Microstructure and Performance of High-Velocity Oxygen-Fuel Coupled Physical Vapor Deposition (HVOF-PVD) Duplex Protective Coatings: A Review
Abstract
1. Introduction
2. Microstructure and Morphology of Coatings
3. Properties of Duplex Coatings
3.1. Mechanical Properties
3.2. Tribological Performance
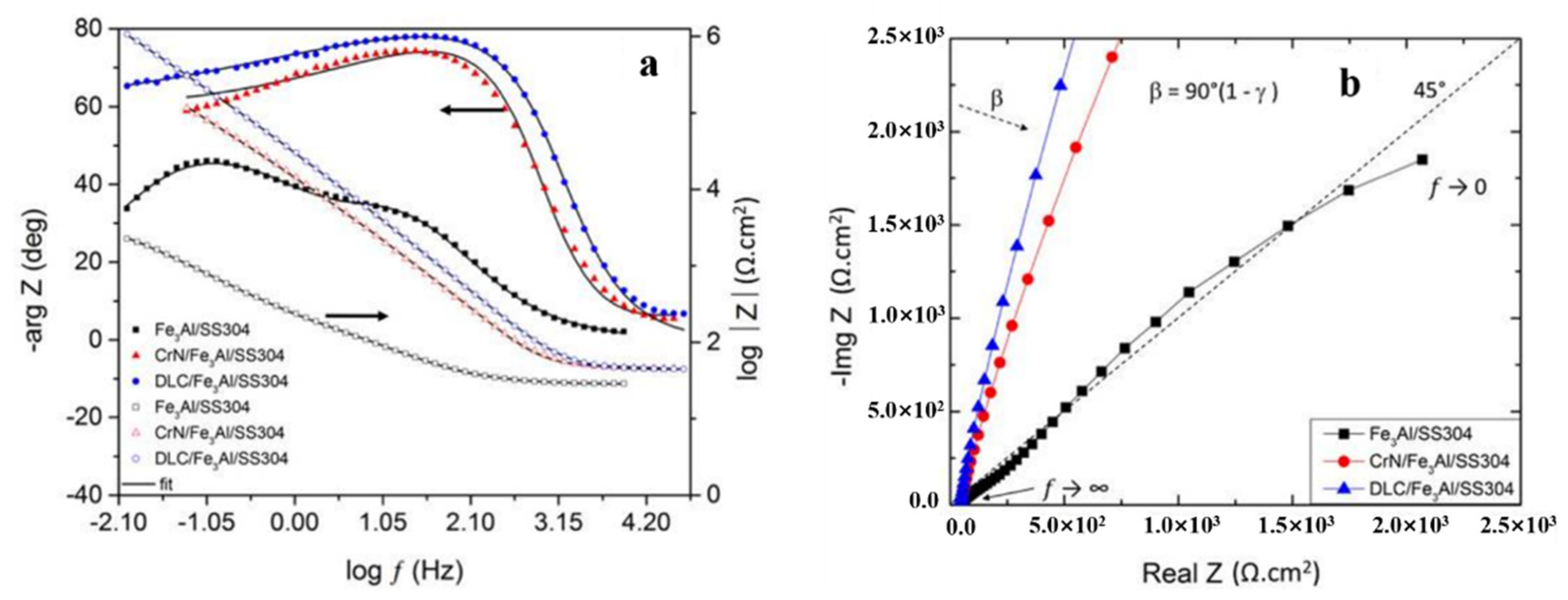
3.3. Corrosion Behavior
4. Conclusions and Outlook
Author Contributions
Funding
Institutional Review Board Statement
Informed Consent Statement
Data Availability Statement
Conflicts of Interest
References
- Tan, J.; Looney, L.; Hashmi, M. Component repair using HVOF thermal spraying. J. Mater. Process. Technol. 1999, 92, 203–208. [Google Scholar] [CrossRef]
- Zhang, H.; Wang, X.Y.; Zheng, L.L. Studies of splat morphology and rapid solidification during thermal spraying. Int. J. Heat Mass Transf. 2001, 44, 4579–4592. [Google Scholar] [CrossRef]
- Yang, K.; Min, L.; Zhou, K.; Deng, C. Recent Developments in the Research of Splat Formation Process in Thermal Spraying. J. Mater. 2012, 2013, 1–14. [Google Scholar] [CrossRef] [PubMed]
- Paredes, R.; Amico, S.; d’Oliveira, A. The effect of roughness and pre-heating of the substrate on the morphology of aluminum coatings deposited by thermal spraying. Surf. Coat. Technol. 2006, 200, 3049–3055. [Google Scholar] [CrossRef]
- Niranatlumpong, P.; Koiprasert, H. Phase transformation of NiCrBSi–WC and NiBSi–WC arc sprayed coatings. Surf. Coat. Technol. 2011, 206, 440–445. [Google Scholar] [CrossRef]
- Pfender, E. Fundamental studies associated with the plasma spray process. Surf. Coat. Technol. 1988, 34, 1–14. [Google Scholar] [CrossRef]
- Wang, J.; Zhang, L.; Sun, B.; Zhou, Y. Study of the Cr3C2–NiCr detonation spray coating. Surf. Coat. Technol. 2000, 130, 69–73. [Google Scholar] [CrossRef]
- Stewart, D.; Shipway, P.; McCartney, D. Abrasive wear behavior of conventional and nanocomposite HVOF-sprayed WC–Co coatings. Wear 1999, 225, 789–798. [Google Scholar] [CrossRef]
- Wang, Q.; Chen, Z.; Ding, Z. Performance of abrasive wear of WC-12Co coatings sprayed by HVOF. Tribol. Int. 2009, 42, 1046–1051. [Google Scholar] [CrossRef]
- Yu, J.; Liu, X.; Yu, Y.; Li, H.; Liu, P.; Huang, K.; Sun, R. Research and Application of High-Velocity Oxygen Fuel Coatings. Coatings 2022, 12, 828. [Google Scholar] [CrossRef]
- Brezinova, J.; Guzanová, A.; Draganovska, D.; Maruschak, P.O.; Landová, M. Study of selected proper-ties of thermally sprayed coatings containing WC and WB hard particles. Acta Mech. Autom. 2016, 10, 296–299. [Google Scholar]
