Multiscale and Multi-Technical Approach to Characterize the Hot-Dip Galvanized Steel Surface and Its Consequence(s) on Paint Adhesion and Tendency to Blistering
Abstract
1. Introduction
2. Materials and Methods
2.1. Materials
2.2. Cleaning Process and Paint Application
2.3. Surface and Interface Characterization
2.3.1. Topography Measurements
2.3.2. Raman Spectromicroscopy
2.3.3. X-ray Photoelectron Spectroscopy (XPS)
2.3.4. Glow Discharge Optical Emission Spectrometry (GD-OES)
2.3.5. Electrochemical Impedance Spectroscopy (EIS)
2.4. Laboratory Tests
2.4.1. Humidity Resistance Testing
2.4.2. T-Bend Testing
2.4.3. N-Methyl Pyrrolidone (NMP) Test
3. Results and Discussion
3.1. Preparation of Surface with Different Aluminium Concentration
3.1.1. Hot-Dip Galvanized Steel Surface before Alkaline Cleaning
3.1.2. Study of the Impact of the Time of Alkaline Cleaning
3.1.3. Surface Characterization as a Function of the Alkaline Cleaning Condition
- −
- Oil free/Al-rich state: Neutral cleaner at 40 °C during 10 s
- −
- Partly Al free: Mild cleaner at 50 °C during 15 s
- −
- Mostly Al free: Strong cleaner at 50 °C during 15 s
3.2. Effect of Aluminium Concentration on Adhesion and Tendency to Blistering
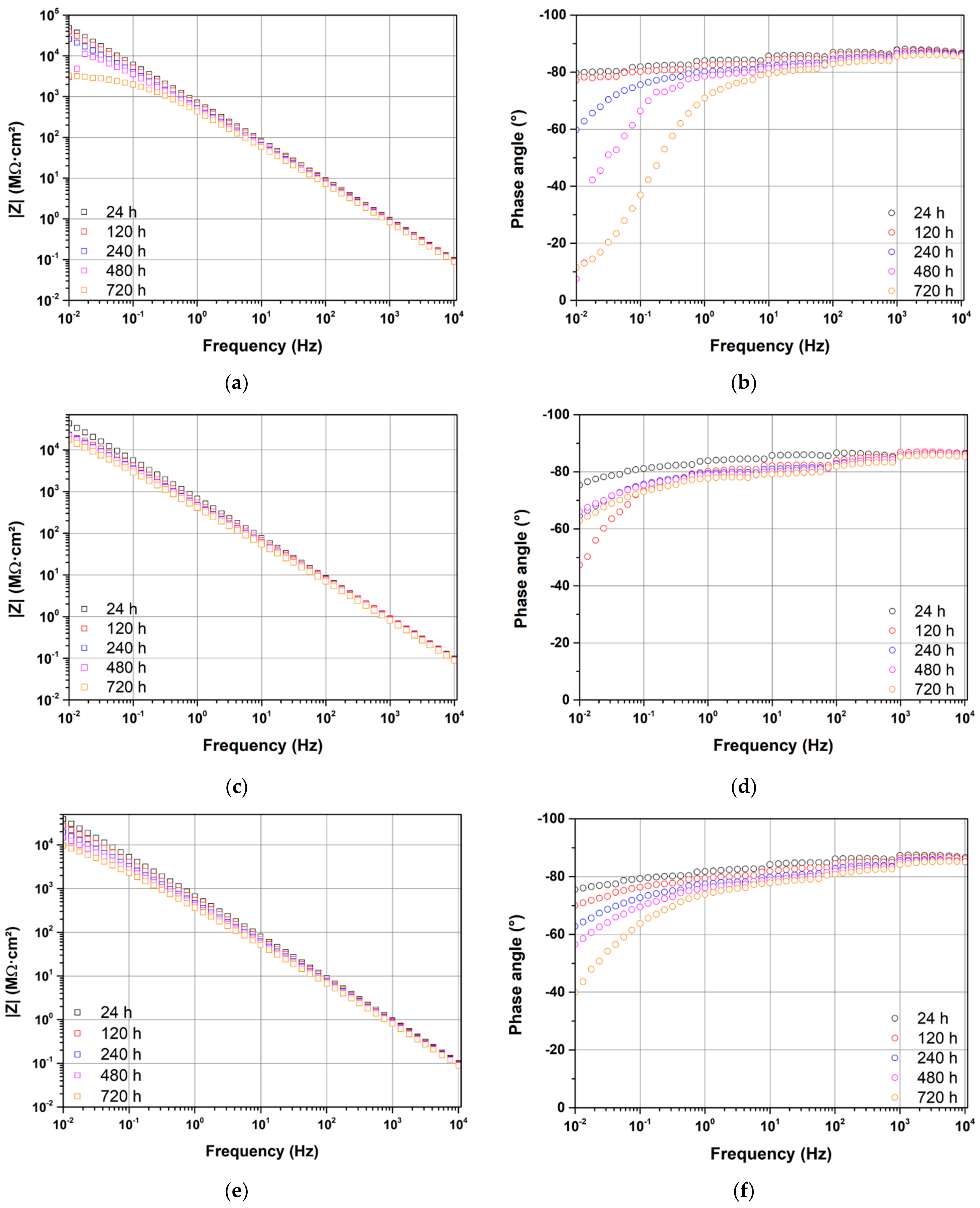
3.2.1. Study of the Interface Stability in the Presence of Water
3.2.2. Paint Performance: Adhesion and Resistance to Blistering
4. Conclusions
- The use of the cleaning step was found to be a good approach to input variability on the surface when considering the concentration of aluminum at the surface and a solid methodology was developed.
