Evolution Law and Mechanism of Freeze–Thaw Damage of Cement-Stabilized Weathered Sand
Abstract
:1. Introduction
2. Materials and Methods
2.1. Materials
2.2. Testing Methods
2.2.1. Sample Preparation
2.2.2. Freeze–Thaw Cycle Test
2.2.3. UCS Test
2.2.4. SEM Test
2.2.5. MIP Test
2.2.6. SEM Image Processing
3. Results and Discussion
3.1. Deterioration Characteristics of Stabilized Weathered Sand
3.1.1. Degradation of Surface Appearance
3.1.2. Mass Change
3.1.3. Loss of Strength
3.2. Microscopic Characteristics of Stabilized Weathered Sand
3.2.1. Evolution Characteristics of the Microstructure
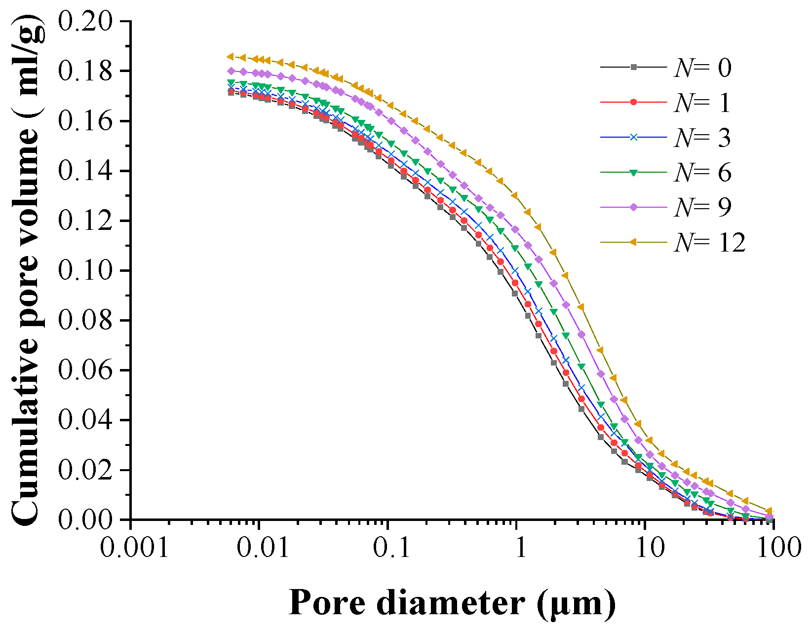
3.2.2. Evolution Characteristics of Pore Diameter
3.2.3. Evolution Characteristics of Pore Shape
3.2.4. Evolution Characteristics of Particle Shape
4. Deterioration Mechanism
5. Conclusions
- (1)
- Early freeze–thaw action caused tiny particles on the surface of the specimen to peel off. As the number of freeze–thaw cycles increased, the peeling area and depth of the specimen expanded further until the specimen lost its integrity.
- (2)
- When N ≤ 7, the mass change of the specimen was positive, and the dominant factor affecting specimen mass at this stage was the amount of water entering. When N ≥ 8, the mass change of specimen was negative, and the controlling factor of the mass change was particles shedding.
- (3)
- As the number of freeze–thaw cycles increased, the unconfined compressive strength of the specimens decreased gradually. When N = 9, the strength loss rate of the specimen was 55%. After that, the freeze–thaw action had less influence on the strength of the specimen.
- (4)
- The freeze–thaw action caused the loss of fine particles and hydration products wrapped or filled around the coarse particles, leading to continuous accumulation and expansion of micro cracks and micro pores, and then interpenetrated to form large pores. In this process, the particle skeleton of the stabilized weathered sand changed from dense structure to porous structure.
- (5)
- When N ≤ 9, the average abundance of pores inside the specimen increased with the increase of number of freeze–thaw cycles, while the average abundance of particles decreased. The main reason is that the freeze–thaw action made the pores expand and connect, and at the same time, the cements attached to the particles’ surface continuously dissolves. When N > 9, the development trend of pore and particle abundance changed due to the damage of soil structure.