- Brezinova, J.; Guzanová, A.; Tkáčová, J.; Brezina, J.; L’achova, K.; Draganovska, D.; Pastorek, F.; Maruschak, P.; Prentkovskis, O. High velocity oxygen liquid-fuel (HVOLF) spraying of WC-based coatings for transport industrial applications. Metals 2020, 10, 1675. [Google Scholar] [CrossRef]
- Wang, Q.; Zhang, S.; Cheng, Y.; Xiang, J.; Zhao, X.; Yang, G. Wear and corrosion performance of WC-10Co4Cr coatings deposited by different HVOF and HVAF spraying processes. Surf. Coat. Technol. 2013, 218, 127–136. [Google Scholar] [CrossRef]
- Picas, J.; Forn, A.; Matthäus, G. HVOF coatings as an alternative to hard chrome for pistons and valves. Wear 2006, 261, 477–484. [Google Scholar] [CrossRef]
- Wielage, B.; Wank, A.; Pokhmurska, H.; Grund, T.; Rupprecht, C.; Reisel, G.; Friesen, E. Development and trends in HVOF spraying technology. Surf. Coat. Technol. 2006, 201, 2032–2037. [Google Scholar] [CrossRef]
- Berger, L.-M. Application of hard metals thermal spray coatings. Int. J. Refract. Met. Hard Mater. 2015, 49, 350–364. [Google Scholar] [CrossRef]
- Wang, Q.; Luo, S.; Wang, S.; Wang, H.; Ramachandran, C.S. Wear, erosion and corrosion resistance of HVOF-sprayed WC and Cr3C2 based coatings for electrolytic hard chrome replacement. Int. J. Refract. Met. Hard Mater. 2019, 81, 242–252. [Google Scholar] [CrossRef]
- Picas, J.; Punset, M.; Baile, M.T.; Martín, E.; Forn, A. Effect of oxygen/fuel ratio on the in-flight particle parameters and properties of HVOF WC-CoCr coatings. Surf. Coat. Technol. 2011, 205, S364–S368. [Google Scholar] [CrossRef]
- Roy, M.; Pauschitz, A.; Bernardi, J.; Koch, T.; Franek, F. Microstructure and mechanical properties of HVOF sprayed nanocrystalline Cr3C2-25 (Ni20Cr) coating. J. Therm. Spray Technol. 2006, 15, 372–381. [Google Scholar] [CrossRef]
- Zhang, C.; Liu, L.; Chan, K.C.; Chen, Q.; Tang, C.Y. Wear behavior of HVOF-sprayed Fe-based amorphous coatings. Intermetallics 2012, 29, 80–85. [Google Scholar] [CrossRef]
- Lovelock, H.L.D.V. Powder/processing/structure relationships in WC-Co thermal spray coatings: A review of the published literature. J. Therm. Spray Technol. 1998, 7, 357–373. [Google Scholar] [CrossRef]
- Guilemany, J.M.; Fernández, J.; Delgado, J.; Benedetti, A.V.; Clement, F. Effects of thickness coating on the electrochemical behavior of thermal spray Cr3C2–NiCr coatings. Surf. Coat. Technol. 2002, 153, 107–113. [Google Scholar] [CrossRef]
- Huang, B.; Zhang, C.; Zhang, G.; Liao, H. Wear and corrosion resistant performance of thermal-sprayed Fe-based amorphous coatings: A review. Surf. Coat. Technol. 2019, 377, 124896. [Google Scholar] [CrossRef]