- It was demonstrated that a low content of aluminum at the surface led to a performance improvement when considering adhesion and blistering.
- The impact of the cleaning step, thus the presence of aluminum on the surface, was demonstrated by EIS measurements and the NMP test in dry conditions. Indeed, it was shown that a reduced content of aluminum at the surface gave the best results in terms of interface stability.
Author Contributions
Funding
Institutional Review Board Statement
Informed Consent Statement
Data Availability Statement
Acknowledgments
Conflicts of Interest
References
- Feliu, S., Jr.; Barranco, V. XPS Study of the surface chemistry of conventional hot-dip galvanised pure Zn, galvanneal and Zn-Al alloy coatings on steel. Acta Mater. 2003, 51, 5413–5424. [Google Scholar] [CrossRef]
- Maeda, S. Surface chemistry of galvanized steel sheets relevant to adhesion performance. Prog. Org. Coat. 1996, 28, 227–238. [Google Scholar] [CrossRef]
- Biber, H.E. Scanning Auger Microprobe study of hot-dipped regular spangle galvanized steel: Part I. Surface composition of as-produced sheet. Metall. Trans. A 1998, 19, 1603–1608. [Google Scholar] [CrossRef]
- Wolper, M.; Angeli, J. Activation of galvanized steel surfaces before zinc phosphating—XPS and GDOES investigations. Appl. Surf. Sci. 2001, 179, 281–291. [Google Scholar] [CrossRef]
- Puomi, P.; Fagerholm, H.M.; Rosenholm, J.B.; Sipilä, R. Effect of skin pass rolling on the primer adhesion and corrosion resistance of hot-dip galvanized (HDG) steel. J. Adhes. Sci. Technol. 2000, 14, 583–600. [Google Scholar] [CrossRef]
- Berger, R.; Bexell, U.; Stavlid, N.; Mikael Grehk, T. The influence of alkali-degreasing on the chemical composition of hot-dip galvanized steel surfaces. Surf. Interface Anal. 2006, 38, 1130–1138. [Google Scholar] [CrossRef]
- Saarimaa, V.; Markkula, A.; Juhanoja, J.; Skirfvars, B.-J. Novel insight to aluminium compounds in the outermost layers of hot dip galvanized steel and how they affect the reactivity of the zinc surface. Surf. Coat. Technol. 2016, 306, 506–511. [Google Scholar] [CrossRef]
- Saarimaa, V.; Lange, C.; Paunikallio, T.; Kaleva, A.; Nikkanen, J.-P.; Levänen, E.; Väisänen, P.; Markkula, A. Evaluation of surface activity of hot-dip galvanized steel after alkaline cleaning. J. Coat. Technol. Res. 2020, 17, 285–292. [Google Scholar] [CrossRef]
- Yasakau, K.A.; Giner, I.; Vree, C.; Ozcan, O.; Grothe, R.; Olivieria, A.; Grundmeier, G.; Ferreira, M.G.S.; Zheludkevich, M.L. Influence of stripping and cooling atmospheres on surface properties and corrosion of zinc galvanizing coatings. Appl. Surf. Sci. 2016, 389, 144–156. [Google Scholar] [CrossRef]
- Kim, D.K.; Leidheiser, H., Jr. Chemistry of the surface of hot-dipped galvanized steel and its relation to paint adherence. Surf. Technol. 1977, 5, 379–396. [Google Scholar] [CrossRef]
- Leidheiser, H., Jr.; Kim, D.K. Crystallographic factors affecting the adherence of paint deformed galvanized steel. JOM 1976, 28, 19–25. [Google Scholar] [CrossRef]
- Saarimaa, V.; Kauppinen, E.; Markkula, A.; Juhanoja, J.; Skirfvars, B.-J.; Steen, P. Microscale distribution of Ti-based conversion layer on hot dip galvanized steel. Surf. Coat. Technol. 2012, 206, 4173–4179. [Google Scholar] [CrossRef]
