Enhancement of Oxidation Resistance via Chromium Boron Carbide on Diamond Particles
Abstract
1. Introduction
2. Materials and Methods
2.1. Materials and Preparation
2.2. Experiments and Characterization
3. Results and Discussion
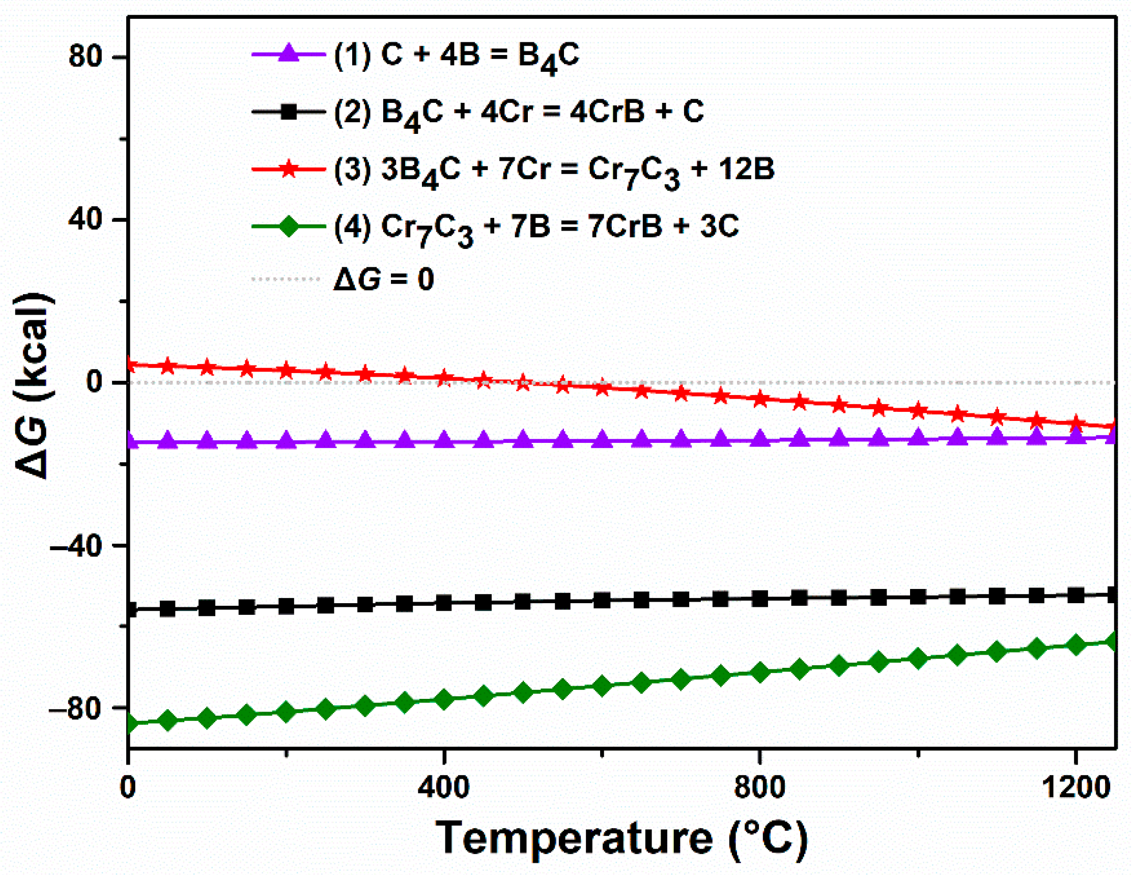
3.1. Phase Analysis
3.2. Oxidation Resistance
4. Conclusions
Author Contributions
Funding
Institutional Review Board Statement
Informed Consent Statement
Data Availability Statement
Conflicts of Interest
References
- Bovenkerk, H.P.; Bundy, F.P.; Hall, H.T.; Strong, H.M.; Wentorf, R.H. Preparation of diamond. Nature 1959, 184, 1094–1098. [Google Scholar] [CrossRef]
- Zhao, Z.; Xu, B.; Tian, Y. Recent advances in superhard materials. Annu. Rev. Mater. Res. 2016, 46, 383–406. [Google Scholar] [CrossRef]
- Boland, J.N.; Li, X.S. Microstructural characterisation and wear behaviour of diamond composite materials. Materials 2010, 3, 1390–1419. [Google Scholar] [CrossRef]
- Kang, Q.; He, X.; Ren, S.; Zhang, L.; Wu, M.; Guo, C.; Cui, W.; Qu, X. Preparation of copper–diamond composites with chromium carbide coatings on diamond particles for heat sink applications. Appl. Therm. Eng. 2013, 60, 423–429. [Google Scholar] [CrossRef]
- Okada, T.; Fukuoka, K.; Arata, Y.; Yonezawa, S.; Kiyokawa, H.; Takashima, M. Tungsten carbide coating on diamond particles in molten mixture of Na2CO3 and NaCl. Diam. Relat. Mater. 2015, 52, 11–17. [Google Scholar] [CrossRef]
- Huang, J.-F.; Zhang, Y.-L.; Zhu, K.-J.; Li, C.-Y.; Cao, L.-Y.; Zhou, L.; Ouyang, H.-B.; Zhang, B.-Y.; Hao, W.; Yao, C.-Y. Microstructure and oxidation protection of borosilicate glass coating prepared by pulse arc discharge deposition for C/C composites. Ceram. Int. 2015, 41, 4662–4667. [Google Scholar] [CrossRef]
- Wang, B.; Li, H.J.; Zhang, Y.L.; Wang, Q. Preparation and oxidation resistance of B2O3-coated boron-modified carbon foams. Trans. Nonferr. Met. Soc. China 2013, 23, 2123–2128. [Google Scholar] [CrossRef]
- Farabaugh, E.N.; Robins, L.; Feldman, A.; Johnson, C.E. Growth and oxidation of boron-doped diamond films. J. Mater. Res. 1995, 10, 1448–1454. [Google Scholar] [CrossRef]
- Mckee, D.W. Oxidation behavior of matrix-inhibited carbon/carbon composites. Carbon 1988, 26, 659–664. [Google Scholar] [CrossRef]
- Ras, A.H.; Auret, F.D.; Nel, J.M. Boron carbide coatings on diamond particles. Diam. Relat. Mater. 2010, 19, 1411–1414. [Google Scholar] [CrossRef]