- Poblano-Salas, C.; Cabral-Miramontes, J.; Gallegos-Melgar, A.; Ruiz-Luna, H.; Aguilar-Escobar, J.; Espinosa-Arbelaez, D.; Espinoza-Beltrán, F.; Trapaga-Martínez, G.; Muñoz-Saldaña, J. Effects of VC additions on the mechanical properties of bimodal WC–Co HVOF thermal sprayed coatings measured by nanoindentation. Int. J. Refract. Met. Hard Mater. 2015, 48, 167–178. [Google Scholar] [CrossRef]
- Yin, B.; Liu, G.; Zhou, H.; Chen, J.; Yan, F. Sliding wear behavior of HVOF-sprayed Cr3C2–NiCr/CeO2 composite coatings at elevated temperature up to 800 °C. Tribol. Lett. 2010, 37, 463–475. [Google Scholar] [CrossRef]
- Wang, Q.; Zhang, Y.; Ding, X.; Wang, S.; Ramachandran, C.S. Effect of WC grain size and abrasive type on the wear performance of HVOF-sprayed WC-20Cr3C2-7Ni coatings. Coatings 2020, 10, 660. [Google Scholar] [CrossRef]
- Li, M.; Christofides, P.D. Modeling, and control of high-velocity oxygen-fuel (HVOF) thermal spray: A tutorial review. J. Therm. Spray Technol. 2009, 18, 753–768. [Google Scholar] [CrossRef]
- Baptista, A.; Silva, F.; Porteiro, J.; Míguez, J.; Pinto, G. Sputtering physical vapor deposition (PVD) coatings: A critical review on process improvement and market trend demand. Coatings 2018, 8, 402. [Google Scholar] [CrossRef]
- Helmersson, U.; Lattemann, M.; Bohlmark, J.; Ehiasarian, A.; Gudmundsson, J. Ionized physical vapor deposition (IPVD): A review of technology and applications. Thin Solid Film. 2006, 513, 1–24. [Google Scholar] [CrossRef]
- Rossnagel, S. Thin film deposition with physical vapor deposition and related technologies. J. Vac. Sci. Technol. A Vac. Surf. Film. 2003, 21, S74–S87. [Google Scholar] [CrossRef]
- Mattox, D.M. Physical vapor deposition (PVD) processes. Met. Finish. 1995, 93, 387–388. [Google Scholar] [CrossRef]
- Liu, Y.; Guo, P.; He, X.; Li, L.; Wang, A.; Li, H. Developing transparent copper-doped diamond-like carbon films for marine antifouling applications. Diam. Relat. Mater. 2016, 69, 144–151. [Google Scholar] [CrossRef]
- Baptista, A.; Silva, F.; Porteiro, J.; Míguez, J.; Pinto, G.; Fernandes, L. On the physical vavaporeposition (PVD): Evolution of magnetron sputtering processes for industrial applications. Procedia Manuf. 2018, 17, 746–757. [Google Scholar] [CrossRef]
- Zuo, X.; Zhang, D.; Chen, R.; Ke, P.; Odén, M.; Wang, A. Spectroscopic investigation on the near-substrate plasma characteristics of chromium HiPIMS in low-density discharge mode. Plasma Sources Sci. Technol. 2020, 29, 015013. [Google Scholar] [CrossRef]
- Wang, Z.; Kang, H.; Chen, R.; Ke, P.; Wang, A. Enhanced mechanical and tribological properties of V-Al-C coatings via increasing columnar boundaries. J. Alloys Compd. 2019, 781, 186–195. [Google Scholar] [CrossRef]