- Saarimaa, V.; Markkula, A.; Juhanoja, J.; Skirfvars, B.-J. Improvement of barrier properties of Cr-free pretreatments for coil-coated products. J. Coat. Technol. Res. 2015, 12, 721–730. [Google Scholar] [CrossRef]
- Saarimaa, V.; Markkula, A.; Arstila, K.; Manni, J.; Juhanoja, J. Effect of hot dip galvanized steel surface chemistry and morphology on titanium hexafluoride pretreatment. Adv. Mater. Phys. Chem. 2017, 7, 28–41. [Google Scholar] [CrossRef]
- Schoeman, L.; Burty, M. Cleaning optimization of hot-dip galvanized steel surfaces in preparation for paint application. Mater. Sci. Forum 2018, 941, 1772–1777. [Google Scholar] [CrossRef]
- Wilson, B.; Fink, N.; Grundmeier, G. Formation of ultra-thin amorphous conversion films on zinc alloy coatings. Part 2: Nucleation, growth and properties of inorganic-organic ultra-thin hybrid films. Electrochim. Acta 2006, 51, 3066–3075. [Google Scholar] [CrossRef]
- Zhu, L.Z.; Liang, Y.J.; Yang, J.H.; Chen, X. Investigation on the adhesion improvement of organic coatings on the surface of hot-dip galvanized steel. J. Phys. Conf. Ser. 2020, 1605, 012128. [Google Scholar] [CrossRef]
- Biber, H.E. Scanning Auger Microprobe study of hot-dipped regular spangle galvanized steel: Part II: Surface composition of chromated sheet. Metall. Trans. A 1998, 19, 1609–1616. [Google Scholar] [CrossRef]
- Heitbaum, J. New trends in the chemical pretreatment of metal surfaces. Macromol. Symp. 2002, 187, 43–51. [Google Scholar] [CrossRef]
- Vu, T.N.; Mokaddem, M.; Volovitch, P.; Ogle, K. The anodic dissolution of zinc and zinc alloys in alkaline solution. II. Al and Zn partial dissolution from 5% Al-Zn Coatings. Electrochim. Acta 2012, 74, 130–138. [Google Scholar] [CrossRef]
- Han, J.; Ogle, K. The anodic and cathodic dissolution of α-phase Zn-68Al in alkaline media. Corros. Sci. 2019, 148, 1–11. [Google Scholar] [CrossRef]
- Zhang, Y.; Cui, K.; Gao, Q.; Hussain, S.; Lv, Y. Investigation of morphology and texture properties of WSi2 coatings on W substrate based on contact-mode AFM and EBSD. Surf. Coat. Technol. 2020, 396, 125966. [Google Scholar] [CrossRef]
- ASTM D4585. Standard Practice for Testing Water Resistance of Coatings Using Controlled Condensation; ASTM International: West Conshohocken, PA, USA, 2018. [Google Scholar]
- ISO 6270. Paints and Varnishes—Determination of Resistance to Humidity; ISO Standard: Brussels, Belgium, 2017. [Google Scholar]
- ASTM D 2247. Standard Practice for Testing Water Resistance of Coatings in 100% Relative Humidity; ASTM International: West Conshohocken, PA, USA, 2020. [Google Scholar]
- Prosek, T.; Nazarov, A.; Stoulil, J.; Thierry, D. Evaluation of the tendency of coil-coated materials to blistering: Field exposure, accelerated tests and electrochemical measurements. Corros. Sci. 2012, 61, 92–100. [Google Scholar] [CrossRef]
- ISO 4628-2. Paints and Varnishes—Evaluation of Degradation of Coatings—Designation of Quantity and Size of Defects, and of Intensity of Uniform Changes in Appearance—Part 2: Assessment of Degree of Blistering; ISO Standard: Brussels, Belgium, 2016. [Google Scholar]
- ASTM D 4145. Standard Test Method for Coating Flexibility of Prepainted Sheet; ASTM International: West Conshohocken, PA, USA, 2018. [Google Scholar]
- Das, J.; Pradhan, S.K.; Sahu, D.R.; Mishra, D.K.; Sarangi, S.N.; Nayak, B.B.; Verma, S.; Roul, B.K. Micro-Raman and XPS studies of pure ZnO ceramics. Phys. B 2010, 405, 2492–2497. [Google Scholar] [CrossRef]
