Reliable Ohmic Contact Properties for Ni/Hydrogen-Terminated Diamond at Annealing Temperature up to 900 °C
Abstract
1. Introduction
2. Experimental
2.1. Preparation of H-Diamond Epitaxial Layer
2.2. Formation of Transmission Line Model (TLM) Patterns for Ni on the H-Diamond
2.3. Annealing Process and Current–Voltage Measurements
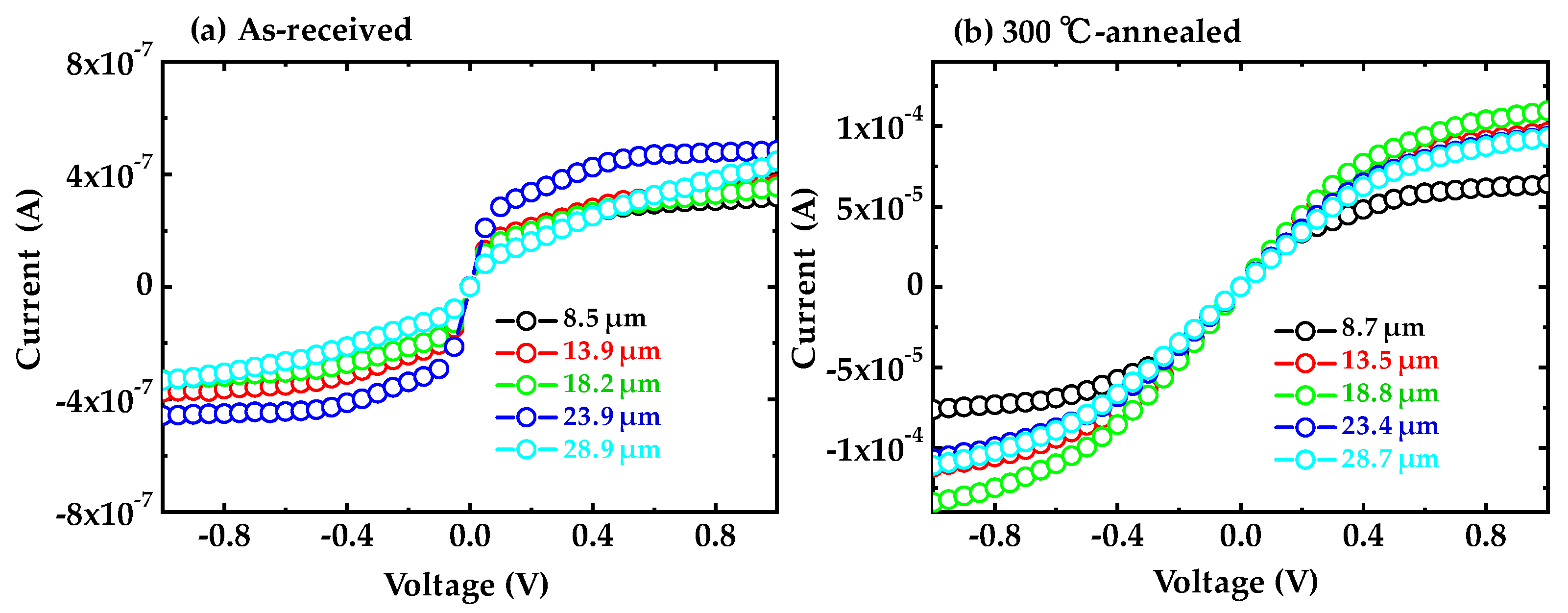
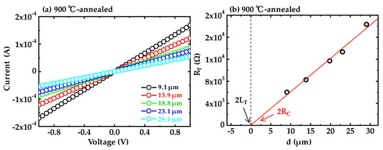
3. Results and Discussion
4. Conclusions
Author Contributions
Funding
Institutional Review Board Statement
Informed Consent Statement
Data Availability Statement
Conflicts of Interest
References
- Imanishi, S.; Horikawa, K.; Oi, N.; Okubo, S.; Kageura, T.; Hiraiwa, A.; Kawarada, H. 3.8W/mm RF power density for ALD Al2O3-based two-dimensional hole gas diamond mosfet operating at saturation velocity. IEEE Electron. Device Lett. 2019, 40, 279–282. [Google Scholar] [CrossRef]
- Anniyev, T.; Vasilyev, M.; Khabashesku, V.; Inanc, F. High-temperature diamond detector for neutron generator output monitoring in well logging applications. IEEE Trans. Nucl. Sci. 2020, 67, 1885–1892. [Google Scholar] [CrossRef]
- Yu, X.X.; Zhou, J.J.; Qi, C.J.; Cao, Z.Y.; Kong, Y.C.; Chen, T.S. A High frequency hydrogen-terminated diamond MISFET with fT/fmax of 70/80 GHz. IEEE Electron. Device Lett. 2018, 39, 1373–1376. [Google Scholar] [CrossRef]
- Wort, C.J.H.; Balmer, R.S. Diamond as an electronic material. Mater. Today 2008, 11, 22–28. [Google Scholar] [CrossRef]
- Williams, O.A.; Jackman, R.B. Surface conductivity on hydrogen terminated diamond. Semicond. Sci. Technol. 2003, 18, S34–S40. [Google Scholar] [CrossRef]
- Kubovic, M.; Kasu, M. Improvement of hydrogen-terminated diamond field effect transistors in nitrogen dioxide atmosphere. Appl. Phys. Express 2009, 2, 086502. [Google Scholar] [CrossRef]
- Hirama, K.; Sato, H.; Harada, Y.; Yamamoto, H.; Kasu, M. Diamond field-effect transistors with 1.3 A/mm drain current density by Al2O3 passivation Layer. Jpn. J. Appl. Phys. 2012, 51, 090112. [Google Scholar]
- Kitabayashi, Y.; Kudo, T.; Tsuboi, H.; Yamada, T.; Xu, D.; Shibata, M.; Matsumura, D.; Hayashi, Y.; Syamsul, M.; Inaba, M.; et al. Normally-off C–H diamond MOSFETs with partial C–O channel achieving 2-kV breakdown voltage. IEEE Electron. Device Lett. 2017, 38, 363–366. [Google Scholar] [CrossRef]
- Kawarada, H.; Tsuboi, H.; Naruo, T.; Yamada, T.; Xu, D.; Daicho, A.; Saito, T.; Hiraiwa, A. C–H surface diamond field effect transistors for high temperature (400 °C) and high voltage (500 V) operation. Appl. Phys. Lett. 2014, 105, 013510. [Google Scholar] [CrossRef]
