Preparation and Temperature Susceptibility Evaluation of Crumb Rubber Modified Asphalt Applied in Alpine Regions
Abstract
:1. Introduction
2. Materials and Methods
2.1. Materials
2.1.1. Matrix Asphalt
2.1.2. Crumb Rubber
2.1.3. Trans-Polyoctenamer Rubber Reactive Modifier
2.2. Methods
2.2.1. Preparation Method of Crumb Rubber Modified Asphalt
2.2.2. Determination of TOR Content
2.2.3. Dynamic Shear Rheological Test
2.2.4. Bending Beam Rheometer Test
2.2.5. Microcosmic Test of Crumb Rubber Modified Asphalt
3. Results and Discussion
3.1. Preparation of Crumb Rubber Modified Asphalt
3.1.1. Analysis of Orthogonal Test Results
3.1.2. Determination of TOR Content
3.2. Investigation on High Temperature Performance of Asphalt
3.2.1. Phase Angle
3.2.2. Complex Modulus Exponent
3.2.3. Rutting Factor
3.3. Low Temperature Performance Evaluation of Asphalt
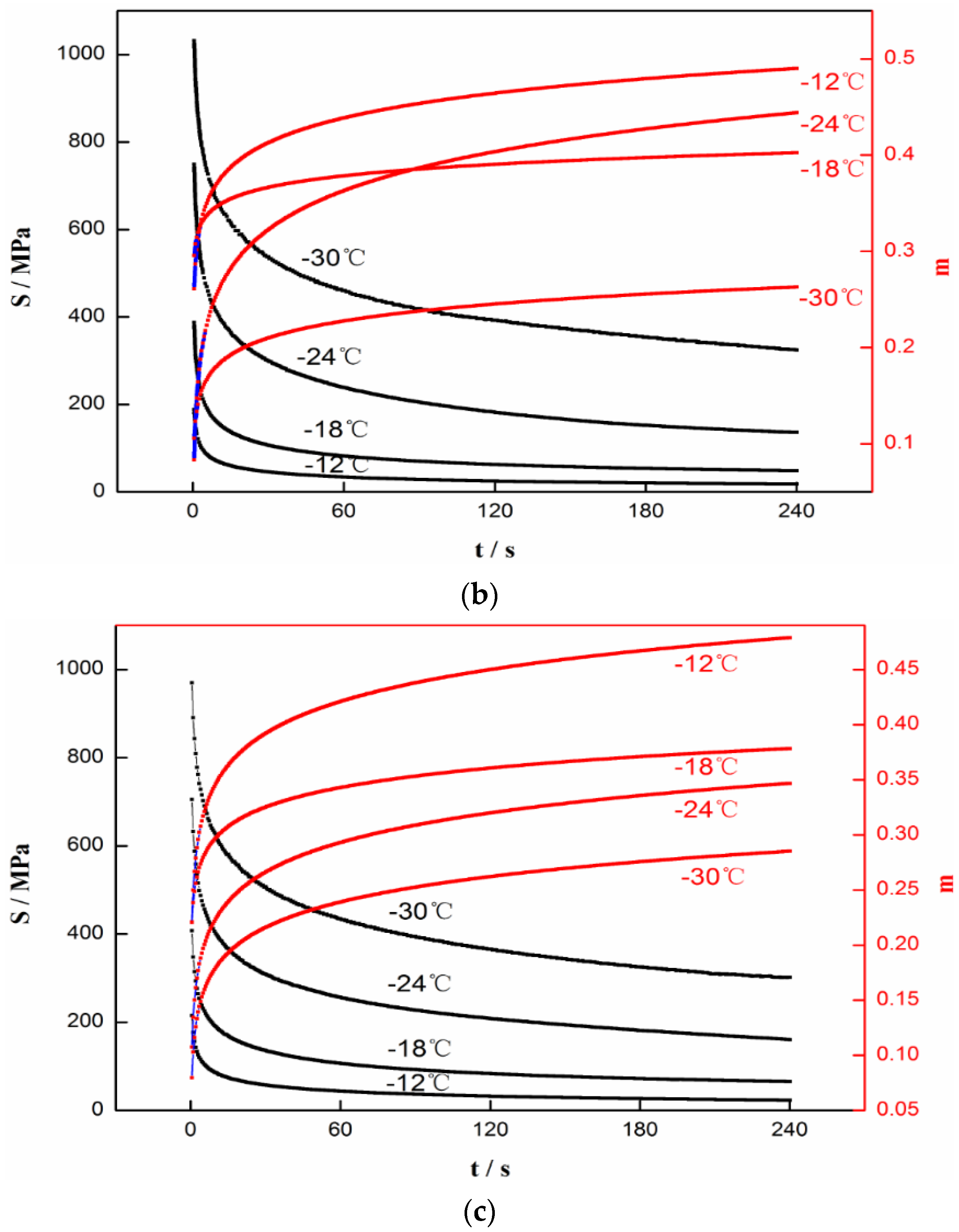
3.3.1. Low Temperature Creep Test
3.3.2. m/S Value in Creep Compliance
3.3.3. Determine Burgers Model Parameters
3.3.4. Dissipated Energy Ratio
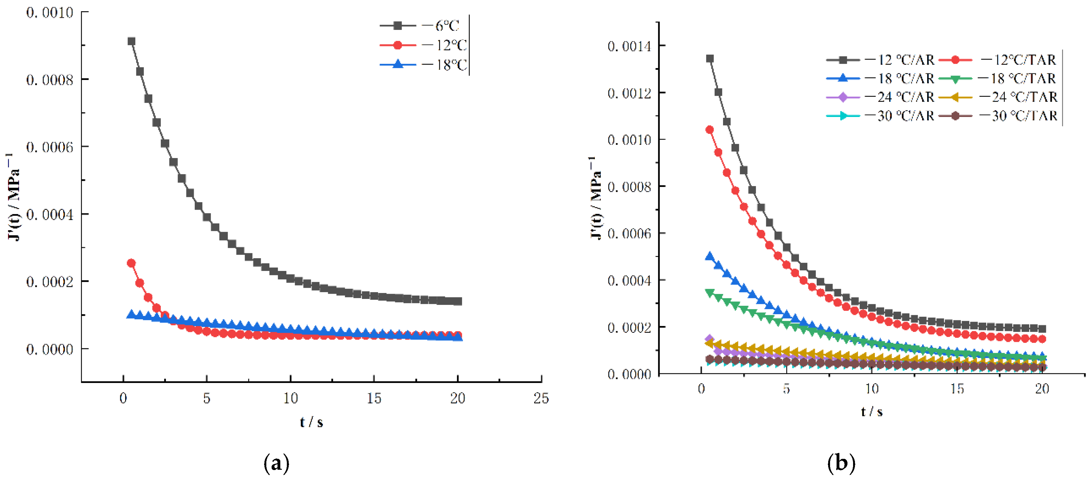
3.3.5. Derivative of Creep Compliance
4. Microscopic Mechanism Analysis
5. Conclusions
- The preparation process of crumb rubber modified asphalt (AR and TAR) suitable for alpine region was determined. Crumb rubber is selected 30 mesh, and the content is 24%. The preparation temperature and shearing rate are 205 °C and 5000 r/min, respectively. Shearing time is confirmed to be 60 min. TOR content is 4.5% of the quality of crumb rubber.
- PG grading is PG64-22 of JZ, PG70-34 of AR, and PG82-28 of TAR. The deformation resistance of TAR at high temperatures is superior to AR, but its crack resistance at low temperatures is relatively poor.
- The crumb rubber can improve the temperature susceptibility, and enhance its viscoelasticity at low temperatures. Meanwhile, the relaxation time is reduced. The dissipated energy and stress relaxation capacity are increased. Under the same temperature, the velocity of asphalt entering the creep stable phase decreases. The lower the temperature is, the less time it takes for asphalt to reach creep stability.
- When the crumb rubber is dispersed in the asphalt system, the surface of the crumb rubber absorbs the light components to produce swelling, and the network structures are cross-linked inside. If TOR is added, it can further enhance the swelling and network crosslinking effects of rubber–asphalt. In the asphalt system, the amount of precipitation of crumb rubber is reduced in a certain time. TOR, and the effects of desulfurization and depolymerization, enhance the storage stability in high temperature conditions.
- Based on the research results of temperature susceptibility of crumb rubber modified asphalt in alpine regions, its storage stability and weather resistance under the coupling effect of multiple factors should be further explored. The references for the design and construction of crumb rubber modified asphalt pavement are provided in alpine regions.