- Ozgur, U.; Alivov, Y.I.; Liu, C.; Teke, A.; Reschikov, M.A.; Dogan, S.; Avrutin, V.; Cho, S.J.; Morkoç, H. A comprehensive review of ZnO materials and devices. J. Appl. Phys. 2005, 98, 041301. [Google Scholar] [CrossRef]
- Zhang, Y.; Xie, E. Nature of room-temperature ferromagnetism from undoped ZnO nanoparticles. Appl. Phys. A 2010, 99, 955–960. [Google Scholar] [CrossRef]
- Sendi, R.K.; Mahmud, S. Quantum size effect on ZnO nanoparticle-based discs synthesized by mechanical milling. Appl. Surf. Sci. 2012, 258, 8026–8031. [Google Scholar] [CrossRef]
- Aksyanov, I.G.; Kompan, M.E.; Kul’kova, I.V.; Stepanov, Y.P. Luminescence and Raman spectra of sol-gel-derived ZnO microcrystals with a high iron content. Glass Phys. Chem. 2012, 38, 143–148. [Google Scholar] [CrossRef]
- Mataigne, J.-M.; Vaché, V.; Repoux, M. Surface Chemistry and Reactivity of Skin-Passed Hot-Dip Galvanized Coating; Galvatech’07: Osaka, Japan, 2007; pp. 1–6. [Google Scholar]
- Guillom, M.F.; Pfister-Guillouzo, G.; Bremont, M.; Brockmann, W.; Quet, C.; Chenard, J.Y. Application of X-Ray Photoelectron spectroscopy to the study of degradation mechanisms of epoxy-bonded joints of zinc coated steel. Appl. Surf. Sci. 1997, 108, 149–157. [Google Scholar] [CrossRef]
- Vaché, V. Galvanized Steel Sheets: Deformation, Texture, Ageing, Surface Reactivity. Ph.D. Thesis, École des Mines de Paris, Paris, France, 2007. [Google Scholar]
- Fink, N.; Wilson, B.; Grundmeier, G. Formation of ultra-thin amorphous conversion films on zinc alloy coatings, Part 1: Composition and reactivity of native oxides on ZnAl (0.05%) coatings. Electrochim. Acta 2006, 51, 2956–2963. [Google Scholar] [CrossRef]
- Lu, F.; Song, B.; He, P.; Wang, Z.; Wang, J. Electrochemical impedance spectroscopy (EIS) study on the degradation of acrylic polyurethane coatings. RCS Adv. 2017, 7, 13742–13748. [Google Scholar] [CrossRef]
- Lee, C.C.; Mansfeld, F. Automatic classification of polymer coating quality using artificial neural networks. Corros. Sci. 1999, 41, 439–461. [Google Scholar] [CrossRef]
- Leidheiser, H.; Funke, W. Water disbondment and wet adhesion of organic coatings on metals: A review and interpretation. J. Oil Colour Chem. Assoc. 1987, 70, 121–132. [Google Scholar]
- Gaillard, F.; Peillex, E.; Romand, M.; Verchère, D.; Hocquaux, H. Influence of surface treatments of hot-dip galvanized steels on their acid-base properties and on their reactions with some organic compounds. Surf. Interface Anal. 1995, 23, 307–312. [Google Scholar] [CrossRef]
- Greunz, T.; Lowe, C.; Schmid, M.; Wallner, G.M.; Strauss, B.; Stifter, D. Dry adhesion study of polyester/melamine clear coats on galvanized steel. Int. J. Adhes. Adhes. 2019, 95, 1–10. [Google Scholar] [CrossRef]
- Van den Brand, J.; Van Gils, S.; Terryn, H.; Sivel, V.G.M.; de Wit, J.H.W. Changes in epoxy-coated aluminium due to exposure to water. Prog. Org. Coat. 2004, 51, 351–364. [Google Scholar] [CrossRef]
- Vellinga, W.P.; Eising, G.; de Wit, F.M.; Mol, J.M.C.; Terryn, H.; de Wit, J.H.W.; De Hosson, J.T. Adhesion at Al-hydroxide-polymer interfaces: Influence of chemistry and evidence for microscopic self-spinning. Mater. Sci. Eng. A 2010, 527, 5637–5647. [Google Scholar] [CrossRef]
- Rider, A.N.; Brack, N.; Andres, S.; Pigram, P.J. The influence of hydroxyl group concentration on epoxy-aluminium bond durability. J. Adhes. Sci. Technol. 2004, 18, 1123–1152. [Google Scholar] [CrossRef]
