Optical Behavior of Curcuminoid Hybrid Systems as Coatings Deposited on Polyester Fibers
Abstract
:1. Introduction
2. Materials and Methods
2.1. Materials
2.2. The Method of Obtaining Nanosols, Colored with Curcumin
2.3. The Method of Depositing Nanosols on the Polyester Support
2.4. Methods for Characterizing Dyed Polyester Fibers
3. Results and Discussion
3.1. Structural Characterization of Coated Fabrics by FTIR Measurements
3.2. Morphology by SEM Analysis
3.3. Morphological Properties of Nancoatings by AFM and Contact Angle Measurements
3.4. Thermal Properties of Functionalized Polyester
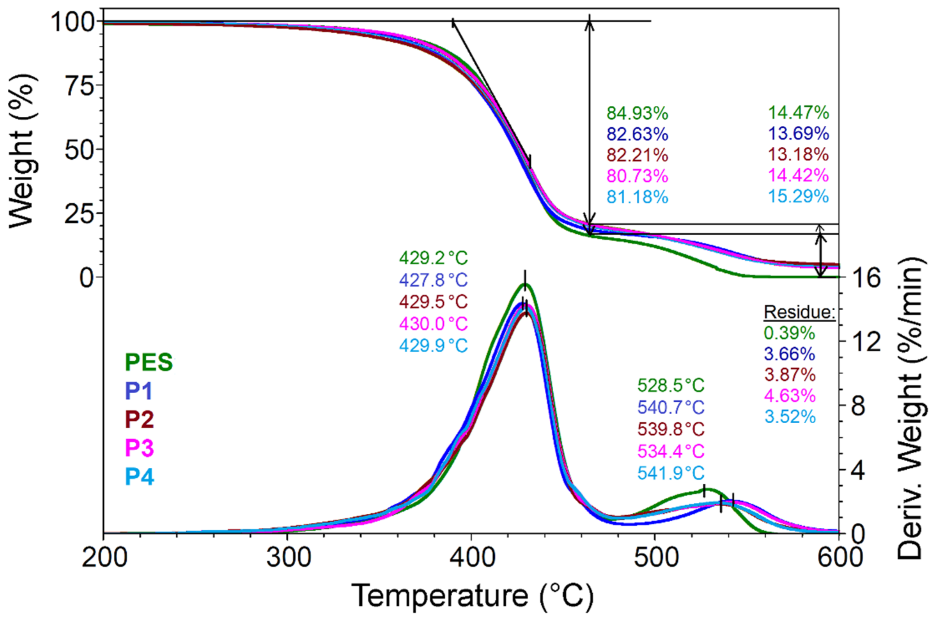
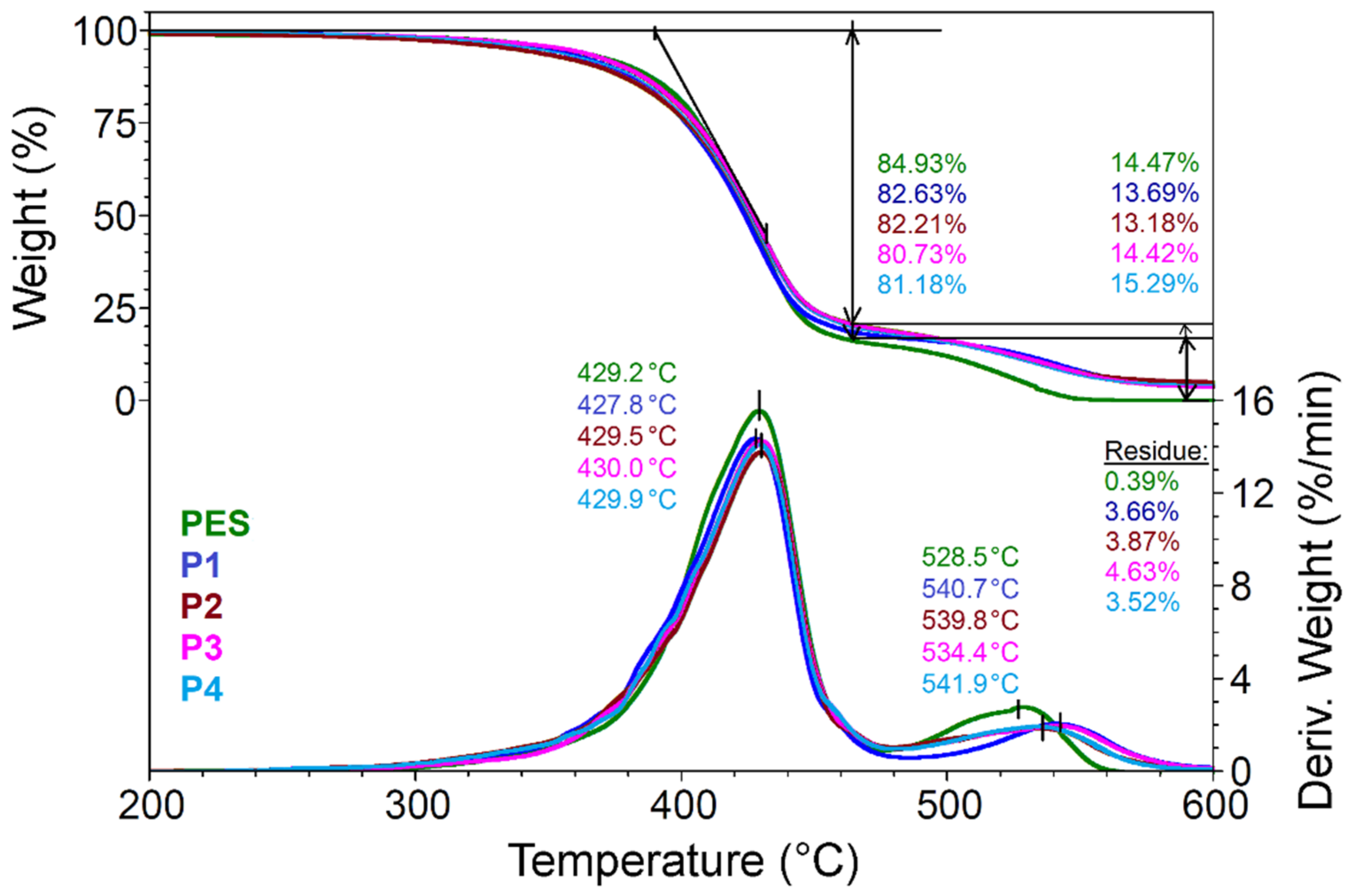
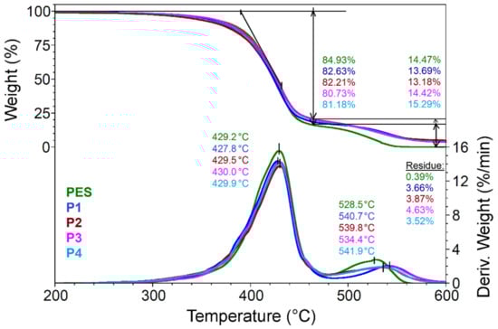
3.4.1. Thermogravimetric Analysis of Composite Materials
3.4.2. Thermomechanical Behavior of Coated Fabrics
3.5. Photophysical Properties of Nanosol Coated Fabrics
3.6. Evaluation of Tinctorial Performances
3.7. Sun Protective Performances Evaluation
4. Conclusions
Supplementary Materials
Author Contributions
Funding
Institutional Review Board Statement
Informed Consent Statement
Data Availability Statement
Conflicts of Interest
References
- Rashid, M.A.; Hossain, D.; Islam, M.M.; Hasan, N.U. Evaluation of economical and ecological aspects of denim garments dyeing with fluorescent dye. J. Mater. Sci. Eng. 2013, 1, 1–6. [Google Scholar] [CrossRef]
- Hamdaoui, M.; Lanouar, A.; Halaoua, S. Study of fluorescent dyeing process and influence of mixture dyes on high-visibility. J. Eng. Fibers Fabr. 2015, 10, 89–96. [Google Scholar] [CrossRef]
- Atta-Eyison, A.A. Performance evaluation of fluorescence and photostability of coumarin Disperse Yellow 82. J. Mater. Sci. Eng. 2020, 8, 11–19. [Google Scholar] [CrossRef] [Green Version]
- Szuster, L.; Kaźmierska, M.; Król, I. Fluorescent dyes destined for dyeing high-visibility polyester textile products. Fibres Text East. Eur. 2004, 12, 1. [Google Scholar]
- Shree, L.G.; Ashok, K.A.; Prithivraj, G.; Vipin, V.; Sathish, K.M. Fluorescent dyeing in polyester and cotton blended fabrics. Int. Res. J. Eng. Technol. 2020, 7, 5. [Google Scholar]
- Aysha, T.; Zain, M.; Arief, M.; Youssef, Y. Synthesis and spectral properties of new fluorescent hydrazone disperse dyes and their dyeing application on polyester fabrics. Heliyon 2019, 5, e02358. [Google Scholar] [CrossRef] [Green Version]
