The Investigation of Microstructure, Photocatalysis and Corrosion Resistance of C-Doped Ti–O Films Fabricated by Reactive Magnetron Sputtering Deposition with CO2 Gas
Abstract
:1. Introduction
2. Materials and Methods
2.1. Materials Synthesis
2.2. Materials Characterization
3. Results and Discussion
3.1. Raman Spectra
3.2. Structure and Chemistry Composition
3.3. Photocatalytic Properties
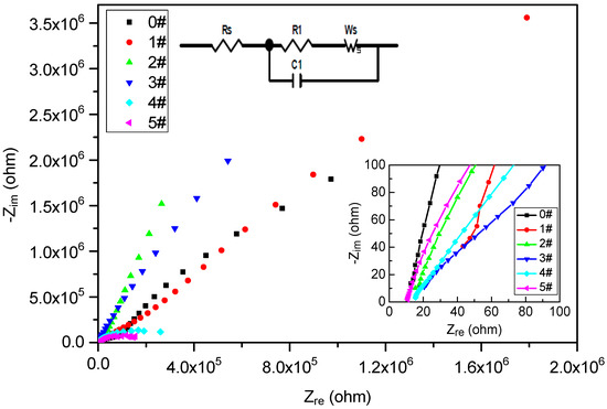
3.4. Corrosion Resistance of the Films
4. Conclusions
Author Contributions
Funding
Institutional Review Board Statement
Informed Consent Statement
Data Availability Statement
Acknowledgments
Conflicts of Interest
References
- Zhong, L.; Haghighat, F. Photocatalytic air cleaners and materials technologies—Abilities and limitations. Build. Environ. 2015, 91, 191–203. [Google Scholar] [CrossRef]
- Akyol, A.; Yatmaz, H.C.; Bayramoglu, M. Photocatalytic decolorization of Remazol Red RR in aqueous ZnO suspensions. Appl. Catal. B Environ. 2004, 54, 19–24. [Google Scholar] [CrossRef]
- Alves, A.C.; Wenger, F.; Ponthiaux, P.; Celis, J.P.; Pinto, A.M.; Rocha, L.A.; Fernandes, J.C.S. Corrosion mechanisms in titanium oxide-based films produced by anodic treatment. Electrochim. Acta 2017, 234, 16–27. [Google Scholar] [CrossRef]
- Zangeneh, H.; Zinatizadeh, A.A.L.; Habibi, M.; Akia, M.; Isa, M.H. Photocatalytic oxidation of organic dyes and pollutants in wastewater using different modified titanium dioxides: A comparative review. J. Ind. Eng. Chem. 2015, 26, 1–36. [Google Scholar] [CrossRef]
- Mohamed, M.A.; Salleh, W.N.W.; Jaafar, J.J.; Rosmi, M.S.; Hir, Z.A.M.; Abd Mutalib, M.; Ismail, A.F.; Tanemura, M. Carbon as amorphous shell and interstitial dopant in mesoporous rutile TiO2: Bio-template assisted sol-gel synthesis and photocatalytic activity. Appl. Surf. Sci. 2017, 393, 46–59. [Google Scholar] [CrossRef]
- Liu, M.; Inde, R.; Nishikawa, M.; Qiu, X.Q.; Atarashi, D.; Sakai, E.; Nosaka, Y.; Hashimoto, K.; Miyauchi, M. Enhanced photoactivity with nanocluster-grafted titanium dioxide photocatalysts. ACS Nano 2014, 8, 7229–7238. [Google Scholar] [CrossRef]
- Pelaez, M.; Nolan, N.T.; Pillai, S.C.; Seery, M.K.; Falaras, P.; Kontos, A.G.; Dunlop, P.S.M.; Hamilton, J.W.J.; Byrne, J.A.; O′Shea, K.; et al. A review on the visible light active titanium dioxide photocatalysts for environmental applications. Appl. Catal. B Environ. 2012, 125, 331–349. [Google Scholar] [CrossRef] [Green Version]
- Xiang, Q.J.; Yu, J.G.; Wong, P.K. Quantitative characterization of hydroxyl radicals produced by various photocatalysts. J. Colloid Interface Sci. 2011, 357, 163–167. [Google Scholar] [CrossRef]
- Li, L.D.; Yan, J.Q.; Wang, T.; Zhao, Z.J.; Zhang, J.; Gong, J.L.; Guan, N.J. Sub-10 nm rutile titanium dioxide nanoparticles for efficient visible-light-driven photocatalytic hydrogen production. Nat. Commun. 2015, 6, 5881. [Google Scholar] [CrossRef] [PubMed] [Green Version]
- Xia, T.; Chen, X.B. Revealing the structural properties of hydrogenated black TiO2 nanocrystals. J. Mater. Chem. A 2013, 1, 2983–2989. [Google Scholar] [CrossRef]