- Shuai, J.; Zuo, X.; Wang, Z.; Guo, P.; Xu, B.; Zhou, J.; Wang, A.; Ke, P. Comparative study on the rack resistance of TiAlN monolithic and Ti/TiAlN multilayer coatings. Ceram. Int. 2020, 46, 6672–6681. [Google Scholar] [CrossRef]
- Wang, Z.; Liu, J.; Wang, L.; Li, X.; Ke, P.; Wang, A. Dense, and high-stability Ti2AlN MAX phase coatings prepared by the combined cathodic arc/sputter technique. Appl. Surf. Sci. 2017, 396, 1435–1442. [Google Scholar] [CrossRef]
- Ruan, H.; Wang, Z.; Wang, L.; Sun, L.; Peng, H.; Ke, P.; Wang, A. Designed Ti/TiN sub-layers suppressing the crack and erosion of TiAlN coatings. Surf. Coat. Technol. 2022, 438, 128419. [Google Scholar] [CrossRef]
- Wang, A.-Y.; Lee, K.-R.; Ahn, J.-P.; Han, J.H. Structure and mechanical properties of W incorporated diamond-like carbon films prepared by a hybrid ion beam deposition technique. Carbon 2006, 44, 1826–1832. [Google Scholar] [CrossRef]
- Wang, Z.; Li, X.; Zhou, J.; Liu, P.; Huang, Q.; Ke, P.; Wang, A. Microstructure evolution of V–Al–C coatings synthesized from a V2AlC compound target after vacuum annealing treatment. J. Alloys Compd. 2016, 661, 476–482. [Google Scholar] [CrossRef]
- Barshilia, H.C.; Selvakumar, N.; Deepthi, B.; Rajam, K. A comparative study of reactive direct current magnetron sputtered CrAlN and CrN coatings. Surf. Coat. Technol. 2006, 201, 2193–2201. [Google Scholar] [CrossRef]
- Hainsworth, S.V.; Soh, W. The effect of the substrate on the mechanical properties of TiN coatings. Surf. Coat. Technol. 2003, 163, 515–520. [Google Scholar] [CrossRef]
- Zhao, W.M.; Wang, Y.; Dong, L.X.; Wu, K.Y.; Xue, J. Corrosion mechanism of NiCrBSi coatings deposited by HVOF. Surf. Coat. Technol. 2005, 190, 293–298. [Google Scholar] [CrossRef]
- Pougoum, F.; Qian, J.; Martinu, L.; Klemberg-Sapieha, J.; Zhou, Z.; Li, K.Y.; Savoie, S.; Lacasse, R.; Potvin, E.; Schulz, R. Study of corrosion and tribocorrosion of Fe3Al-based duplex PVD/HVOF coatings against alumina in NaCl solution. Surf. Coat. Technol. 2019, 357, 774–783. [Google Scholar] [CrossRef]
- Tang, P.; He, D.; Li, W.; Shang, L.; Zhang, G. Achieving superior hot corrosion resistance by PVD/HVOF duplex design. Corros. Sci. 2020, 175, 108845. [Google Scholar] [CrossRef]
- Li, X.; Xu, X.; Zhou, Y.; Lee, K.; Wang, A. Insights into friction dependence of carbon nanoparticles as oil-based lubricant additive at amorphous carbon interface. Carbon 2019, 150, 465–474. [Google Scholar] [CrossRef]
- Erdemir, A.; Martin, J.M. Superior wear resistance of diamond and DLC coatings. Curr. Opin. Solid State Mater. Sci. 2018, 22, 243–254. [Google Scholar] [CrossRef]