- Raditoiu, A.; Amariutei, V.; Raditoiu, V.; Ghiurea, M.; Frone, A.N.; Gabor, R.A.; Wagner, L.E.; Anastasescu, M. Polyester fibers coated with silica hybrid film forming materials containing non-ionic dyes. J. Optoelectron. Adv. Mater. 2015, 17, 198–204. [Google Scholar]
- Boukhriss, A.; Boyer, D.; Hannache, H.; Roblin, J.P.; Mahiou, R.; Cherkaoui, O.; Therias, S.; Gmouh, S. Sol–gel based water repellent coatings for textiles. Cellulose 2015, 22, 1415–1425. [Google Scholar] [CrossRef]
- Za’im, N.N.M.; Yusop, H.M.; Ismail, W.N.W. Synthesis of water-repellent coating for polyester fabric. Emerg. Sci. J. 2021, 5, 5. [Google Scholar] [CrossRef]
- Nejman, A.; Kamińska, I.; Giesz, P.; Cieślak, M. Thermal stability of polyester fabric with polyacrylic coatings. Fibres Text East. Eur. 2015, 23, 73–82. [Google Scholar] [CrossRef]
- Periyasamy, A.P.; Venkataraman, M.; Kremenakova, D.; Militky, J.; Zhou, Y. Progress in sol-gel technology for the coatings of fabrics. Materials 2020, 13, 1838. [Google Scholar] [CrossRef] [Green Version]
- Kale, R.D.; Agnihotri, A.; Jagtap, P.S. Simultaneous dyeing and anti-bacterial finishing of textile by sol-gel technique. Adv. Appl. Sci. Res. 2016, 7, 116–122. [Google Scholar]
- Salem, T.; El-Kashouty, M.; Müller, M.; Simon, F. Sol-gel synthetic route to improve interaction of polyester/cotton blended fabric with anionic dyes. Egypt. J. Chem. 2017, 60, 1151–1164. [Google Scholar] [CrossRef] [Green Version]
- Patela, B.H.; Patela, P.N.; Chaudharib, S.B.; Mandot, A.A. Nano silica mediated sol-gel dyeing of cotton and polyester fabric. Int. Dyer 2016, 3, 38–41. [Google Scholar]
- Raditoiu, A.; Raditoiu, V.; Amariutei, V.; Purcar, V.; Ghiurea, M.; Raduly, M.; Wagner, L. Surface coating on cellulose fabrics with nonionic dyes—Silica hybrids. Mater. Plast. 2015, 52, 442–448. [Google Scholar]
- Santos, C.; Brum, L.F.W.; Vasconcelos, R.F.; Velho, S.K.; Santos, J.H.Z. Color and fastness of natural dyes encapsulated by a sol-gel process for dyeing natural and synthetic fibers. J. Sol-Gel Sci. Technol. 2018, 86, 351–364. [Google Scholar] [CrossRef]
- Elnagar, K.; Elmaaty, T.A.; Raouf, S. Dyeing of polyester and polyamide synthetic fabrics with natural dyes using ecofriendly technique. J. Text. 2014, 2014, 8. [Google Scholar] [CrossRef] [Green Version]