- Van den Brand, J.; Snijders, P.C.; Sloof, W.G.; Terryn, H.; de Wit, J.H.W. Acid-base characterization of aluminium oxide surfaces with XPS. J. Phys. Chem. B 2004, 108, 6017–6024. [Google Scholar] [CrossRef]
- Van den Brand, J.; Van Gils, S.; Beentjes, P.C.J.; Terryn, H.; de Wit, J.H.W. Ageing of aluminium oxide surfaces and their subsequent reactivity towards bonding with organic functional groups. Appl. Surf. Sci. 2004, 235, 465–474. [Google Scholar] [CrossRef]
- Yang, C.; Xing, X.; Li, Z.; Zhang, S. A comprehensive review on water diffusion in polymers focusing on the polymer-metal interface combination. Polymers 2020, 12, 138. [Google Scholar] [CrossRef] [PubMed]










| Ranking | Description | ISO 4628-2 | ||||
|---|---|---|---|---|---|---|
| S1 | S2 | S3 | S4 | S5 | ||
| 1 | Free of blisters | - | - | - | - | - |
| 2 | Several very small blisters | 2S1 | 1S2 | - | - | - |
| 3 | Low extent of blistering | 3S1 | 2S2 | 1S3 | 1S4 | - |
| 4 | Blistering | 4S1, 5S1 | 3S2, 4S2 | 2S3, 3S3 | 2S4 | - |
| 5 | Heavy blistering | - | 5S2 | 4S3 | 3S4 | 1S5, 2S5 |
| 6 | Dramatic blistering | - | - | 5S3 | 4S4, 5S4 | 3S5, 4S5, 5S5 |
| Classification | Adhesion | Cracking |
|---|---|---|
| 1 | No loss of adhesion | No cracking |
| 2 | No loss of adhesion | Cracking |
| 3 | Slight loss of adhesion: Less than 10% of the bend area delaminated | No cracking |
| 4 | Slight loss of adhesion: Less than 10% of the bend area delaminated | Cracking |
| 5 | Loss of adhesion: At least 10% of the bend area delaminated | Not assessed |
| 6 | Severe loss of adhesion: >50% of the bend area delaminated | Not assessed |
| Elements | C | O | Al | Zn | Al/Zn |
|---|---|---|---|---|---|
| [at%] | 27.3 | 49.7 | 17.3 | 5.5 | 3.1 |
| Cleaning Conditions | NMPRT (s) |
|---|---|
| pH = 8 | 332 (±138) |
| pH ≈ 10 | 255 (±137) |
| pH > 13 | No delamination observed after 2 h of test |
Publisher’s Note: MDPI stays neutral with regard to jurisdictional claims in published maps and institutional affiliations. |
© 2021 by the authors. Licensee MDPI, Basel, Switzerland. This article is an open access article distributed under the terms and conditions of the Creative Commons Attribution (CC BY) license (https://creativecommons.org/licenses/by/4.0/).
Share and Cite
Pélissier, K.; Thierry, D. Multiscale and Multi-Technical Approach to Characterize the Hot-Dip Galvanized Steel Surface and Its Consequence(s) on Paint Adhesion and Tendency to Blistering. Coatings 2021, 11, 704. https://doi.org/10.3390/coatings11060704
Pélissier K, Thierry D. Multiscale and Multi-Technical Approach to Characterize the Hot-Dip Galvanized Steel Surface and Its Consequence(s) on Paint Adhesion and Tendency to Blistering. Coatings. 2021; 11(6):704. https://doi.org/10.3390/coatings11060704
Chicago/Turabian StylePélissier, Krystel, and Dominique Thierry. 2021. "Multiscale and Multi-Technical Approach to Characterize the Hot-Dip Galvanized Steel Surface and Its Consequence(s) on Paint Adhesion and Tendency to Blistering" Coatings 11, no. 6: 704. https://doi.org/10.3390/coatings11060704
APA StylePélissier, K., & Thierry, D. (2021). Multiscale and Multi-Technical Approach to Characterize the Hot-Dip Galvanized Steel Surface and Its Consequence(s) on Paint Adhesion and Tendency to Blistering. Coatings, 11(6), 704. https://doi.org/10.3390/coatings11060704

