Multiferroic and Nanomechanical Properties of Bi1−xGdxFeO3 Polycrystalline Films (x = 0.00–0.15)
Abstract
:1. Introduction
2. Experiment
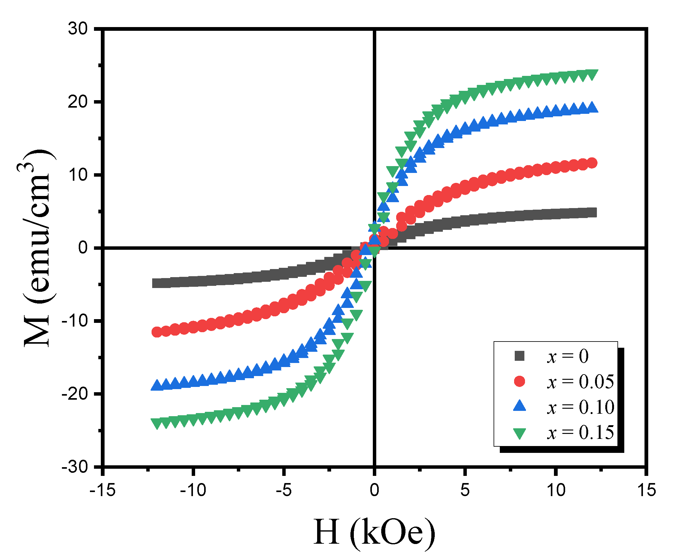
3. Results and Discussion
4. Conclusions
Author Contributions
Funding
Institutional Review Board Statement
Informed Consent Statement
Data Availability Statement
Conflicts of Interest
References
- Tabares-Munoz, C.; Rivera, J.-P.; Schmid, H. Ferroelectric domains, birefringence and absorption of single crystals of BiFeO3. Ferroelectrics 1984, 55, 235–238. [Google Scholar] [CrossRef]
- Wang, J.; Neaton, J.B.; Zheng, H.; Nagarajan, V.; Ogale, S.B.; Liu, B.; Viehland, D.; Vaithyanathan, V.; Schlom, D.G.; Waghmare, U.V.; et al. Epitaxial BiFeO3 multiferroic thin film heterostructures. Science 2003, 299, 1719–1722. [Google Scholar] [CrossRef]
- Smolenskiĭ, G.A.; Chupis, I.E. Ferroelectromagnets. Sov. Phys. Usp. 1982, 25, 475. [Google Scholar] [CrossRef]
- Li, J.; Wang, J.; Wuttig, M.; Ramesh, R.; Wang, N.; Ruette, B.; Pyatakov, A.P.; Zvezdin, A.K.; Li, D.V.J.; Wang, J.; et al. Dramatically enhanced polarization in (001), (101), and (111) BiFeO3 thin films due to epitiaxial-induced transitions. Appl. Phys. Lett. 2004, 84, 5261. [Google Scholar] [CrossRef] [Green Version]
- Teague, J.R.; Gerson, R.; James, W.J. Dielectric hysteresis in single crystal BiFeO3. Solid State Commun. 1970, 8, 1073–1074. [Google Scholar] [CrossRef]
- Shvartsman, V.V.; Kleemann, W.; Haumont, R.; Kreisel, J. Large bulk polarization and regular domain structure in ceramic BiFeO3. Appl. Phys. Lett. 2007, 90, 475. [Google Scholar] [CrossRef]
- Neaton, J.B.; Ederer, C.; Waghmare, U.V.; Spaldin, N.A.; Rabe, K.M. First-principles study of spontaneous polarization in multiferroic BiFeO3. Phys. Rev. B 2005, 71, 14113. [Google Scholar] [CrossRef] [Green Version]
- Catalan, G.; Scott, J.F. Physics and applications of bismuth ferrite. Adv. Mater. 2009, 21, 2463–2485. [Google Scholar] [CrossRef]
- Jang, H.W.; Baek, S.H.; Ortiz, D.; Folkman, C.M.; Eom, C.B.; Chu, Y.H.; Shafer, P.; Ramesh, R.; Vaithyanathan, V.; Schlom, D.G. Epitaxial (001) BiFeO3 membranes with substantially reduced fatigue and leakage. Appl. Phys. Lett. 2008, 92, 1719. [Google Scholar] [CrossRef]
- Lahmar, A.; Habouti, S.; Dietze, M.; Solterbeck, C.-H.; Es-Souni, M. Effects of rare earth manganites on structural, ferroelectric, and magnetic properties of BiFeO3 thin films. Appl. Phys. Lett. 2009, 94, 141106. [Google Scholar] [CrossRef]
- Lin, T.K.; Chang, H.W.; Wang, C.R.; Wei, D.H.; Tu, C.S. Multiferroic and nanomechanical properties of Bi1−xRxFeO3 polycrystalline films (R = La, Pr, Sm, and Ho; x = 0–0.15). J. Alloys Compd. 2020, 846, 156080. [Google Scholar] [CrossRef]