- Karthikeyan, G.; Vidya, A.K. Production and application of natural dye from skin of yellow pumpkin vegetable. Int. J. Recent Sci. Res. 2020, 11, 37828–37839. [Google Scholar]
- Batool, F.; Iqba, N.; Azeem, M.; Adeel, S.; Ali, M. Sustainable dyeing of cotton fabric using Black Carrot (Daucus carota L.) plant residue as a source of natural colorant. Pol. J. Environ. Stud. 2019, 28, 3081–3087. [Google Scholar] [CrossRef]
- Bhuiyan, M.A.R.; Ali, A.; Islam, A.; Hannan, M.A.; Kabir, F.S.M.; Islam, M.N. Coloration of polyester fber with natural dye henna (Lawsonia inermis L.) without using mordant: A new approach towards a cleaner production. Fash Text. 2018, 5, 2. [Google Scholar] [CrossRef] [Green Version]
- Tambi, S.; Mangal, A.; Singh, N.; Sheikh, J. Cleaner production of dyed and functional polyester using natural dyes vis-avis exploration of secondary shades. Prog. Color. Colorants Coat. 2021, 14, 121–128. [Google Scholar]
- Samanta, P.; Singhee, D.; Samanta, A.K. Fundamentals of natural dyeing of textiles: Pros and Cons. Curr. Trends Fashion Technol. Textile Eng. 2018, 2, 4. [Google Scholar] [CrossRef] [Green Version]
- Hasan, M.; Hossain, M.B.; Azim, A.Y.M.A.; Ghosh, N.C.; Reza, S. Application of purified curcumin as natural dye on cotton and polyester. Int. J. Eng. Technol. 2014, 14, 5. [Google Scholar]
- Alsamydai, A.; Jaber, N. Pharmacological aspects of curcumin: Review article. Alsamydai Jaber 2018, 5, 313–326. [Google Scholar] [CrossRef]
- Rathore, S.; Mukim, M.; Sharma, P.; Devi, S.; Nagar, J.C.; Khalid, M. Curcumin: A review for health benefits. Int. J. Inf. Res. Rev. 2020, 7, 1. [Google Scholar]
- Sharifi-Rad, J.; Rayess, Y.E.; Rizk, A.A.; Sadaka, C.; Zgheib, R.; Zam, W.; Sestito, S.; Rapposelli, S.; Neffe-Skocin´ska, K.; Zielin´ska, D.; et al. Turmeric and its major compound curcumin on health: Bioactive effects and safety profiles for food, pharmaceutical, biotechnological and medicinal applications. Front. Pharmacol. 2020, 11, 01021. [Google Scholar] [CrossRef] [PubMed]
- Shibayama, N.; Wypyski, M.; Gagliardi-Mangilli, E. Analysis of natural dyes and metal threads used in 16th-18th century Persian/Safavid and Indian/Mughal velvets by HPLC-PDA and SEM-EDS to investigate the system to differentiate velvets of these two cultures. Herit. Sci. 2015, 3, 12. [Google Scholar] [CrossRef] [Green Version]