- Kong, C.; Guo, P.; Sun, L.; Zhou, Y.; Liang, Y.; Li, X.; Ke, P.; Lee, K.-R.; Wang, A. Tribological mechanism of diamond-like carbon films induced by Ti/Al co-doping. Surf. Coat. Technol. 2018, 342, 167–177. [Google Scholar] [CrossRef]
- Dang, N.M.; Lin, W.-Y.; Wang, Z.-Y.; Alidokht, S.A.; Chromik, R.R.; Chen, T.Y.-F.; Lin, M.-T. Mechanical Properties and Residual Stress Measurement of TiN/Ti Duplex Coating Using HiPIMS TiN on Cold Spray Ti. Coatings 2022, 12, 759. [Google Scholar] [CrossRef]
- Picas, J.; Menargues, S.; Martin, E.; Colominas, C.; Baile, M. Characterization of duplex coating system (HVOF+ PVD) on light alloy substrates. Surf. Coat. Technol. 2017, 318, 326–331. [Google Scholar] [CrossRef]
- Pougoum, F.; Qian, J.; Laberge, M.; Martinu, L.; Klemberg-Sapieha, J.; Zhou, Z.; Li, K.Y.; Savoie, S.; Schulz, R. Investigation of Fe3Al-based PVD/HVOF duplex coatings to protect stainless steel from sliding wear against alumina. Surf. Coat. Technol. 2018, 350, 699–711. [Google Scholar] [CrossRef]
- Tillmann, W.; Stangier, D.; Hagen, L.; Schröder, P.; Krabiell, M. Influence of the WC grain size on the properties of PVD/HVOF duplex coatings. Surf. Coat. Technol. 2017, 328, 326–334. [Google Scholar] [CrossRef]
- Bemporad, E.; Sebastiani, M.; Casadei, F.; Carassiti, F. Modelling, product, action, and characterization of duplex coatings (HVOF and PVD) on Ti–6Al–4V substrate for specific mechanical applications. Surf. Coat. Technol. 2007, 201, 7652–7662. [Google Scholar] [CrossRef]
- Bemporad, E.; Sebastiani, M.; De Felicis, D.; Carassiti, F.; Valle, R.; Casadei, F. Production, and characterization of duplex coatings (HVOF and PVD) on Ti–6Al–4V substrate. Thin Solid Film. 2006, 515, 186–194. [Google Scholar] [CrossRef]
- Li, W.; Tang, P.; Shang, L.; He, D.; Wang, L.; Zhang, G.; Jin, K. Tribological behaviors of CrN/Cr3C2-NiCr duplex coating at elevated temperatures. Surf. Coat. Technol. 2019, 378, 124926. [Google Scholar] [CrossRef]
- Zheng, W.; He, D.; Li, W.; Shang, L.; Song, Q.; Zhang, G.; Zhai, H.; Cheng, B. AlCrN/Cr3C2–NiCr duplex coating towards high load-bearing and dry sliding antiwear applications. Ceram. Int. 2022, 48, 18933–18943. [Google Scholar] [CrossRef]
- Li, W.; Zhao, Y.; He, D.; Song, Q.; Sun, X.; Wang, S.; Zhai, H.; Zheng, W.; Wood, R.J. Optimizing mechanical and tribological properties of DLC/Cr3C2-NiCr duplex coating via tailoring interlayer thickness. Surf. Coat. Technol. 2022, 434, 128198. [Google Scholar] [CrossRef]
- Shang, L.; Li, W.; He, D.; Tang, P.; Zhang, G.; Lu, Z. Mechanical and high-temperature tribological properties of Cr3C2-NiCr/TiN duplex coating. J. Mater. Eng. Perform. 2020, 29, 7207–7220. [Google Scholar] [CrossRef]