Author Contributions
Funding
Institutional Review Board Statement
Informed Consent Statement
Data Availability Statement
Conflicts of Interest
References
- Wei, S.I.; Biao, M.A.; Nan, X.I.; Zeren, G.E. Compression characteristics of asphalt mixture under freeze-thaw cycles in cold plateau region. J. Highw. Transp. Res. Dev. 2013, 30, 6–10. [Google Scholar]
- Gao, W.; Dong, N.; Wang, X.; Zeng, M. Test Analysis on Drainage Base Mixture of Asphalt Pavement in Cold Area. In IOP Conference Series: Earth and Environmental Science; IOP Publishing: Beijing, China, 2020; Volume 510, p. 052006. [Google Scholar]
- Behnia, B.; Buttlar, W.G.; Reis, H. Cooling cycle effects on low temperature cracking characteristics of asphalt concrete mixture. Mater. Struct. 2014, 47, 1359–1371. [Google Scholar] [CrossRef]
- Palit, S.K.; Reddy, K.S.; Pandey, B.B. Laboratory evaluation of crumb rubber modified asphalt mixes. J. Mater. Civ. Eng. 2004, 16, 45–53. [Google Scholar] [CrossRef]
- Li, H.; Li, W.; Sheng, Y.; Lv, H. Influence of compound action of rubber powder and SBS on high-temperature performance of asphalt pavement surface. J. Mater. Civ. Eng. 2021, 33, 04021126. [Google Scholar] [CrossRef]
- Ai, C.-F. Characteristics and Design Methods of Asphalt Pavement in Plateau-Cold Region. Diploma Thesis, Southwest Jiaotong University, Chengdu, China, 2008. [Google Scholar]
- Liu, J.N.; Qi, L.; Wang, X.F.; Li, M.; Wang, Z.J. Influence of aging induced by mutation in temperature on property and microstructure development of asphalt binders. Constr. Build. Mater. 2022, 319, 126083. [Google Scholar] [CrossRef]
- Liu, J.N.; Zhang, T.H.; Guo, H.Y.; Wang, Z.J.; Wang, X.F. Evaluation of self-healing properties of asphalt mixture containing steel slag under microwave heating: Mechanical, thermal transfer and voids microstructural characteristics. J. Clean. Prod. 2022, 342, 130932. [Google Scholar] [CrossRef]
- Li, P.; Jiang, X.; Ding, Z.; Zhao, J.; Shen, M. Analysis of viscosity and composition properties for crumb rubber modified asphalt. Constr. Build. Mater. 2018, 169, 638–647. [Google Scholar] [CrossRef]
- Wang, Q.Z.; Wang, N.N.; Tseng, M.L.; Huang, Y.M.; Li, N.L. Waste tire recycling assessment: Road application potential and carbon emissions reduction analysis of crumb rubber modified asphalt in China. J. Clean. Prod. 2020, 249, 119411. [Google Scholar] [CrossRef]
- Erpeng, D.; Songlin, M.A.; Haimin, J. Asphalt pavement performance prediction model based on gray system theory. J. Tongji Univ. 2010, 38, 1161–1164. [Google Scholar]
- Liu, W.; Xu, Y.; Wang, H.; Shu, B.; Barbieri, D.M.; Norambuena-Contreras, J. Enhanced Storage Stability and Rheological Properties of Asphalt Modified by Activated Waste Rubber Powder. Materials 2021, 14, 2693. [Google Scholar] [CrossRef]
- Tao, M.A.; Chen, C.-L.; Zhang, Y.; Zhang, W.-G. Development of Using Crumb Rubber in Asphalt Modification: A Review. China J. Highw. Transp. 2021, 34, 1. [Google Scholar]
- Picado-Santos, L.G.; Capitão, S.D.; Neves, J.M.C. Crumb rubber asphalt mixtures: A literature review. Constr. Build. Mater. 2020, 247, 118577. [Google Scholar] [CrossRef]
- Ding, X.; Ma, T.; Zhang, W.; Zhang, D. Experimental study of stable crumb rubber asphalt and asphalt mixture. Constr. Build. Mater. 2017, 157, 975–981. [Google Scholar] [CrossRef]