- Raduly, F.M.; Raditoiu, V.; Raditoiu, A.; Purcar, V. Curcumin: Modern applications for a versatile additive. Coatings 2021, 11, 519. [Google Scholar] [CrossRef]
- Gupta, A.; Briffa, S.M.; Swingler, S.; Gibson, H.; Kannappan, V.; Adamus, G.; Kowalczuk, M.M.; Martin, C.; Radecka, I. Synthesis of silver nanoparticles using curcumin-cyclodextrins loaded into bacterial cellulose-based hydrogels for wound dressing applications. Biomacromolecules 2020, 21, 1802–1811. [Google Scholar] [CrossRef]
- El-Nahhal, I.M.; Salem, J.; Anbar, R.; Kodeh, F.S.; Elmanama, A. Preparation and antimicrobial activity of ZnO-NPs coated cotton/starch and their functionalized ZnO-Ag/cotton and Zn (II) curcumin/cotton materials. Sci. Rep. 2020, 10, 1–10. [Google Scholar] [CrossRef]
- Ahmed, S.S.Z.; Balu, N.; Khader, S.Z.A.; Mahboob, M.R.; Lakshmanan, S.O.; Vetrivel, M. Fabrication and evaluation of bamboo fabric coated with extracts of Curcuma longa, Centella asiatica and Azadirachta indica as a wound dressing material. Adv. Tradit. Med. 2021, 21, 83–95. [Google Scholar] [CrossRef]
- Li, S.; Lu, M.; Hu, R.; Tang, T.; Hou, K.; Liu, Y. Dyeing ramie fabrics with curcumin in NaOH/urea solution at low temperature. Cloth. Text. Res. J. 2019, 37, 66–79. [Google Scholar] [CrossRef]
- Wang, M.; Liu, M.; Zhao, H.; Xiong, X.; Zheng, L. Reactive modified curcumin for high-fastness nonaqueous SC-CO2 dyeing of cotton fabric. Cellulose 2020, 27, 10541–10551. [Google Scholar] [CrossRef]
- Gotmare, V.D.; Kole, S.S.; Athawale, R.B. Sustainable approach for development of antimicrobial textile material using nanoemulsion for wound care applications. Fash Text. 2018, 5, 25. [Google Scholar] [CrossRef]
- Diaa, M.; Othman, H.A.; Hassabo, A.G. Printing wool fabrics with natural dyes curcuma and alkanet (A Critique). J. Text. Color. Polym. Sci. 2022, 19, 11–16. [Google Scholar] [CrossRef]
- Galasso, V.; Kovac, B.; Modelli, A.; Ottaviani, M.F.; Pichierri, F. Spectroscopic and theoretical study of the electronic structure of curcumin and related fragment molecules. J. Phys. Chem. A 2008, 112, 2331–2338. [Google Scholar] [CrossRef]
