNiFeO (nm) |
|---|---|---|---|---|
| 84 | 1 × 84 | 84 | 0.78 | - |
| 5.1 | 6 × 6.5 | 39 | - | - |
| 4.2 | 7 × 5.6 | 39.2 | - | - |
| 2.7 | 10 × 4.1 | 41 | 0.42 | 0.49 |
| 1.8 | 13 × 3.2 | 41.6 | - | - |
| 1.2 | 17 × 2.6 | 44.2 | 0.62 | 0.44 |
| 0.8 | 21 × 2.2 | 46.2 | 0.99 | 1.14 |
| 0.6 | 23 × 2 | 46 | - | - |
Publisher’s Note: MDPI stays neutral with regard to jurisdictional claims in published maps and institutional affiliations. |
© 2022 by the authors. Licensee MDPI, Basel, Switzerland. This article is an open access article distributed under the terms and conditions of the Creative Commons Attribution (CC BY) license (https://creativecommons.org/licenses/by/4.0/).
Share and Cite
Anyfantis, D.I.; Ballani, C.; Kanistras, N.; Barnasas, A.; Kapaklis, V.; Schmidt, G.; Papaioannou, E.T.; Poulopoulos, P. Growth, Magnetic Anisotropies and Exchange Bias of Thin Ni0.95Fe0.05/NiFeO Multilayers. Coatings 2022, 12, 627. https://doi.org/10.3390/coatings12050627
Anyfantis DI, Ballani C, Kanistras N, Barnasas A, Kapaklis V, Schmidt G, Papaioannou ET, Poulopoulos P. Growth, Magnetic Anisotropies and Exchange Bias of Thin Ni0.95Fe0.05/NiFeO Multilayers. Coatings. 2022; 12(5):627. https://doi.org/10.3390/coatings12050627
Chicago/Turabian StyleAnyfantis, Dimitrios I., Camillo Ballani, Nikos Kanistras, Alexandros Barnasas, Vassilios Kapaklis, Georg Schmidt, Evangelos Th. Papaioannou, and Panagiotis Poulopoulos. 2022. "Growth, Magnetic Anisotropies and Exchange Bias of Thin Ni0.95Fe0.05/NiFeO Multilayers" Coatings 12, no. 5: 627. https://doi.org/10.3390/coatings12050627
APA StyleAnyfantis, D. I., Ballani, C., Kanistras, N., Barnasas, A., Kapaklis, V., Schmidt, G., Papaioannou, E. T., & Poulopoulos, P. (2022). Growth, Magnetic Anisotropies and Exchange Bias of Thin Ni0.95Fe0.05/NiFeO Multilayers. Coatings, 12(5), 627. https://doi.org/10.3390/coatings12050627