- Azizian, M.F.; Nelson, P.O.; Thayumanavan, P.; Williamson, K.J. Environmental impact of highway construction and repair materials on surface and ground waters: Case study: Crumb rubber asphalt concrete. Waste Manag. 2003, 23, 719–728. [Google Scholar] [CrossRef]
- Shill, S.K.; Al-Deen, S.; Ashraf, M. Saponification and scaling in ordinary concrete exposed to hydrocarbon fluids and high temperature at military airbases. Constr. Build. Mater. 2019, 215, 765–776. [Google Scholar] [CrossRef]
- Rocha Segundo, I.G.; Dias, E.A.; Fernandes, F.D.; Freitas, E.F.; Costa, M.F.; Carneiro, J.O. Photocatalytic asphalt pavement: The physicochemical and rheological impact of TiO2 nano/microparticles and ZnO microparticles onto the bitumen. Road Mater. Pavement Des. 2019, 20, 1452–1467. [Google Scholar] [CrossRef] [Green Version]
- Ding, X.; Chen, L.; Ma, T.; Ma, H.; Gu, L.; Chen, T.; Ma, Y. Laboratory investigation of the recycled asphalt concrete with stable crumb rubber asphalt binder. Constr. Build. Mater. 2019, 203, 552–557. [Google Scholar] [CrossRef]
- Xiang, L.; Cheng, J.; Que, G. Microstructure and performance of crumb rubber modified asphalt. Constr. Build. Mater. 2009, 23, 3586–3590. [Google Scholar] [CrossRef]
- Rocha Segundo, I.; Landi, S.; Margaritis, A.; Pipintakos, G.; Freitas, E.; Vuye, C.; Blom, J.; Tytgat, T.; Denys, S.; Carneiro, J. Physicochemical and rheological properties of a transparent asphalt binder modified with nano-TiO2. Nanomaterials 2020, 10, 2152. [Google Scholar] [CrossRef]
- Picado-Santos, L.G.; Capitão, S.D.; Dias, J.L.F. Crumb rubber asphalt mixtures by dry process: Assessment after eight years of use on a low/medium trafficked pavement. Constr. Build. Mater. 2019, 215, 9–21. [Google Scholar] [CrossRef]
- Jamal, M.; Giustozzi, F. Low-content crumb rubber modified asphalt for improving Australian local roads condition. J. Clean. Prod. 2020, 271, 122484. [Google Scholar] [CrossRef]
- Torretta, V.; Rada, E.C.; Ragazzi, M.; Trulli, E.; Istrate, I.A.; Cioca, L.I. Treatment and disposal of tyres: Two EU approaches. A review. Waste Manag. 2015, 45, 152–160. [Google Scholar] [CrossRef] [PubMed]
- Li, J.; Zhu, Y.; Wang, H.; Wang, S.; Zhang, Y.; Zhang, Y. High temperature storage stability of asphalt modified with crumb rubber. China Synth. Rubber Ind. 2009, 32, 259–263. [Google Scholar]
- Singh, D.; Sawant, D.; Xiao, F. High and Intermediate Temperature Performance Evaluation of Crumb Rubber Modified Binders with RAP. Transp. Geotech. 2016, 10, 13–21. [Google Scholar] [CrossRef]
- Dias, J.L.F.; Picado-Santos, L.G.; Capitão, S.D. Mechanical performance of dry process fine crumb rubber asphalt mixtures placed on the Portuguese road network. Constr. Build. Mater. 2014, 73, 247–254. [Google Scholar] [CrossRef]
- Yu, H.; Chen, Y.; Wu, Q.; Zhang, L.; Zhang, Z.; Zhang, J.; Miljković, M.; Oeser, M. Decision support for selecting optimal method of recycling waste tire rubber into wax-based warm mix asphalt based on fuzzy comprehensive evaluation. J. Clean. Prod. 2020, 265, 121781. [Google Scholar] [CrossRef]
- Zhang, L.; Xing, C.; Gao, F.; Li, T.S.; Tan, Y.Q. Using DSR and MSCR tests to characterize high temperature performance of different rubber modified asphalt. Constr. Build. Mater. 2016, 127, 466–474. [Google Scholar] [CrossRef]