- Rege, S.A.; Arya, M.; Momin, S.A. Structure activity relationship of tautomers of curcumin: A review. Ukr. Food J. 2019, 8, 1. [Google Scholar] [CrossRef]
- Michels, L.; Richter, A.; Chellappan, R.K.; Røst, H.I.; Behsen, A.; Wells, K.H.; Leal, L.; Santana, V.; Blawid, R.; da Silva, G.J.; et al. Electronic and structural properties of the natural dyes curcumin, bixin and indigo. RSC Adv. 2021, 11, 14169. [Google Scholar] [CrossRef]
- Gál, E.; Nagy, L.C. Photophysical properties and electronic structure of symmetrical curcumin analogues and their BF2 complexes, including a phenothiazine substituted derivative. Symmetry 2021, 13, 2299. [Google Scholar] [CrossRef]
- Raduly, M.F.; Raditoiu, V.; Raditoiu, A.; Wagner, L.E.; Amariutei, V.; Ailiesei Darvaru, G. Facile synthesis of curcumin and curcuminoid-like derivatives at microwaves. Rev. Chim. 2018, 69, 1327–1331. [Google Scholar] [CrossRef]
- Baig, N.; Kammakakam, I.; Falath, W. Nanomaterials: A review of synthesis methods, properties, recent progress, and challenges. Mater. Adv. 2021, 2, 1821. [Google Scholar] [CrossRef]
- Bokov, D.; Jalil, A.T.; Chupradit, S.; Suksatan, W.; Ansari, M.J.; Shewael, I.H.; Valiev, G.H.; Kianfar, E. Nanomaterial by Sol-Gel Method: Synthesis and Application. Adv. Mater. Sci. Eng. 2021, 2021, 5102014. [Google Scholar] [CrossRef]
- Tan, W.K.; Muto, H.; Kawamura, G.; Lockman, Z.; Matsuda, A. Nanomaterial Fabrication through the Modification of Sol–Gel Derived Coatings. Nanomaterials 2021, 11, 181. [Google Scholar] [CrossRef]
- Raduly, F.M.; Raditoiu, V.; Raditoiu, A.; Frone, A.N.; Nicolae, C.A.; Purcar, V.; Ispas, G.; Constantin, M.; Raut, I. Modeling the Properties of Curcumin Derivatives in Relation to the Architecture of the Siloxane Host Matrices. Materials 2022, 15, 267. [Google Scholar] [CrossRef] [PubMed]
- ISO 105-C06; ISO Textiles—Test for Color Fastness—Part C06: Colour Fastness to Domestic and Commercial Laundering. International Organization for Standardization: Geneva, Switzerland, 2010.
- ISO 105-X12; ISO Textiles—Tests for Colour Fastness—Part X12: Colour Fastness to Rubbing. International Organization for Standardization: Geneva, Switzerland, 2016.