- Chen, W.; Fang, B.; Zhang, D.; Meng, X.; Zhang, S. Thermal stability and mechanical properties of HVOF/PVD duplex ceramic coatings produced by HVOF and cathodic vacuum arc. Ceram. Int. 2017, 43, 7415–7423. [Google Scholar] [CrossRef]
- Lima, C.; Cinca, N.; Guilemany, J. Study of the high-temperature oxidation performance of Thermal Barrier Coatings with HVOF sprayed bond coat and incorporating a PVD ceramic interlayer. Ceram. Int. 2012, 38, 6423–6429. [Google Scholar] [CrossRef]
- Bemporad, E.; Sebastiani, M.; Staia, M.; Cabrera, E.P. Tribological studies on PVD/HVOF duplex coatings on Ti6Al4V substrate. Surf. Coat. Technol. 2008, 203, 566–571. [Google Scholar] [CrossRef]
- Tillmann, W.; Hagen, L.; Stangier, D.; Krabiell, M.; Schröder, P.; Tiller, J.; Krumm, C.; Sternemann, C.; Paulus, M.; Elbers, M. Influence of etching-pretreatment on nano-grained WC-Co surfaces and properties of PVD/HVOF duplex coatings. Surf. Coat. Technol. 2019, 374, 32–43. [Google Scholar] [CrossRef]
- Dai, W.; Wu, G.; Wang, A. Preparation, characterization, and properties of Cr-incorporated DLC films on magnesium alloy. Diamond Relat. Mater. 2010, 19, 1307–1315. [Google Scholar] [CrossRef]
- Shuai, J.; Zuo, X.; Wang, Z.; Sun, L.; Chen, R.; Wang, L.; Wang, A.; Ke, P. Erosion behavior and failure mechanism of Ti/TiAlN multilayer coatings eroded by silica sand and glass beads. J. Mater. Sci. Technol. 2021, 21, 12. [Google Scholar] [CrossRef]
- Wang, Q.; Li, L.; Yang, G.; Zhao, X.; Ding, Z. Influence of heat treatment on the microstructure and performance of high-velocity oxy-fuel sprayed WC–12Co coatings. Surf. Coat. Technol. 2012, 206, 4000–4010. [Google Scholar] [CrossRef]
- Panjan, P.; Drnovšek, A.; Gelman, P.; Čekada, M.; Panjan, M. Review of growth defects in thin films prepared by PVD techniques. Coatings 2020, 10, 447. [Google Scholar] [CrossRef]
- Panjan, P.; Gselman, P.; Kek-Merl, D.; Čekada, M.; Panjan, M.; Dražić, G.; Bončina, T.; Zupanič, F. Growth defect density in PVD hard coatings prepared by different deposition techniques. Surf. Coat. Technol. 2013, 237, 349–356. [Google Scholar] [CrossRef]
- Panjan, P.; Ekada, M.; Panjan, M.; Kek-Merl, D. Growth defects in PVD hard coatings. Vacuum 2009, 84, 209–214. [Google Scholar] [CrossRef]
- Liu, Y.; Du, H.; Zuo, X.; Guo, P.; Ke, P. Cr/GLC multilayered coating in the simulated deep-sea environment: Corrosion behavior and growth defect evolution. Corros. Sci. 2021, 188, 109528. [Google Scholar] [CrossRef]
- Wänstrand, O.; Larsson, M.; Kassman-Rudolphi, Å. An experimental method for evaluation of the load-carrying capacity of coated aluminum: The influence of coating stiffness, hardness, and thickness. Surf. Coat. Technol. 2000, 127, 107–113. [Google Scholar] [CrossRef]