- Chen, Z.; Wang, T.; Pei, J.; Amirkhanian, S.; Xiao, F.; Ye, Q.; Fan, Z. Low temperature and fatigue characteristics of treated crumb rubber modified asphalt after a long-term aging procedure. J. Clean. Prod. 2019, 234, 1262–1274. [Google Scholar] [CrossRef]
- Chen, S.; Gong, F.; Ge, D.; You, Z.; Sousa, J.B. Use of reacted and activated rubber in ultra-thin hot mixture asphalt overlay for wet-freeze climates. J. Clean. Prod. 2019, 232, 369–378. [Google Scholar] [CrossRef]
- Fiore, N.; Caro, S.; D’Andrea, A.; Scarsella, M. Evaluation of asphalt modification with crumb rubber obtained through a high pressure water jet (HPWJ) process. Constr. Build. Mater. 2017, 151, 682–691. [Google Scholar] [CrossRef]
- Ragab, M.; Abdelrahman, M. Enhancing the Crumb Rubber Modified Asphalt’s Storage Stability through the Control of its Internal Network Structure. Int. J. Pavement Res. Technol. 2017, 11, 13–27. [Google Scholar] [CrossRef]
- Chang, M.; Zhang, Y.; Pei, J.; Zhang, J.; Wang, M.; Ha, F. Low-Temperature Rheological Properties and Microscopic Characterization of Asphalt Rubbers Containing Heterogeneous Crumb Rubbers. Materials 2020, 13, 4120. [Google Scholar] [CrossRef] [PubMed]
- Lu, Z.; Li, B.; Yang, X.; Wei, Y.; Zhang, Z. Production Process Parameter Optimization for Crumb Rubber Modified Asphalt Based on TOPSIS. J. Highw. Transp. Res. Dev. 2017, 34, 1–7. [Google Scholar]
- Liang, M.; Xin, X.; Fan, W.; Sun, H.; Yao, Y.; Xing, B. Viscous properties, storage stability and their relationships with microstructure of tire scrap rubber modified asphalt. Constr. Build. Mater. 2015, 74, 124–131. [Google Scholar] [CrossRef]
- Xiang, L.; Cheng, J.; Kang, S. Thermal oxidative aging mechanism of crumb rubber/SBS composite modified asphalt. Constr. Build. Mater. 2015, 75, 169–175. [Google Scholar] [CrossRef]
- Wang, L.; Wang, Z.; Li, C. Low temperature performance of polyphosphoric acid asphalt based on viscoelastic theory. Acta Mater. Compos. Sin. 2017, 34, 322–328. [Google Scholar]
- Hosseinnezhad, S.; Kabir, S.F.; Oldham, D.; Mousavi, M.; Fini, E.H. Surface functionalization of rubber particles to reduce phase separation in rubberized asphalt for sustainable construction. J. Clean. Prod. 2019, 225, 82–89. [Google Scholar] [CrossRef]
- Yang, X.; You, Z.; Hasan, M.R.; Diab, A.; Shao, H.; Chen, S.; Ge, D. Environmental and mechanical performance of crumb rubber modified warm mix asphalt using Evotherm. J. Clean. Prod. 2017, 159, 346–358. [Google Scholar] [CrossRef]
- Liu, S.; Cao, W.; Shang, S.; Qi, H.; Fang, J. Analysis and application of relationships between low-temperature rheological performance parameters of asphalt binders. Constr. Build. Mater. 2010, 24, 471–478. [Google Scholar] [CrossRef]
- Wang, S.; Guo, C.; Peng, F. Research on modified mechanism of asphalt with crumb tire rubber. J. Chang. Univ. 2010, 4, 34–38. [Google Scholar]
- Wang, K.; Hao, P. Analysis of asphalt low temperature performance and viscoelasticity based on BBR test. J. Liaoning Tech. Univ. 2016, 10, 1138–1143. [Google Scholar]
- Mashaan, N.S.; Ali, A.H.; Karim, M.R.; Abdelaziz, M. An overview of crumb rubber modified asphalt. Int. J. Phys. Sci. 2012, 7, 166–170. [Google Scholar]