- Yin, Y.; Yin, H.; Wu, Z.; Qi, C.; Tian, H.; Zhang, W.; Hu, Z.; Feng, L. Characterization of coals and coal ashes with high Si content using combined second-derivative infrared spectroscopy and Raman spectroscopy. Crystals 2019, 9, 513. [Google Scholar] [CrossRef] [Green Version]
- Hofmeister, A.M.; Bowey, J.E. Quantitative infrared spectra of hydrosilicates and related minerals. Mon. Not. R. Astron. Soc. 2006, 367, 577–591. [Google Scholar] [CrossRef]
- Apopei, A.I.; Buzgar, N.; Buzatu, A. Raman and infrared spectroscopy of kaersutite and certain common amphiboles. AUI Geol. 2011, 57, 35–58. [Google Scholar]
- Ma, Q.; Wang, B.; Xu, J.; Lv, J.; Li, H.; Li, Y.; Zhao, C. Preparation of super-hydrophobic polyester fabric by growing polysiloxane microtube and its application. Silicon 2018, 10, 2009–2014. [Google Scholar] [CrossRef]
- Xu, L.; Xie, K.; Liu, Y.; Zhang, C. Stable super-hydrophobic and comfort PDMS-coated polyester fabric. e-Polymers 2021, 21, 654–661. [Google Scholar] [CrossRef]
- Gies, P.; Roy, C.; McLennan, A.; Pailthorpe, M.; Hilfikery, R.; Osterwalderz, U.; Monard, B.; Moseley, H.; Sliney, D.; Wengraitis, S.; et al. Ultraviolet protection factors for clothing: An intercomparison of measurement systems. Photochem. Photobiol. 2003, 77, 58–67. [Google Scholar] [CrossRef]
- Gambichler, T.; Rotterdam, S.; Altmeyer, P.; Hoffmann, K. Protection against ultraviolet radiation by commercial summer clothing: Need for standardised testing and labeling. BMC Dermatol. 2001, 1, 6. [Google Scholar] [CrossRef] [Green Version]
- Gambichler, T.; Avermaete, A.; Bader, A.; Altmeyer, P.; Hoffmann, K. Ultraviolet protection by summer textiles. Ultraviolet transmission measurements verified by determination of the minimal erythema dose with solar-simulated radiation. Br. J. Dermatol. 2001, 144, 484–489. [Google Scholar] [CrossRef]
- Davis, S.; Capjack, L.; Kerr, N.; Fedosejevs, R. Clothing as protection from ultraviolet radiation: Which fabric is most effective? Int. J. Dermatol. 1997, 36, 374–379. [Google Scholar] [CrossRef]
- Sarkar, A.K. On the relationship between fabric processing and ultraviolet radiation transmission. Photodermatol. Photoimmunol. Photomed. 2007, 23, 191–196. [Google Scholar] [CrossRef]
- Grifoni, D.; Bacci, L.; Zipoli, G.; Carreras, G.; Baronti, S.; Sabatini, F. Laboratory and outdoor assessment of UV protection offered by flax and hemp fabrics dyed with natural dyes. Photochem. Photobiol. 2009, 85, 313–320. [Google Scholar] [CrossRef]