- Chen, W.; Mao, T.; Zhang, B.; Zhang, S.; Meng, X. Designs and preparation of advanced HVOF-PVD duplex coating by a combination of HVOF and arc ion plating. Surf. Coat. Technol. 2016, 304, 125–133. [Google Scholar] [CrossRef]
- Hogmark, S.; Jacobson, S.; Larsson, M. Design, and evaluation of tribological coatings. Wear 2000, 246, 20–33. [Google Scholar] [CrossRef]
- Donnet, C.; Erdemir, A. Historical developments and new trends in tribological and solid lubricant coatings. Surf. Coat. Technol. 2004, 180, 76–84. [Google Scholar] [CrossRef]
- Voevodin, A.A.; O’Neill, J.P.; Zabinski, J.S. Nanocomposite tribological coatings for aerospace applications. Surf. Coat. Technol. 1999, 116–119, 36–45. [Google Scholar] [CrossRef]
- Monticelli, C.; Balbo, A.; Zucchi, F. Corrosion and tribocorrosion behavior of cermet and cermet/nanoscale multilayer CrN/NbN coatings. Surf. Coat. Technol. 2010, 204, 1452–1460. [Google Scholar] [CrossRef]
- Li, Y.; Qu, L.; Wang, F. The electrochemical corrosion behavior of TiN and (Ti, Al)N coatings in acid and salt solution. Corros. Sci. 2003, 45, 1367–1381. [Google Scholar] [CrossRef]
- Duan, H.; Du, K.; Yan, C.; Wang, F. Electrochemical corrosion behavior of composite coatings of sealed MAO film on magnesium alloy AZ91D. Electrochim. Acta 2006, 51, 2898–2908. [Google Scholar] [CrossRef]
- Zhang, Y.; Wang, Q.; Chen, G.; Ramachandran, C.S. Mechanical, tribological, and corrosion physiognomies of CNT-Al metal matrix composite (MMC) coatings deposited by cold gas dynamic spray (CGDS) process. Surf. Coat. Technol. 2020, 403, 126380. [Google Scholar] [CrossRef]
- Mda, B.; Munk, C.; Ys, C.; Cmk, A.; Akk, D.; Pk, B.; Mm, B.; Pm, D.; Park, B.; Rkg, C. Modification of surface hardness, wear resistance and corrosion resistance of cold spray Al coated AZ31B Mg alloy using cold spray double layered Ta/Ti coating in 3.5wt%NaCl solution. Corros. Sci. 2020, 176, 109029. [Google Scholar]
- Gong, Y.; Geng, J.; Huang, J.; Chen, Z.; Wang, H. Self-healing performance and corrosion resistance of novel CeO2-sealed MAO film on aluminum alloy. Surf. Coat. Technol. 2021, 417, 127208. [Google Scholar] [CrossRef]
- Zhao, Y.; Xu, F.; Zhang, D.; Xu, J.; Shi, X.; Sun, S.; Zhao, W.; Gao, C.; Zuo, D. Enhanced tribological and corrosion properties of DLC/CrN multilayer films deposited by HPPMS. Ceram. Int. 2022, 48, 25569–25577. [Google Scholar] [CrossRef]
- Santosh, K.; Manoj, K.; Amit, H. Combating hot corrosion of boiler tubes—A study. Eng. Fail. Anal. 2018, 94, 379–395. [Google Scholar]