- Jeong, K.D.; Lee, S.J.; Amirkhanian, S.N.; Kim, K.W. Interaction effects of crumb rubber modified asphalt binders. Constr. Build. Mater. 2010, 24, 824–831. [Google Scholar] [CrossRef]
- Bocci, E.; Prosperi, E. Recycling of reclaimed fibers from end-of-life tires in hot mix asphalt. J. Traffic Transp. Eng. 2020, 7, 678–687. [Google Scholar] [CrossRef]
- Wang, H.; Ma, Z.; Chen, X.; Hasan, M.R.M. Preparation process of bio-oil and bio-asphalt, their performance, and the application of bio-asphalt: A comprehensive review. J. Traffic Transp. Eng. 2020, 7, 137–151. [Google Scholar] [CrossRef]
- Liu, J.H. Experimental Study on Improving the Performance of Rubber with TOR. Diploma Thesis, Changsha University of Science and Technology, Changsha, China, 2019. [Google Scholar]



























| Test Items | Unit | Results | Technical Requirements | Methods | |
|---|---|---|---|---|---|
| Penetration (25 °C, 100 g, 5 s) | 0.1 mm | 94.5 | 80~100 | T0604 | |
| Ductility (15 °C, 5 cm/min) | cm | >150 | ≮100 | T0605 | |
| Softening Point (R&B) | °C | 46.0 | ≮44 | T0606 | |
| Solubility | % | 99.6 | ≮99.5 | T0607 | |
| Brookfield viscosity (135 °C) | Pa∙s | 1.885 | - | T0625 | |
| Flash point | °C | 260 | ≮245 | T0611 | |
| Specific gravity | g/cm3 | 1.030 | Measured value | T0603 | |
| RTFOT (163 °C, 75 min) | Mass loss | % | +0.4 | ±0.8 | T0610 |
| Ductility (10 °C) | cm | 12 | ≮8 | T0605 | |
| Penetration ratio (25 °C) | % | 57.8 | ≮57 | T0604 | |
| Tire Type | Material Content (%) | ||||||
|---|---|---|---|---|---|---|---|
| Rubber | Black Carbon | Metal | Fabric | Zinc Oxide | Sulphur | Additive | |
| Car | 48 | 22 | 15 | 5 | 5 | 1 | 4 |
| Truck | 43 | 21 | 27 | - | 2 | 1 | 6 |
| Index | Metal Content (%) | Fiber Content (%) | Moisture Content (%) | Relative Density |
|---|---|---|---|---|
| Technical requirements ① | ≤0.05 | ≤1 | ≤1 | 1.10~1.30 |
| Test results | 0.023 | 0 | 0.3 | 1.20 |
| Index | Rubber Hydrocarbon Content (%) | Ash Content (%) | Acetone Extract (%) | Carbon Black Content (%) |
|---|---|---|---|---|
| Technical requirements ① | ≥42 | ≤8 | ≤22 | ≥28 |
| Test results | 57.5 | 6.9 | 12.1 | 31.5 |
| Test Item | Unit | Result | Method |
|---|---|---|---|
| Molecular weight (GPC) | / | 90,000 | Acc-DIN55672-1 |
| Glass-transition temperature (Tg) | °C | −65 | ISO 11357 |
| Crystallinity (23 °C) | % | −30 | ISO 11357 |
| Melting point | °C | 54 | ISO 11357 |
| Thermal decomposition (TGA) | °C | 275 | ISO 11357 |
| Cis/trans double bond ratio | % | 20/80 | SOP 0188 |
| Mooney viscosity | / | <10 | ASTM D1646 |
| Ash content | % | ≤0.1 | DIN535568.Part1 |
| Volatile substance (1 h, 105 °C) | % | ≤0.5 | ISO 248 |
| Density (23 °C) | g/cm3 | 0.910 | ISO 1183 |
| Level | Factor | ||||
|---|---|---|---|---|---|
| A/Crumb Rubber (Mesh) | B/Crumb Rubber Content (%) | C/Shear Time (min) | D/Preparation Temperature (°C) | E/Shear Rate (r/min) | |
| 1 | 25 | 12 | 45 | 175 | 3500 |
| 2 | 40 | 16 | 60 | 190 | 4000 |
| 3 | 60 | 20 | 75 | 205 | 4500 |
| 4 | 80 | 24 | 90 | 220 | 5000 |
| Scheme | Crumb Rubber (Mesh) | Content (%) | Shear Time (min) | Preparation Temperature (°C) | Shear Rate (r/min) |
|---|---|---|---|---|---|
| 1 | 25 | 12 | 45 | 175 | 3500 |
| 2 | 25 | 16 | 60 | 190 | 4000 |
| 3 | 25 | 20 | 75 | 205 | 4500 |
| 4 | 25 | 24 | 90 | 220 | 5000 |
| 5 | 30 | 12 | 60 | 205 | 5000 |