- Murashov, V.A.; Rakov, D.N.; Ionov, V.M.; Dubenko, I.S.; Titov, Y.V.; Goreli, V.S. Magnetoelectric (Bi, Ln)FeO3 compounds: Crystal growth, structure and properties. Ferroelectrics 1994, 162, 11. [Google Scholar] [CrossRef]
- Gabbasova, Z.V.; Kuz’min, M.D.; Zvezdin, A.K.; Dubenko, I.S.; Murashov, V.A.; Rakov, D.N.; Krynetsky, I.B. Bi1−xRxFeO3 (R = rare earth): A family of novel magnetoelectrics. Phys. Lett. A 1991, 158, 491–498. [Google Scholar] [CrossRef] [Green Version]
- Chang, H.W.; Yuan, F.T.; Tu, K.T.; Lin, S.Y.; Wang, C.R.; Tu, C.S. Multiferroic properties of Bi1−xAxFeO3 polycrystalline films on glass substrates (A = Ca, Sr, Ba and x = 0.05–0.15). J. Alloys Compd. 2016, 683, 427–432. [Google Scholar] [CrossRef]
- Khmelevskyi, S.; Khmelevska, T.; Ruban, A.V.; Mohn, P. Magnetic exchange interactions in the paramagnetic state of hcp Gd. J. Phys. Condens. Matter 2007, 19, 326218. [Google Scholar] [CrossRef]
- Hu, W.W.; Chen, Y.; Yuan, H.M.; Li, G.H.; Qiao, Y.; Qin, Y.Y.; Feng, S.H. Structure, magnetic, and ferroelectric properties of Bi1−xGdxFeO3 nanoparticles. J. Phys. Chem. C 2011, 115, 8869. [Google Scholar] [CrossRef]
- Tu, C.S.; Chen, C.S.; Chen, P.Y.; Wei, H.H.; Schmidt, V.H.; Lin, C.Y.; Anthoniappen, J.; Lee, J.M. Enhanced photovoltaic effects in A-site samarium doped BiFeO3 ceramics: The roles of domain structure and electronic state. J. Eur. Ceram. Soc. 2016, 36, 1149. [Google Scholar] [CrossRef] [Green Version]
- Song, D.; He, H.; Duan, Y.; Li, J. Crystal structure, electronic structure, and magnetic properties of bismuth-strontium ferrites. J. Alloys Compd. 2001, 315, 259–264. [Google Scholar]
- Murashov, V.A.; Fischer, P.; Przenioslo, R.; Sosnowska, I. Neutron diffraction studies of the crystal and magnetic structures of BiFeO3 and Bi0.93La0.07FeO3. J. Magn. Magn. Mater. 1996, 160, 384–385. [Google Scholar]
- Eibschuetz, M.; Coppens, P. Determination of the crystal structure of yttrium orthoferrite and refinement of gadolinium orthoferrite. Acta Crystallogr. 1965, 19, 524. [Google Scholar]
- Markin, V.N.; Tutov, A.G. The X-ray structural analysis of the antiferromagnetic Bi2Fe4O9 and the isotypical combinations Bi2Ga4O9 and Bi2Al4O9. Neorg. Mater. 1970, 6, 2014. [Google Scholar]
- Li, X.D.; Gao, H.; Murphy, C.J.; Caswell, K.K. Nanoindentation of silver nanowires. Nano Lett. 2003, 11, 1495–1498. [Google Scholar] [CrossRef]
- Ablat, A.; Wu, R.; Mamat, M.; Li, J.; Muhemmed, E.; Si, C.; Wu, R.; Wang, J.O.; Qian, H.J.; Ibrahim, K. Structural analysis and magnetic properties of Gd doped BiFeO3 ceramics. Ceram. Int. 2014, 40, 14083–14089. [Google Scholar] [CrossRef]