- Kachina, A.; Puzenat, E.; Ould-Chikh, S.; Geantet, C.; Delichere, P.; Afanasiev, P. A new approach to the preparation of nitrogen-doped titania visible light photocatalyst. Chem. Mater. 2012, 24, 636–642. [Google Scholar] [CrossRef]
- Han, C.; Wang, Y.D.; Lei, Y.P.; Wang, B.; Wu, N.; Shi, Q.; Li, Q. In situ synthesis of graphitic-C3N4 nanosheet hybridized N-doped TiO2 nanofibers for efficient photocatalytic H-2 production and degradation. Nano Res. 2015, 8, 1199–1209. [Google Scholar] [CrossRef]
- Kumar, S.G.; Devi, L.G. Review on modified TiO2 photocatalysis under UV/visible light: Selected results and related mechanisms on interfacial charge carrier transfer dynamics. J. Phys. Chem. A 2011, 115, 13211–13241. [Google Scholar] [CrossRef]
- Zhou, P.; Wu, J.H.; Yu, W.L.; Zhao, G.H.; Fang, G.J.; Cao, S.W. Vectorial doping-promoting charge transfer in anatase TiO2{001} surface. Appl. Surf. Sci. 2014, 319, 167–172. [Google Scholar] [CrossRef]
- Qi, K.Z.; Selvaraj, R.; Al Fahdi, T.; Al-Kindy, S.; Kim, Y.; Wang, G.C.; Tai, C.W.; Sillanpaa, M. Enhanced photocatalytic activity of anatase-TiO2 nanoparticles by fullerene modification: A theoretical and experimental study. Appl. Surf. Sci. 2016, 387, 750–758. [Google Scholar] [CrossRef]
- Dargahi, Z.; Asgharzadeh, H.; Maleki-Ghaleh, H. Synthesis of Mo-doped TiO2/reduced graphene oxide nanocomposite for photoelectrocatalytic applications. Ceram. Int. 2018, 44, 13015–13023. [Google Scholar] [CrossRef]
- Gadow, R.; Kern, F.; Killinger, A. Manufacturing of nanocomposite structural ceramic materials and coatings. Int. J. Mater. Prod. Technol. 2009, 35, 334–345. [Google Scholar] [CrossRef]
- Ferrari-Lima, A.M.; de Souza, R.P.; Mendes, S.S.; Marques, R.G.; Gimenes, M.L.; Fernandes-Machado, N.R.C. Photodegradation of benzene, toluene and xylenes under visible light applying N-doped mixed TiO2 and ZnO catalysts. Catal. Today 2015, 241, 40–46. [Google Scholar] [CrossRef]
- Park, S.K.; Jeong, J.S.; Yun, T.K.; Bae, J.Y. Preparation of carbon-doped TiO2 and Its application as a photoelectrodes in dye-sensitized solar cells. J. Nanosci. Nanotechnol. 2015, 15, 1529–1532. [Google Scholar] [CrossRef] [PubMed]
- Haider, A.J.; Al-Anbari, R.H.; Kadhim, G.R.; Salame, C.T. Exploring potential Environmental applications of TiO2 Nanoparticles. Energy Procedia 2017, 119, 332–345. [Google Scholar] [CrossRef]
- Kulathunga, K.M.S.D.B.; Gannoruwa, A.; Bandara, J. Infrared light active photocatalyst for the purification of airborne indoor pollutants. Catal. Commun. 2016, 86, 9–13. [Google Scholar] [CrossRef]
- Dawson, M.; Ribeiro, C.; Morelli, M.R. Rutile supported anatase nanostructured films as photocatalysts for the degradation of water contaminants. Ceram. Int. 2016, 42, 808–819. [Google Scholar] [CrossRef]
- Zielinska-Jurek, A.; Bielan, Z.; Wysocka, I.; Strychalska, J.; Janczarek, M.; Klimczuk, T. Magnetic semiconductor photocatalysts for the degradation of recalcitrant chemicals from flow back water. J. Environ. Manag. 2017, 195, 157–165. [Google Scholar] [CrossRef]