- (6)
- For cement-stabilized weathering sand, the performance deterioration caused by freeze–thaw cycles is a process of continuous accumulation of micro damage. The pore water inside the specimen is constantly transformed between ice crystals and liquid, and the frost heaving and shrinkage caused by this change weaken the connection between particles, which makes the internal pores develop and expand continuously.
Author Contributions
Funding
Institutional Review Board Statement
Informed Consent Statement
Data Availability Statement
Conflicts of Interest
References
- Yang, J.; Liu, S.; Zhang, G. Experimental study on CBR value of weathered sand in the Three Gorges Reservoir area stabilized by cement. J. Yangtze River Sci. Res. Inst. 2016, 33, 98–101. [Google Scholar]
- Xiong, G.; Li, Q.; Fan, Y.; Song, J. Long-term stability test of Maopingxi weathered sand in the Three Gorges. J. Yangtze River Sci. Res. Inst. 1999, 16, 23–27. [Google Scholar]
- An, Y. Application of Stabilized Weathered Sand in Expressway. Master’s Thesis, Chang’an University, Xi’an, China, 2005. [Google Scholar]
- Guo, Y.; An, Y.; Liu, G. Research on the road performance of cement stabilized weathered sand. China Foreign Highw. 2005, 25, 52–54. [Google Scholar]
- Wang, X.; Yang, S.; Chen, C. Application of weathered sand filling at Jiangxia avenue in Three Gorges dam area. Yangtze River 2001, 32, 16–17. [Google Scholar]
- Yang, J.; Yang, Z.; Zhang, G.; Tang, Y. Experimental study on swelling force of expansive soil improved by weathered sand. J. Chongqing Jiaotong Univ. (Nat. Sci.) 2014, 33, 106–109. [Google Scholar]
- Zhuang, X.; Wang, J.; Wang, K.; Li, K.; Hu, Z. Dynamic characteristics of weathered sand for improving expansive soil. Rock Soil Mech. 2018, 39, 149–156. [Google Scholar]
- Huang, M.; Xiong, J.; Tang, J.; Long, C. Experimental study on shear strength of expansive soil improved by lime-weathered sand. Appl. Mech. Mater. 2014, 2799, 1441–1447. [Google Scholar] [CrossRef]
- Yang, J.; Zhu, C.; Zhang, G. Experimental study on unconfined compressive strength of lime-ash stabilized weathered sand. J. Yangtze River Sci. Res. Inst. 2015, 32, 101–106. [Google Scholar]
- Yang, J.; Xiang, F. Cement stabilized weathered sand in the Three Gorges Reservoir area. Resilience modulus test and model evaluation. J. Chongqing Univ. 2016, 39, 132–139. [Google Scholar]
- Zaimoglu, A.S. Freezing-thawing behavior of fine-grained soils reinforced with polypropylene fibers. Cold Reg. Sci. Technol. 2010, 36, 63–65. [Google Scholar] [CrossRef]
- Lu, Y.; Liu, S.; Zhang, Y.; Li, Z.; Xu, L. Freeze-thaw performance of a cement-treated expansive soil. Cold Reg. Sci. Technol. 2020, 170, 102926. [Google Scholar] [CrossRef]
- Huang, M.; Duan, J.; Wang, J. Research on basic mechanical properties and fracture damage of coal gangue concrete subjected to freeze-thaw cycles. Adv. Mater. Sci. Eng. 2021, 2021, 6701628. [Google Scholar] [CrossRef]
- Jumassultan, A.; Sagidullina, N.; Kim, J.; Ku, T.; Moon, S.W. Performance of cement-stabilized sand subjected to freeze-thaw cycles. Geomech. Eng. 2021, 25, 41–48. [Google Scholar]
- Tian, Y.; Ma, B.; Wang, D.; Li, N. Frost resistance of cement stabilized crushed rock under freeze-thaw cycles. J. Chang’an Univ. (Nat. Sci.) 2017, 37, 84–91. [Google Scholar]
- Hao, Y.; Wen, H.; Fan, P.; Dong, X. Experimental study of freeze-thaw cycles on the strength of red mud-steel slag modified cement soil. J. Taiyuan Univ. Technol. 2021, 52, 117–121. [Google Scholar]