- Wang, Z.; Ma, G.; Li, Z.; Ruan, H.; Yuan, J.; Wang, L.; Ke, P.; Wang, A. Corrosion mechanism of Ti2AlC MAX phase coatings under the synergistic effects of water vapor and solid NaCl at 600 °C. Corros. Sci. 2021, 192, 109788. [Google Scholar] [CrossRef]
- Wang, J.; Li, D.; Shao, T. Hot corrosion and electrochemical behavior of NiCrAlY, NiCoCrAlY and NiCoCrAlYTa coatings in molten NaCl-Na2SO4 at 800 °C. Surf. Coat. Technol. 2022, 440, 128503. [Google Scholar] [CrossRef]
- Verdian, M.M.; Raeissi, K.; Salehi, M. The Corrosion performance of HVOF and APS thermally sprayed NiTi intermetallic coatings in 3.5% NaCl solution. Corros. Sci. 2010, 52, 1052–1059. [Google Scholar] [CrossRef]
- Liu, C.; Bi, Q.; Matthews, A. EIS comparison on corrosion performance of PVD TiN and CrN coated mild steel in 0.5 N NaCl aqueous solution. Corros. Sci. 2001, 43, 1953–1961. [Google Scholar] [CrossRef]














| Coating | Dense | Load- Bearing | Anti- Friction | Wear Resistance | Electro-Chemical | Oxidation |
|---|---|---|---|---|---|---|
| PVD | ★★★ | ★ | ★★★ | ★ | ★★★ | / |
| HVOF | ★ | / | ★ | / | ★ | ★ |
| HVOF-PVD | ★★ | ★★★ | ★★ | ★★★ | ★★★ | ★★★ |
Publisher’s Note: MDPI stays neutral with regard to jurisdictional claims in published maps and institutional affiliations. |
© 2022 by the authors. Licensee MDPI, Basel, Switzerland. This article is an open access article distributed under the terms and conditions of the Creative Commons Attribution (CC BY) license (https://creativecommons.org/licenses/by/4.0/).
Share and Cite
Zhang, Y.; Wang, Q.; Ramachandran, C.S.; Guo, P.; Wang, A. Microstructure and Performance of High-Velocity Oxygen-Fuel Coupled Physical Vapor Deposition (HVOF-PVD) Duplex Protective Coatings: A Review. Coatings 2022, 12, 1395. https://doi.org/10.3390/coatings12101395
Zhang Y, Wang Q, Ramachandran CS, Guo P, Wang A. Microstructure and Performance of High-Velocity Oxygen-Fuel Coupled Physical Vapor Deposition (HVOF-PVD) Duplex Protective Coatings: A Review. Coatings. 2022; 12(10):1395. https://doi.org/10.3390/coatings12101395
Chicago/Turabian StyleZhang, Yingpeng, Qun Wang, Chidambaram Seshadri Ramachandran, Peng Guo, and Aiying Wang. 2022. "Microstructure and Performance of High-Velocity Oxygen-Fuel Coupled Physical Vapor Deposition (HVOF-PVD) Duplex Protective Coatings: A Review" Coatings 12, no. 10: 1395. https://doi.org/10.3390/coatings12101395
APA StyleZhang, Y., Wang, Q., Ramachandran, C. S., Guo, P., & Wang, A. (2022). Microstructure and Performance of High-Velocity Oxygen-Fuel Coupled Physical Vapor Deposition (HVOF-PVD) Duplex Protective Coatings: A Review. Coatings, 12(10), 1395. https://doi.org/10.3390/coatings12101395