| 6 | 30 | 16 | 45 | 220 | 4500 |
| 7 | 30 | 20 | 90 | 175 | 4000 |
| 8 | 30 | 24 | 75 | 190 | 3500 |
| 9 | 40 | 12 | 75 | 220 | 4000 |
| 10 | 40 | 16 | 90 | 205 | 3500 |
| 11 | 40 | 20 | 45 | 190 | 5000 |
| 12 | 40 | 24 | 60 | 175 | 4500 |
| 13 | 60 | 12 | 90 | 190 | 4500 |
| 14 | 60 | 16 | 75 | 175 | 5000 |
| 15 | 60 | 20 | 60 | 220 | 3500 |
| 16 | 60 | 24 | 45 | 205 | 4000 |
| Number | Penetration (25 °C, 100 g, 5 s) (0.1 mm) | Ductility (15 °C, 5 cm/min) (cm) | Softening Point (°C) | Elastic Recovery Rate (%) | Cone Penetration of 25 °C (cm) | Segregation Softening Point Difference (°C) | Viscosity of 180 °C (cp) | |B| Value | Shearing Strength (kPa) |
|---|---|---|---|---|---|---|---|---|---|
| 1 | 53.2 | 8.9 | 57.4 | 56 | 48.3 | 3.6 | 537.5 | 788.4 | 70.3 |
| 2 | 54.2 | 11.5 | 59.8 | 71 | 53.2 | 5.3 | 1040.0 | 772.2 | 58.4 |
| 3 | 77.3 | 13.2 | 54.2 | 43 | 71.6 | 3.2 | 830.0 | 862.2 | 32.8 |
| 4 | 85.4 | 16.9 | 53.7 | 38 | 82.6 | 3.0 | 675.0 | 725.6 | 24.4 |
| 5 | 67.7 | 9.6 | 54.2 | 56 | 58.5 | 0.6 | 395.0 | 673.4 | 48.2 |
| 6 | 73.4 | 11.2 | 54.4 | 71 | 64.2 | 8.7 | 520.0 | 766.7 | 40.9 |
| 7 | 52.7 | 12.0 | 62.8 | 68 | 48.9 | 6.7 | 1815.0 | 896.3 | 68.4 |
| 8 | 58.9 | 13.8 | 63.6 | 78 | 50.3 | 3.7 | 1775.0 | 814.0 | 64.1 |
| 9 | 78.1 | 12.2 | 52.6 | 66 | 67.4 | 4.8 | 342.5 | 761.0 | 36.0 |
| 10 | 81 | 14.2 | 52.3 | 54 | 73.2 | 3.1 | 307.5 | 814.9 | 30.5 |
| 11 | 84.1 | 16.6 | 52.7 | 58 | 76.9 | 5.3 | 530.0 | 821.6 | 28.4 |
| 12 | 46.5 | 12.5 | 66.4 | 82 | 37.1 | 2.6 | 2160.0 | 749.1 | 118.3 |
| 13 | 74.4 | 10.6 | 50.3 | 42 | 64.5 | 1.3 | 172.5 | 872.1 | 40.7 |
| 14 | 85.3 | 12.0 | 50.9 | 78 | 12.2 | 3.1 | 307.5 | 761.1 | 27.3 |
| 15 | 84.2 | 14.2 | 51.2 | 64 | 76.1 | 5.4 | 390.0 | 798.1 | 28.2 |
| 16 | 87.4 | 17.7 | 54.0 | 70 | 72.9 | 4.4 | 852.5 | 800.1 | 31.1 |
| Factor | Penetration (25 °C, 100 g, 5 s) (0.1 mm) | Ductility (15 °C, 5 cm/min) (cm) | Softening Point (°C) | Elastic Recovery Rate (%) | Viscosity (cp) | Segregation Softening Point Difference (°C) | |B| Value | Shearing Strength (KPa) |
|---|---|---|---|---|---|---|---|---|
| A/Powder mesh | 19.7 | 2.2 | 7.2 | 16.3 | 695.6 | 1.4 | 21.2 | 23.5 |
| B/Powder content | 6.4 | 5.0 | 5.1 | 13.5 | 1003.8 | 2.6 | 72.3 | 20.5 |
| C/shear time | 11.6 | 1.7 | 3.3 | 17.8 | 386.3 | 2.0 | 79.0 | 23.3 |
| D/Preparation temperature | 20.7 | 1.8 | 6.4 | 15.2 | 653.9 | 2.7 | 57.1 | 38.8 |
| E/Shear rate | 12.8 | 1.9 | 3.5 | 11.3 | 535.6 | 2.3 | 67.2 | 25.5 |
| Index | Factors Influence the Order of Significance | Optimal Portfolio |
|---|---|---|
| Penetration | D/Preparation temperature > A/Powder mesh > E/Shear rate > C/shear time > B/Powder content | A4-B3-C3-D4-E4 |
| Ductility | B/Powder content > A/Powder mesh > E/Shear rate > D/Preparation temperature > C/shear time | A3-B4-C1-D3-E4 |
| Softening point | A/Powder mesh > D/Preparation temperature > B/Powder content > E/Shear rate > C/shear time | A2-B4-C2-D1-E2 |
| Elastic recovery rate | C/shear time >A/Powder mesh > D/Preparation temperature > B/Powder content > E/Shear rate | A2-B4-C2-D2-E2 |
| Viscosity | B/Powder content > A/Powder mesh > D/Preparation temperature > E/Shear rate > C/shear time | A4-B1-C1-D4-E4 |
| Segregation softening point difference | D/Preparation temperature > B/Powder content > E/Shear rate > C/shear time > A/Powder mesh | A4-B1-C2-D3-E4 |