- Sun, Y.; Meng, Q.; Qian, M.; Liu, B.; Gao, K.; Ma, Y.; Wen, M.; Zheng, W. Enhancement of oxidation resistance via a self-healing boron carbide coating on diamond particles. Sci. Rep. 2016, 6, 20198. [Google Scholar] [CrossRef] [PubMed]
- Sheehan, J.E. Oxidation protection for carbon fiber composites. Carbon 1989, 27, 709–715. [Google Scholar] [CrossRef]
- das Chagas, V.M.; Peçanha, M.P.; da Silva Guimarães, R.; dos Santos, A.A.A.; de Azevedo, M.G.; Filgueira, M. The influence of titanium carbide (TiC) coating over the thermal damage processes in diamonds. J. Alloys Compd. 2019, 791, 438–444. [Google Scholar] [CrossRef]
- Sha, X.; Yue, W.; Zhang, H.; Qin, W.; She, D.; Wang, C. Enhanced oxidation and graphitization resistance of polycrystalline diamond sintered with Ti-coated diamond powders. J. Mater. Sci. Technol. 2020, 43, 64–73. [Google Scholar] [CrossRef]
- Yang, Y.; Yu, J.; Zhao, H.; Zhang, H.; Zhao, P.; Li, Y.; Wang, X.; Li, G. Cr7C3: A potential antioxidant for low carbon MgO–C refractories. Ceram. Int. 2020, 46, 19743–19751. [Google Scholar] [CrossRef]
- Sun, Y.; Zhang, C.; Wu, J.; Meng, Q.; Liu, B.; Gao, K.; He, L. Enhancement of oxidation resistance via titanium boron carbide coatings on diamond particles. Diam. Relat. Mater. 2019, 92, 74–80. [Google Scholar] [CrossRef]









Publisher’s Note: MDPI stays neutral with regard to jurisdictional claims in published maps and institutional affiliations. |
© 2021 by the authors. Licensee MDPI, Basel, Switzerland. This article is an open access article distributed under the terms and conditions of the Creative Commons Attribution (CC BY) license (http://creativecommons.org/licenses/by/4.0/).
Share and Cite
Zhang, X.; Sun, Y.; Meng, Q.; Wu, J.; He, L. Enhancement of Oxidation Resistance via Chromium Boron Carbide on Diamond Particles. Coatings 2021, 11, 162. https://doi.org/10.3390/coatings11020162
Zhang X, Sun Y, Meng Q, Wu J, He L. Enhancement of Oxidation Resistance via Chromium Boron Carbide on Diamond Particles. Coatings. 2021; 11(2):162. https://doi.org/10.3390/coatings11020162
Chicago/Turabian StyleZhang, Xuliang, Youhong Sun, Qingnan Meng, Jinhao Wu, and Linkai He. 2021. "Enhancement of Oxidation Resistance via Chromium Boron Carbide on Diamond Particles" Coatings 11, no. 2: 162. https://doi.org/10.3390/coatings11020162
APA StyleZhang, X., Sun, Y., Meng, Q., Wu, J., & He, L. (2021). Enhancement of Oxidation Resistance via Chromium Boron Carbide on Diamond Particles. Coatings, 11(2), 162. https://doi.org/10.3390/coatings11020162