- Khomchenko, V.A.; Kiselev, D.A.; Bdikin, I.K.; Shvartsman, V.V.; Borisov, P.; Kleemann, W.; Vieira, J.M.; Kholkin, A.L. Crystal structure and multiferroic properties of Gd-substituted BiFeO3. Appl. Phys. Lett. 2008, 93, 759. [Google Scholar] [CrossRef]
- Jena, A.K.; Chelvane, J.A.; Mohanty, J. Evidence for dielectric suppression in non-magnetic modified multiferroic bismuth ferrite. J. Appl. Phys. 2019, 126, 184101. [Google Scholar] [CrossRef]
- Shelke, V.; Mazumdar, D.; Srinivasan, G.; Kumar, A.; Jesse, S.; Kalinin, S.; Baddorf, A.; Gupta, A. Reduced coercive field in BiFeO3 thin films through domain engineering. Adv. Mater. 2011, 23, 669–672. [Google Scholar] [CrossRef] [PubMed]
- Liu, Y.; Tan, G.Q.; Ren, X.X.; Li, J.C.; Xue, M.T.; Ren, H.J.; Xia, A.; Liu, W.L. Electric field dependence of ferroelectric stability in BiFeO3 thin films co-doped with Er and Mn. Ceram. Int. 2020, 46, 18690. [Google Scholar] [CrossRef]
- Ranjith, R.; Prellier, W.; Cheah, J.W.; Wang, J.; Wu, T. Dc leakage behavior and conduction mechanism in (BiFeO3)m(SrTiO3)m superlattices. Appl. Phys. Lett. 2008, 92, 232905. [Google Scholar] [CrossRef] [Green Version]
- Pabst, G.W.; Martin, L.W.; Chu, Y.-H.; Ramesh, R. Leakage mechanisms in BiFeO3 thin films. Appl. Phys. Lett. 2007, 90, 1719. [Google Scholar] [CrossRef]
- Kan, D.; Palova, L.; Anbusathaiah, V.; Cheng, C.-J.; Fujino, S.; Nagarajan, V.; Rabe, K.M.; Takeuchi, I. Universal behavior and electric-field-induced structural transition in rare-earth-substituted BiFeO3. Adv. Funct. Mater. 2010, 20, 1108–1115. [Google Scholar] [CrossRef]
- Nayek, C.; Tamilselvan, A.; Thirmal, C.; Murugavel, P.; Balakumar, S. Origin of enhanced magnetization in rare earth doped multiferroic bismuth ferrite. J. Appl. Phys. 2014, 115, 73902. [Google Scholar] [CrossRef]
- Biswas, S.K.; Pethica, J.B. Effect of roughness on the measurement of nanohardness—A computer simulation study. Appl. Phys. Lett. 1997, 71, 1059–1061. [Google Scholar]
- Yao, Y.; Liu, W.; Chan, Y.; Leung, C.; Mak, C. Studies of rare-earth-doped BiFeO3 ceramics. Int. J. Appl. Ceram. Technol. 2011, 8, 1246. [Google Scholar] [CrossRef]
- Pradhan, S.K.; Das, J.; Rout, P.P.; Das, S.K.; Mishra, D.K.; Sahu, D.R.; Pradhan, A.K.; Srinivasu, V.V.; Nayak, B.B.; Verma, S.; et al. Defect driven multiferroicity in Gd doped BiFeO3 at room temperature. J. Magn. Magn. Mater. 2010, 322, 3614–3622. [Google Scholar] [CrossRef]
- Wang, X.Z.; Yan, B.W.; Dai, Z.G.; Liu, M.F.; Liu, H.R. Enhanced ferroelectric properties of Gd- substitution BiFeO3 thin films prepared by sol-gel process. Ferroelectrics 2010, 410, 96–101. [Google Scholar] [CrossRef]