- Koci, K.; Obalova, L.; Matejova, L.; Placha, D.; Lacny, Z.; Jirkovsky, J.; Solcova, O. Effect of TiO2 particle size on the photocatalytic reduction of CO2. Appl. Catal. B Environ. 2009, 89, 494–502. [Google Scholar] [CrossRef]
- Hao, W.C.; Zheng, S.K.; Wang, C.; Wang, T.M. Comparison of the photocatalytic activity of TiO2 powder with different particle size. J. Mater. Sci. Lett. 2020, 21, 1627–1629. [Google Scholar] [CrossRef]
- Pigeot-Remy, S.; Gregori, D.; Hazime, R.; Herissan, A.; Guillard, C.; Ferronato, C.; Cassaignon, S.; Colbeau-Justin, C.; Durupthy, O. Size and shape effect on the photocatalytic efficiency of TiO2 brookite. J. Mater. Sci. 2019, 54, 1213–1225. [Google Scholar] [CrossRef]
- Pellegrino, F.; Pellutie, L.; Sordello, F.; Minero, C.; Ortel, E.; Hodoroaba, V.D.; Maurino, V. Influence of agglomeration and aggregation on the photocatalytic activity of TiO2 nanoparticles. Appl. Catal. B Environ. 2017, 216, 80–87. [Google Scholar] [CrossRef]
- Topuz, E.; Traber, J.; Sigg, L.; Talinli, I. Agglomeration of Ag and TiO2 nanoparticles in surface and wastewater: Role of calcium ions and of organic carbon fractions. Environ. Pollut. 2015, 204, 313–323. [Google Scholar] [CrossRef]
- Li, G.; Lv, L.; Fan, H.T.; Ma, J.Y.; Li, Y.Q.; Wan, Y.; Zhao, X.S. Effect of the agglomeration of TiO2 nanoparticles on their photocatalytic performance in the aqueous phase. J. Colloid Interface Sci. 2010, 348, 342–347. [Google Scholar] [CrossRef]
- Zhou, F.; Ren, X.H. Reversible photochromic photocatalyst Bi2O3/TiO2/Al2O3 with enhanced visible photoactivity: Application toward UDMH degradation in wastewater. J. Environ. Sci. Health Part A 2020, 55, 239–255. [Google Scholar] [CrossRef]
- Wang, Z.P.; Liu, Y.; Chen, X.J.; Yu, Q.J. Preparation and characterisation of mesoporous TiO2 photo-catalyst. Environ. Technol. 2006, 27, 1137–1143. [Google Scholar] [CrossRef] [PubMed]
- Li, J.X.; Chen, Z.; Fang, J.F.; Yang, Q.; Yang, X.R.; Zhao, W.; Zhou, D.T.; Qian, X.X.; Liu, C.X.; Shao, J.Z. Facile synthesis of TiO2 film on glass for the photocatalytic removal of rhodamine B and tetracycline hydrochloride. Mater. Express 2019, 9, 437–443. [Google Scholar] [CrossRef]
- Bozorgtabar, M.; Rahimipour, M.; Salehi, M. Effect of thermal spray processes on anatase-rutile phase transformation in nano-structured TiO2 photo-catalyst coatings. Surf. Eng. 2010, 26, 422–427. [Google Scholar] [CrossRef]
- Hamadanian, M.; Behpour, M.; Razavian, A.S.; Jabbari, V. Structural, morphological and photocatalytic characterisations of Ag-coated anatase TiO2 fabricated by the sol-gel dip-coating method. J. Exp. Nanosci. 2013, 8, 901–912. [Google Scholar] [CrossRef] [Green Version]
- AlArfaj, E. Investigation of Ag-TiO2 nanostructures photocatalytic properties prepared by modified dip coating method. Philos. Mag. 2016, 96, 1386–1398. [Google Scholar] [CrossRef]