- Gao, C.; Du, G.; Guo, Q.; Zhuang, Z. Static and dynamic behaviors of basalt fiber reinforced cement-soil after freeze-thaw cycle. KSCE J. Civ. Eng. 2020, 24, 3573–3583. [Google Scholar] [CrossRef]
- Li, Y.; Ling, X.; Su, L.; An, L.; Li, P.; Zhao, Y. Tensile strength of fiber reinforced soil under freeze-thaw condition. Cold Reg. Sci. Technol. 2018, 146, 53–59. [Google Scholar] [CrossRef]
- Li, T.; Kong, L.; Gao, A. The deformation and microstructure characteristics of expansive soil under freeze-thaw cycles with loads. Cold Reg. Sci. Technol. 2021, 192, 103393. [Google Scholar] [CrossRef]
- Lake, C.; Yousif, M.; Jamshidi, R. Examining freeze/thaw effects on performance and morphology of a lightly cemented soil. Cold Reg. Sci. Technol. 2017, 134, 33–44. [Google Scholar] [CrossRef]
- Eskisar, T.; Altun, S.; Kalipcilar, L. Assessment of strength development and freeze-thaw performance of cement treated clays at different water contents. Cold Reg. Sci. Technol. 2015, 111, 50–59. [Google Scholar] [CrossRef]
- Zhang, K.; Zhang, L. Analysis of influence factors of pore water pressure change in frozen soil. Adv. Mater. Sci. Eng. 2021, 2021, 3290831. [Google Scholar] [CrossRef]
- Tang, C.; Lin, L.; Cheng, Q.; Zhu, C.; Wang, D.; Lin, Z.; Shi, B. Quantification and characterizing of soil microstructure features by image processing technique. Comput. Geotech. 2020, 128, 103817. [Google Scholar] [CrossRef]
- Zhang, X.; Kong, L.; Guo, A.; Tuo, Y. Based on SEM and MIP test structured clay microscopic pores during compression. Chin. J. Rock Mech. Eng. 2012, 31, 406–412. [Google Scholar]
- Xu, Q. Application of Digital Image Analysis Program in Soil Microstructure Research and Data Analysis. Master’s Thesis, Taiyuan University of Technology, Taiyuan, China, 2008. [Google Scholar]
- Liu, B.; Du, J.; Shen, T.; Wang, Z.; Hu, J.; Xie, P. Quantitative analysis of the microstructure of organic impregnated sand-cement soil. J. Hainan Univ. (Nat. Sci.) 2021, 39, 68–76. [Google Scholar]
- Hou, S.; Chen, L.; Wang, S.; Wan, Y.; Ding, X. Research on damage and degradation characteristics of cement-soil under freeze-thaw cycles. J. Yangtze River Sci. Res. Inst. 2016, 33, 124–127, 132. [Google Scholar]
- Zhang, J.; Duan, X. Damage characteristics and energy dissipation of cement-soil at different ages under freeze-thaw cycles. Bull. Chin. Ceram. Soc. 2019, 38, 2144–2151. [Google Scholar]
- Gao, Y.; Yao, D.; Qin, X.; Li, C. Study on freeze-thaw characteristics of microbial mineralized geotechnical materials under salt erosion environment. J. Earthq. Prevent. Disaster Mitigat. Eng. 2018, 38, 787–794. [Google Scholar]
- Ye, W.; Qiang, Y.; Jing, H.; Zou, Y. Experimental study on freeze-thaw cycles of loess paleosol with different moisture content based on nuclear magnetic resonance. J. Eng. Geol. 2021. [Google Scholar] [CrossRef]
- Ding, M.; Zhang, F.; Ling, X.; Lin, B. Effects of freeze-thaw cycles on mechanical properties of polypropylene Fiber and cement stabilized clay. Cold Reg. Sci. Technol. 2018, 154, 155–165. [Google Scholar] [CrossRef]
- In JTG E51-2009; Test Methods of Materials Stabilized with Inorganic Binders for Highway Engineering. Beijing People’s Communications Press: Beijing, China, 2009; pp. 146–149.
- In ASTM D 1633-17; Standard Test Methods for Compressive Strength of Molded Soil-Cement Cylinders1. ASTM: West Conshohocken, PA, USA, 2017.