- Wu, J.; Wang, J.; Xiao, D.; Zhu, J.J. Effect of (Bi,Gd)FeO3 layer thickness on the microstructure and electrical properties of BiFeO3 thin films. Am. Ceram. Soc. 2011, 94, 4291. [Google Scholar] [CrossRef]
- Cheng, Z.X.; Wang, X.L.; Dou, S.X.; Kimura, H.; Ozawa, K. Enhancement of ferroelectricity and ferromagnetism in rare earth element doped BiFeO3. J. Appl. Phys. 2008, 104, 116109. [Google Scholar] [CrossRef] [Green Version]










| Composition | Sample Form | 2Pr (µC/cm2) | Ec (kV/cm) | Ms (emu/cm3) | Hc (kOe) | Hardness (GPa) | Ref. |
|---|---|---|---|---|---|---|---|
| 0.05 | Bulk | 25.6 | 107.0 | ~0.13 | 1.5 | - | [33] |
| 0.15 | Bulk | - | - | ~1.4 | ~5.0 | - | [23] |
| 0.10 | Bulk | 15 | 50 | 0.05 | ~2.0 | - | [34] |
| 0.10 | Polycrystalline Films | 72.6 | 196.5 | - | - | - | [35] |
| 0.05 | Polycrystalline Films | ~90 | ~300 | - | - | - | [36] |
| 0.10 | Polycrystalline Films | 80 | 5.0 | 8.33 | <10.0 | - | [37] |
| 0.05 | Polycrystalline Films | 71.5 | 289.6 | 11.6 | 502 | 7.5 | This work |
| 0.10 | 133.5 | 275.6 | 19.1 | 395 | 8.3 | ||
| 0.15 | 34.7 | 247.5 | 23.9 | 350 | 8.0 |
Publisher’s Note: MDPI stays neutral with regard to jurisdictional claims in published maps and institutional affiliations. |
© 2021 by the authors. Licensee MDPI, Basel, Switzerland. This article is an open access article distributed under the terms and conditions of the Creative Commons Attribution (CC BY) license (https://creativecommons.org/licenses/by/4.0/).
Share and Cite
Lin, T.-K.; Chang, H.-W.; Chou, W.-C.; Wang, C.-R.; Wei, D.-H.; Tu, C.-S.; Chen, P.-Y. Multiferroic and Nanomechanical Properties of Bi1−xGdxFeO3 Polycrystalline Films (x = 0.00–0.15). Coatings 2021, 11, 900. https://doi.org/10.3390/coatings11080900
Lin T-K, Chang H-W, Chou W-C, Wang C-R, Wei D-H, Tu C-S, Chen P-Y. Multiferroic and Nanomechanical Properties of Bi1−xGdxFeO3 Polycrystalline Films (x = 0.00–0.15). Coatings. 2021; 11(8):900. https://doi.org/10.3390/coatings11080900
Chicago/Turabian StyleLin, Ting-Kai, Huang-Wei Chang, Wan-Chi Chou, Chang-Ren Wang, Da-Hua Wei, Chi-Shun Tu, and Pin-Yi Chen. 2021. "Multiferroic and Nanomechanical Properties of Bi1−xGdxFeO3 Polycrystalline Films (x = 0.00–0.15)" Coatings 11, no. 8: 900. https://doi.org/10.3390/coatings11080900
APA StyleLin, T.-K., Chang, H.-W., Chou, W.-C., Wang, C.-R., Wei, D.-H., Tu, C.-S., & Chen, P.-Y. (2021). Multiferroic and Nanomechanical Properties of Bi1−xGdxFeO3 Polycrystalline Films (x = 0.00–0.15). Coatings, 11(8), 900. https://doi.org/10.3390/coatings11080900