- Mavrić, Z.; Tomšič, B.; Simončič, B. Recent advances in the ultraviolet protection finishing of textiles. Tekstilec 2018, 61, 201–220. [Google Scholar] [CrossRef]
- Olczyk, J.; Sójka-Ledakowicz, J.; Walawska, A.; Antecka, A.; Siwi´nska-Ciesielczyk, K.; Zdarta, J.; Jesionowski, T. Antimicrobial activity and barrier properties against UV radiation of alkaline and enzymatically treated linen woven fabrics coated with inorganic hybrid material. Molecules 2020, 25, 5701. [Google Scholar] [CrossRef]
- Mahltig, B.; Leisegang, T.; Jakubik, M.; Haufe, H. Hybrid sol-gel materials for realization of radiation protective coatings—A review with emphasis on UV protective materials. J. Sol-Gel Sci. Technol. 2021. [Google Scholar] [CrossRef]
- Gunasekaran, S.; Natarajan, R.K.; Natarajan, S.; Rathikha, R. Structural Investigation on Curcumin. Asian J. Chem. 2008, 20, 2903–2913. [Google Scholar]













| Compound | P1 | P2 | P3 | P4 |
|---|---|---|---|---|
| Square roughness (standard deviation), (nm) | 79.75 (±1.1) | - | 13.6 (±1.7) | 21.37 (±6.2) |
| Contact angle (standard deviation), (°) | 81 (±14.1) | 118 (±8.1) | 124 (±6.1) | 120 (±14.8) |
| Sample | Storage Modulus (E′), MPa | Loss Modulus (E″) | Tan Delta | Young’s Modulus | ||||
|---|---|---|---|---|---|---|---|---|
| 30 °C | 110 °C | 190 °C | E″ (Peak Max), MPa | Temp, °C | Value | °C | GPa | |
| PES | 248.4 | 274.1 | 109.9 | 33.2 | 121.6 | 0.1622 | 131.0 | 0.5 |
| P1 | 512.2 | 384.1 | 143.2 | 32.3 | 122.6 | 0.1234 | 131.3 | 0.66 |
| P2 | 380.3 | 334.2 | 156.7 | 23.8 | 128.0 | 0.1051 | 138.7 | 0.51 |
| P3 | 428 | 385.3 | 123.4 | 29.2 | 127.8 | 0.1373 | 138.0 | 0.53 |
| P4 | 458.3 | 429.7 | 184.2 | 31.7 | 128.2 | 0.1187 | 135.5 | 0.61 |
| Sample | Color Parameters | Absorbance (λmax 425 nm) | Fluorescence Emission (λ, nm)/(Intensity, a.u.) | Stokes Shif (SS, nm) | K/S | ||||
|---|---|---|---|---|---|---|---|---|---|
| L* | a* | b* | C* | h* | (a.u.) | ||||
| PES | 86.50 | 0.07 | –2.57 | 2.57 | 271.45 | - | - | - | - |
| P1 | 82.06 | –9.58 | 38.89 | 40.05 | 103.84 | 0.4954 | 505 (921) | 80 | 1.4878 |
| P2 | 77.63 | 3.47 | 30.50 | 30.70 | 83.51 | 0.6713 | 515 (634) | 90 | 1.6321 |
| P2(2×Dye) | 74.16 | 7.86 | 44.29 | 44.98 | 79.94 | 0.8336 | 530 (520) | 105 | - |