- Sajfrtova, M.; Cerhova, M.; Drinek, V.; Danis, S.; Matejova, L. Preparation of nanocrystalline titania thin films by using pure and water-modified supercritical carbon dioxide. J. Supercrit. Fluids 2016, 117, 289–296. [Google Scholar] [CrossRef]
- Warkhade, S.K.; Gaikwad, G.S.; Zodape, S.P.; Pratap, U.; Maldhure, A.V.; Wankhade, A.V. Low temperature synthesis of pure anatase carbon doped titanium dioxide: An efficient visible light active photocatalyst. Mater. Sci. Semicond. Process. 2017, 63, 18–24. [Google Scholar] [CrossRef]
- Klaysri, R.; Ratova, M.; Praserthdam, P.; Kelly, P.J. Deposition of visible light-active C-Doped titania films via magnetron sputtering using CO2 as a source of carbon. Nanomaterials 2017, 7, 113. [Google Scholar] [CrossRef] [Green Version]
- Ratova, M.; Klaysri, R.; Praserthdam, P.; Kelly, P.J. Visible light active photocatalytic C-doped titanium dioxide films deposited via reactive pulsed DC magnetron co-sputtering: Properties and photocatalytic activity. Vacuum 2018, 149, 214–224. [Google Scholar] [CrossRef]
- Dang, B.H.Q.; Rahman, M.; MacElroy, D.; Dowling, D.P. Evaluation of microwave plasma oxidation treatments for the fabrication of photoactive un-doped and carbon-doped TiO2 coatings. Surf. Coat. Technol. 2012, 206, 4113–4118. [Google Scholar] [CrossRef]
- Xiao, P.; Zheng, S.B.; You, J.L.; Jiang, G.C.; Chen, H.; Zeng, H. Structure and Raman Spectra of titanium oxide. Spectrosc. Spect. Anal. 2007, 27, 936–939. [Google Scholar]
- Zheng, R.T.; Cheng, G.A.; Zhao, Y.; Liu, H.P. A Comparative Raman study of carbon nanotubes allays. Spectrosc. Spect. Anal. 2006, 26, 1071–1075. [Google Scholar]
- Ma, T.T. Preparation and Enhanced Photocatalytic Performance of Carbon/TiO2 Nanocomposites. Master’s Thesis, Wuhan University of Technology, Wuhan, China, 2011. [Google Scholar]
- Amemiya, S. Titanium-oxide photocatalyst. Three Bond Tech. News 2004, 62, 1–8. [Google Scholar]
- Ao, C.H.; Lee, S.C. Combination effect of activated carbon with TiO2 for the photodegradation of binary pollutants at typical indoor air level. J. Photochem. Photobiol. A Chem. 2004, 161, 131–140. [Google Scholar] [CrossRef]
- Bai, Y.; Sun, H.Q.; Jin, W.Q. Effects of pH values on the physicochemical properties and photocatalytic activities of nitrogen-doped TiO2. J. Inorg. Mater. 2008, 23, 387–392. [Google Scholar] [CrossRef]
- Qiu, W.; Ren, C.J.; Gong, M.C.; Hou, Y.Z.; Chen, Y.Q. Structure, surface properties and photocatalytic activity of TiO2 and TiO2/SiO2 catalysts prepared at different pH values. Acta Phys. Chim. Sin. 2011, 27, 1487–1492. [Google Scholar]
- Azeez, F.; Al-Hetlani, E.; Arafa, M.; Abdelmonem, Y.; Nazeer, A.A.; Amin, M.O.; Madkour, M. The effect of surface charge on photocatalytic degradation of methylene blue dye using chargeable titania nanoparticles. Sci. Rep. 2018, 8, 7104. [Google Scholar] [CrossRef]
- Bano, I.; Kumar, R.V.; Hameed, A. Influence of pH on the preparation of dispersed Ag-TiO2 nanocomposite. Ionics 2012, 18, 307–313. [Google Scholar] [CrossRef]