- Liu, J.W.; Oosato, H.; Da, B.; Teraji, T.; Kobayashi, A.; Fujioka, H.; Koide, Y. Operations of hydrogenated diamond metal-oxide-semiconductor field-effect transistors after annealing at 500 °C. J. Phys. D Appl. Phys. 2019, 52, 315104. [Google Scholar] [CrossRef]
- Ren, Z.Y.; Yuan, G.S.; Zhang, J.F.; Xu, L.; Zhang, J.C.; Chen, W.J.; Hao, Y. Hydrogen-terminated polycrystalline diamond MOSFETs with Al2O3 passivation layers grown by atomic layer deposition at different temperatures. AIP Adv. 2018, 8, 065026. [Google Scholar] [CrossRef]
- Vardi, A.; Tordjman, M.; Kalish, R.; Alamo, J.A.d. Refractory W Ohmic contacts to H-terminated diamond. IEEE Trans. Electron. Devices 2020, 67, 3516–3521. [Google Scholar] [CrossRef]
- Xing, K.J.; Tsai, A.; Rubanov, S.; Creedon, D.L.; Yianni, S.A.; Zhang, L.; Hao, W.C.; Zhuang, J.C.; McCallum, J.C.; Pakes, C.I.; et al. Palladium forms Ohmic contact on hydrogen-terminated diamond down to 4 K. Appl. Phys. Lett. 2020, 116, 111601. [Google Scholar] [CrossRef]
- Zhang, M.H.; Lin, F.; Wang, W.; Li, F.N.; Wang, Y.F.; Abbasi, H.N.; Zhao, D.; Chen, G.Q.; Wen, F.; Zhang, J.W.; et al. Ohmic contact of Pt/Au on hydrogen-terminated single crystal diamond. Coatings 2019, 9, 539. [Google Scholar] [CrossRef]
- Umezawa, H.; Ikeda, K.; Kumaresan, R.; Shikata, S. High temperature characteristics of diamond SBDs. Mater. Sci. Forum 2010, 645, 1231–1234. [Google Scholar] [CrossRef]
- Tsugawa, K.; Noda, H.; Hirose, K.; Kawarada, H. Schottky barrier heights, carrier density, and negative electron affinity of hydrogen-terminated diamond. Phys. Rev. B 2010, 81, 045303. [Google Scholar] [CrossRef]
- Chen, J. Research on Catalytic Etching of Synthetic Diamond by Iron Group Metals. Master’s Thesis, Hunan University, Changsha, China, 2015. [Google Scholar]
- Reeves, G.K.; Harrison, H.B. Obtaining the specific contact resistance from transmission line model measurements. IEEE Electron. Device Lett. 1982, 3, 111–113. [Google Scholar] [CrossRef]
- Berger, H.H. Models for contacts to planar devices. Solid State Electron. 1972, 15, 145–158. [Google Scholar] [CrossRef]
- Weide, J.; Nemanich, R.J. Influence of interfacial hydrogen and oxygen on the Schottky barrier height of nickel on (111) and (100) diamond surfaces. Phys. Rev. B 1994, 49, 13629–13637. [Google Scholar] [CrossRef]
- Roccaforte, F.; La Via, F.; Raineri, V.; Calcagno, L.; Musumeci, P. Improvement of high temperature stability of nickel contacts on n-type 6H–SiC. Appl. Surf. Sci. 2001, 184, 295–298. [Google Scholar] [CrossRef]