| P2(3×Dye) | 72.68 | 11.52 | 45.82 | 47.24 | 75.88 | 0.8761 | 530 (442) | 105 | - |
| P2(2×DMDMS) | 78.24 | 1.78 | 40.05 | 40.09 | 87.46 | 0.7123 | 515 (632) | 90 | - |
| P3 | 77.39 | –5.01 | 36.82 | 37.16 | 97.74 | 0.6075 | 520 (542) | 95 | 0.7310 |
| P3(2×DMDPS) | 74.87 | 4.92 | 34.60 | 34.95 | 81.92 | 0.7070 | 540 (651) | 115 | - |
| P4 | 81.94 | –7.50 | 22.56 | 23.77 | 108.39 | 0.6941 | 550 (455) | 125 | 1.1071 |
| Sample | Washing Fastness (Grade) ISO 105 C06 | Rubbing Fastness (Grade) ISO 105 X12 | |||
|---|---|---|---|---|---|
| Color Change | Color Staining | ||||
| Cotton | Wool | Dry | Wet | ||
| P1 | 4–5 | 4–5 | 4–5 | 4–5 | 4 |
| P2 | 4 | 4 | 4–5 | 4–5 | 4–5 |
| P3 | 4–5 | 4–5 | 4–5 | 4 | 3 |
| P4 | 4 | 4 | 4–5 | 3–4 | 3 |
Publisher’s Note: MDPI stays neutral with regard to jurisdictional claims in published maps and institutional affiliations. |
© 2022 by the authors. Licensee MDPI, Basel, Switzerland. This article is an open access article distributed under the terms and conditions of the Creative Commons Attribution (CC BY) license (https://creativecommons.org/licenses/by/4.0/).
Share and Cite
Raduly, F.M.; Rădiţoiu, V.; Rădiţoiu, A.; Purcar, V.; Ispas, G.; Frone, A.N.; Gabor, R.A.; Nicolae, C.-A. Optical Behavior of Curcuminoid Hybrid Systems as Coatings Deposited on Polyester Fibers. Coatings 2022, 12, 271. https://doi.org/10.3390/coatings12020271
Raduly FM, Rădiţoiu V, Rădiţoiu A, Purcar V, Ispas G, Frone AN, Gabor RA, Nicolae C-A. Optical Behavior of Curcuminoid Hybrid Systems as Coatings Deposited on Polyester Fibers. Coatings. 2022; 12(2):271. https://doi.org/10.3390/coatings12020271
Chicago/Turabian StyleRaduly, Florentina Monica, Valentin Rădiţoiu, Alina Rădiţoiu, Violeta Purcar, Georgiana Ispas, Adriana Nicoleta Frone, Raluca Augusta Gabor, and Cristian-Andi Nicolae. 2022. "Optical Behavior of Curcuminoid Hybrid Systems as Coatings Deposited on Polyester Fibers" Coatings 12, no. 2: 271. https://doi.org/10.3390/coatings12020271
APA StyleRaduly, F. M., Rădiţoiu, V., Rădiţoiu, A., Purcar, V., Ispas, G., Frone, A. N., Gabor, R. A., & Nicolae, C.-A. (2022). Optical Behavior of Curcuminoid Hybrid Systems as Coatings Deposited on Polyester Fibers. Coatings, 12(2), 271. https://doi.org/10.3390/coatings12020271