- Gaona-Tiburcio, C.; Montoya-Rangel, M.; Cabral-Miramontes, J.A.; Estupinan-Lopez, F.; Zambrano-Robledo, P.; Cruz, R.O.; Chacon-Nava, J.G.; Baltazar-Zamora, M.A.; Almeraya-Calderon, F. Corrosion resistance of multilayer coatings deposited by PVD on inconel 718 using electrochemical impedance spectroscopy technique. Coatings 2020, 10, 521. [Google Scholar] [CrossRef]
- Zhao, X.; Zhuang, Q.C.; Xu, S.D.; Xu, Y.X.; Shi, Y.L.; Zhang, X.X. Investigation of Cr2O3 as anode materials for lithium-ion batteries by electrochemical impedance spectroscopy. J. Electrochem. Soc. 2015, 162, A1156–A1162. [Google Scholar] [CrossRef]






| Sample No. | CO2 (sccm) | O2 (sccm) | CO2:O2 |
|---|---|---|---|
| 0# | - | 6 | - |
| 1# | 18 | - | - |
| 2# | 18 | 12 | 3:2 |
| 3# | 18 | 6 | 3:1 |
| 4# | 18 | 3 | 6:1 |
| 5# | 36 | 3 | 12:1 |
| Item | Mat. Type | Wavenumber (cm−1) | ||||||
|---|---|---|---|---|---|---|---|---|
| Ti–O | TiO | 194 | 216 | 332 | 462 | |||
| Ti2O3 | 199 | 233 | 279 | 325 | 426 | |||
| Ti3O5 | 155 | 261 | 416 | 606 | ||||
| Rutile | 144 (B1g) | 235 | 448 (Eg) | 612 (A1g) | ||||
| Anatase | 147 | 198 | 398 | 515 | 640 | |||
| Carbon | D-band | 1340–1400 | ||||||
| G-band | 1540–1600 | |||||||
| Target Pollutant | Sample No. | k (h−1) | kn − kSS | R2 |
|---|---|---|---|---|
| Methyl Orange (MO) | 1# | 0.19649 | 0.12839 | 0.98271 |
| 2# | 0.19822 | 0.13012 | 0.93760 | |
| 3# | 0.10481 | 0.03671 | 0.98278 | |
| 4# | 0.12026 | 0.05216 | 0.95903 | |
| 5# | 0.07405 | 0.00595 | 0.99544 | |
| SS | 0.0681 | - | 0.98215 |
Publisher’s Note: MDPI stays neutral with regard to jurisdictional claims in published maps and institutional affiliations. |
© 2021 by the authors. Licensee MDPI, Basel, Switzerland. This article is an open access article distributed under the terms and conditions of the Creative Commons Attribution (CC BY) license (https://creativecommons.org/licenses/by/4.0/).
Share and Cite
Wu, Z.; Zhang, C.; Liu, J.; Wen, F.; Cao, H.; Pei, Y. The Investigation of Microstructure, Photocatalysis and Corrosion Resistance of C-Doped Ti–O Films Fabricated by Reactive Magnetron Sputtering Deposition with CO2 Gas. Coatings 2021, 11, 881. https://doi.org/10.3390/coatings11080881
Wu Z, Zhang C, Liu J, Wen F, Cao H, Pei Y. The Investigation of Microstructure, Photocatalysis and Corrosion Resistance of C-Doped Ti–O Films Fabricated by Reactive Magnetron Sputtering Deposition with CO2 Gas. Coatings. 2021; 11(8):881. https://doi.org/10.3390/coatings11080881
Chicago/Turabian StyleWu, Zhiyu, Cong Zhang, Jiaqi Liu, Feng Wen, Huatang Cao, and Yutao Pei. 2021. "The Investigation of Microstructure, Photocatalysis and Corrosion Resistance of C-Doped Ti–O Films Fabricated by Reactive Magnetron Sputtering Deposition with CO2 Gas" Coatings 11, no. 8: 881. https://doi.org/10.3390/coatings11080881
APA StyleWu, Z., Zhang, C., Liu, J., Wen, F., Cao, H., & Pei, Y. (2021). The Investigation of Microstructure, Photocatalysis and Corrosion Resistance of C-Doped Ti–O Films Fabricated by Reactive Magnetron Sputtering Deposition with CO2 Gas. Coatings, 11(8), 881. https://doi.org/10.3390/coatings11080881