| |B| value | C/shear time > B/Powder content > D/Preparation temperature > E/Shear rate > A/Powder mesh | A1-B4-C2-D3-E4 |
| Shearing strength | D/Preparation temperature > E/Shear rate > A/Powder mesh > C/shear time > B/Powder content | A2-B4-C2-D1-E3 |
| Asphalt | −6 °C | −12 °C | −18 °C | |||
|---|---|---|---|---|---|---|
| m | S/MPa | m | S/MPa | m | S/MPa | |
| JZ | 0.449 | 47.6 | 0.365 | 123 | 0.286 | 296 |
| Asphalt | −12 °C | −18 °C | −24 °C | −30 °C | ||||
|---|---|---|---|---|---|---|---|---|
| m | S/MPa | m | S/MPa | m | S/MPa | m | S/MPa | |
| AR | 0.436 | 33.7 | 0.378 | 80.6 | 0.358 | 235 | 0.232 | 455 |
| TAR | 0.42 | 43.1 | 0.343 | 106 | 0.297 | 253 | 0.236 | 430 |
| Asphalt | Temperature (°C) | R2 | E1 | E2 | N1 | N2 | λ | τ |
|---|---|---|---|---|---|---|---|---|
| JZ | −6 | 0.9944 | 280.857 | 280.857 | 7461.986 | 1135.144 | 26.5686 | 4.0417 |
| −12 | 0.9928 | 285.224 | 2169.703 | 26,020.424 | 3365.985 | 91.2280 | 1.5514 | |
| −18 | 0.9934 | 789.674 | 789.674 | 92,339.996 | 10,941.991 | 116.9343 | 13.8563 | |
| AR | −12 | 0.9934 | 199.717 | 199.717 | 5398.507 | 756.450 | 27.0308 | 3.7876 |
| −18 | 0.9915 | 385.665 | 385.665 | 17,037.055 | 2070.255 | 44.1758 | 5.3680 | |
| −24 | 0.9952 | 723.123 | 723.123 | 48,590.296 | 7549.043 | 67.1951 | 10.4395 | |
| −30 | 0.9369 | 956.527 | 956.527 | 191,557.173 | 19,670.318 | 200.2632 | 20.5643 | |
| TAR | −12 | 0.9939 | 222.573 | 222.573 | 7354.134 | 987.512 | 33.0414 | 4.4368 |
| −18 | 0.9913 | 388.469 | 388.469 | 25,389.389 | 3049.974 | 65.3576 | 7.8513 | |
| −24 | 0.9945 | 667.333 | 667.333 | 72,246.635 | 8309.587 | 108.2617 | 12.4519 | |
| −30 | 0.9940 | 905.090 | 905.090 | 159,510.036 | 17,540.130 | 176.2367 | 19.3794 |
Publisher’s Note: MDPI stays neutral with regard to jurisdictional claims in published maps and institutional affiliations. |
© 2022 by the authors. Licensee MDPI, Basel, Switzerland. This article is an open access article distributed under the terms and conditions of the Creative Commons Attribution (CC BY) license (https://creativecommons.org/licenses/by/4.0/).
Share and Cite
Zong, Y.; Xiong, R.; Tian, Y.; Chang, M.; Wang, X.; Yu, J.; Zhang, Y.; Feng, B.; Wang, H.; Li, C. Preparation and Temperature Susceptibility Evaluation of Crumb Rubber Modified Asphalt Applied in Alpine Regions. Coatings 2022, 12, 496. https://doi.org/10.3390/coatings12040496
Zong Y, Xiong R, Tian Y, Chang M, Wang X, Yu J, Zhang Y, Feng B, Wang H, Li C. Preparation and Temperature Susceptibility Evaluation of Crumb Rubber Modified Asphalt Applied in Alpine Regions. Coatings. 2022; 12(4):496. https://doi.org/10.3390/coatings12040496
Chicago/Turabian StyleZong, Youjie, Rui Xiong, Yaogang Tian, Mingfeng Chang, Xiaowen Wang, Jiahao Yu, Yixing Zhang, Baozhu Feng, Haoyu Wang, and Chuang Li. 2022. "Preparation and Temperature Susceptibility Evaluation of Crumb Rubber Modified Asphalt Applied in Alpine Regions" Coatings 12, no. 4: 496. https://doi.org/10.3390/coatings12040496
APA StyleZong, Y., Xiong, R., Tian, Y., Chang, M., Wang, X., Yu, J., Zhang, Y., Feng, B., Wang, H., & Li, C. (2022). Preparation and Temperature Susceptibility Evaluation of Crumb Rubber Modified Asphalt Applied in Alpine Regions. Coatings, 12(4), 496. https://doi.org/10.3390/coatings12040496