- Kim, J.S.; Chun, S.Y.; Stephan, D.; Han, T.S. Issues on characterization of cement paste microstructures from μ-CT and virtual experiment framework for evaluating mechanical properties. Constr. Build. Mater. 2019, 202, 82–102. [Google Scholar] [CrossRef]
- Wang, L.; Ding, S.; He, H.; Liu, X. Experimental study on freeze-thaw failure of cement mortar with different particle sizes. J. Exp. Mech. 2019, 34, 138–148. [Google Scholar]
- Garg, A.; Wani, I.; Zhu, H.; Kushvaha, V. Exploring efficiency of biochar in enhancing water retention in soils with varying grain size distributions using ANN technique. Acta Geotech. 2021. [Google Scholar] [CrossRef]
- Sharma, A.; Kushvaha, V. Predictive modelling of fracture behavior in silica-filled polymer composite subjected to impact with varying loading rates using artificial neural network. Eng. Fract. Mech. 2020, 239, 107328. [Google Scholar] [CrossRef]
- Chen, Z.; Chen, Z.; Song, Z.; Ye, W.; Fan, Z. Smart gas sensor arrays powered by artificial intelligence. J. Semicond. 2019, 40, 111601. [Google Scholar] [CrossRef]
- Turetskyy, A.; Wessel, J.; Herrmann, C.; Thiede, S. Battery production design using multi-output machine learning models. Energy Storage Mater. 2021, 38, 93–112. [Google Scholar] [CrossRef]














| Natural Water Content (%) | Particle Size Distribution (%) | Maximum Dry Density (g/cm³) | Optimal Water Content (%) | CBR (%) | ||
|---|---|---|---|---|---|---|
| <0.5 mm | 0.5–5 mm | >5 mm | ||||
| 3.1 | 38.1 | 48.1 | 13.8 | 2.13 | 8.03 | 51 |
| No. | Cement Content (%) | UCS (MPa) | ||||
|---|---|---|---|---|---|---|
| 7 d | 14 d | 28 d | 60 d | 90 d | ||
| C-0 | 0 | 0.19 | - | - | - | - |
| C-1 | 1 | 0.90 | 1.00 | 1.09 | 1.23 | 1.42 |
| C-2 | 2 | 2.08 | 2.32 | 2.36 | 2.75 | 2.91 |
| C-3 | 3 | 3.15 | 3.25 | 3.65 | 4.44 | 4.60 |
| C-4 | 4 | 3.70 | 4.28 | 4.45 | 4.57 | 5.23 |
Publisher’s Note: MDPI stays neutral with regard to jurisdictional claims in published maps and institutional affiliations. |
© 2022 by the authors. Licensee MDPI, Basel, Switzerland. This article is an open access article distributed under the terms and conditions of the Creative Commons Attribution (CC BY) license (https://creativecommons.org/licenses/by/4.0/).
Share and Cite
Kong, X.; Cui, S.; Wang, G.; Hu, W.; Liang, Y.; Zhang, Z. Evolution Law and Mechanism of Freeze–Thaw Damage of Cement-Stabilized Weathered Sand. Coatings 2022, 12, 272. https://doi.org/10.3390/coatings12020272
Kong X, Cui S, Wang G, Hu W, Liang Y, Zhang Z. Evolution Law and Mechanism of Freeze–Thaw Damage of Cement-Stabilized Weathered Sand. Coatings. 2022; 12(2):272. https://doi.org/10.3390/coatings12020272
Chicago/Turabian StyleKong, Xianghui, Shuai Cui, Gaoqiang Wang, Wenjun Hu, Yunpeng Liang, and Zhibin Zhang. 2022. "Evolution Law and Mechanism of Freeze–Thaw Damage of Cement-Stabilized Weathered Sand" Coatings 12, no. 2: 272. https://doi.org/10.3390/coatings12020272
APA StyleKong, X., Cui, S., Wang, G., Hu, W., Liang, Y., & Zhang, Z. (2022). Evolution Law and Mechanism of Freeze–Thaw Damage of Cement-Stabilized Weathered Sand. Coatings, 12(2), 272. https://doi.org/10.3390/coatings12020272