- Chang, S.K.; Kim, Y.; Lee, J.; Choi, K. Thermal stability study of Ni–Si silicide films on Ni/4H-SiC contact by in-situ temperature-dependent sheet resistance measurement. Jpn. J. Appl. Phys. 2019, 58, 075503. [Google Scholar] [CrossRef]
- Yuan, X.L.; Liu, J.W.; Shao, S.W.; Liu, J.L.; Wei, J.J.; Da, B.; Li, C.M.; Koide, Y. Thermal stability investigation for Ohmic contact properties of Pt, Au, and Pd electrodes on the same hydrogen-terminated diamond. Aip Adv. 2020, 10, 055114. [Google Scholar] [CrossRef]
- Zhang, P.F.; Zhang, S.P.; Chen, W.D.; Yan, S.F.; Ma, W.; Wang, H.X. Annealing temperature on contact properties between nickel film and hydrogen-terminated single crystal diamond. Coatings 2020, 10, 876. [Google Scholar] [CrossRef]
- Kanada, S.; Nagai, M.; Ito, S.; Matsumoto, T.; Ogura, M.; Takeuchi, D.; Yamasaki, S.; Inokuma, T.; Tokuda, N. Fabrication of graphene on atomically flat diamond (111) surfaces using nickel as a catalyst. Diam. Relat. Mater. 2017, 75, 105–109. [Google Scholar] [CrossRef]






Publisher’s Note: MDPI stays neutral with regard to jurisdictional claims in published maps and institutional affiliations. |
© 2021 by the authors. Licensee MDPI, Basel, Switzerland. This article is an open access article distributed under the terms and conditions of the Creative Commons Attribution (CC BY) license (https://creativecommons.org/licenses/by/4.0/).
Share and Cite
Yuan, X.; Liu, J.; Liu, J.; Wei, J.; Da, B.; Li, C.; Koide, Y. Reliable Ohmic Contact Properties for Ni/Hydrogen-Terminated Diamond at Annealing Temperature up to 900 °C. Coatings 2021, 11, 470. https://doi.org/10.3390/coatings11040470
Yuan X, Liu J, Liu J, Wei J, Da B, Li C, Koide Y. Reliable Ohmic Contact Properties for Ni/Hydrogen-Terminated Diamond at Annealing Temperature up to 900 °C. Coatings. 2021; 11(4):470. https://doi.org/10.3390/coatings11040470
Chicago/Turabian StyleYuan, Xiaolu, Jiangwei Liu, Jinlong Liu, Junjun Wei, Bo Da, Chengming Li, and Yasuo Koide. 2021. "Reliable Ohmic Contact Properties for Ni/Hydrogen-Terminated Diamond at Annealing Temperature up to 900 °C" Coatings 11, no. 4: 470. https://doi.org/10.3390/coatings11040470
APA StyleYuan, X., Liu, J., Liu, J., Wei, J., Da, B., Li, C., & Koide, Y. (2021). Reliable Ohmic Contact Properties for Ni/Hydrogen-Terminated Diamond at Annealing Temperature up to 900 °C. Coatings, 11(4), 470. https://doi.org/10.3390/coatings11040470

