Surface and Physical Features of Thermo-Mechanically Modified Iroko and Tauari Wood for Flooring Application
Abstract
1. Introduction
2. Materials and Methods
2.1. Material
2.2. Thermo-Mechanical Modification
2.3. Extractives and 1% NaOH Soluble Substances Content
2.4. Color Parameter Measurements
2.5. Roughness Parameters
2.6. Wettability Determination
2.7. Equilibrium Moisture Content and Dimensional Changes of Wood
2.8. Statistical Analysis
3. Results
3.1. The Compression Ratio and Density of Thermo-Mechanically Modified Wood
3.2. The Content of Soluble Substances
3.3. Wood Color
3.4. Wood Roughness after TMT
3.5. Contact Angle
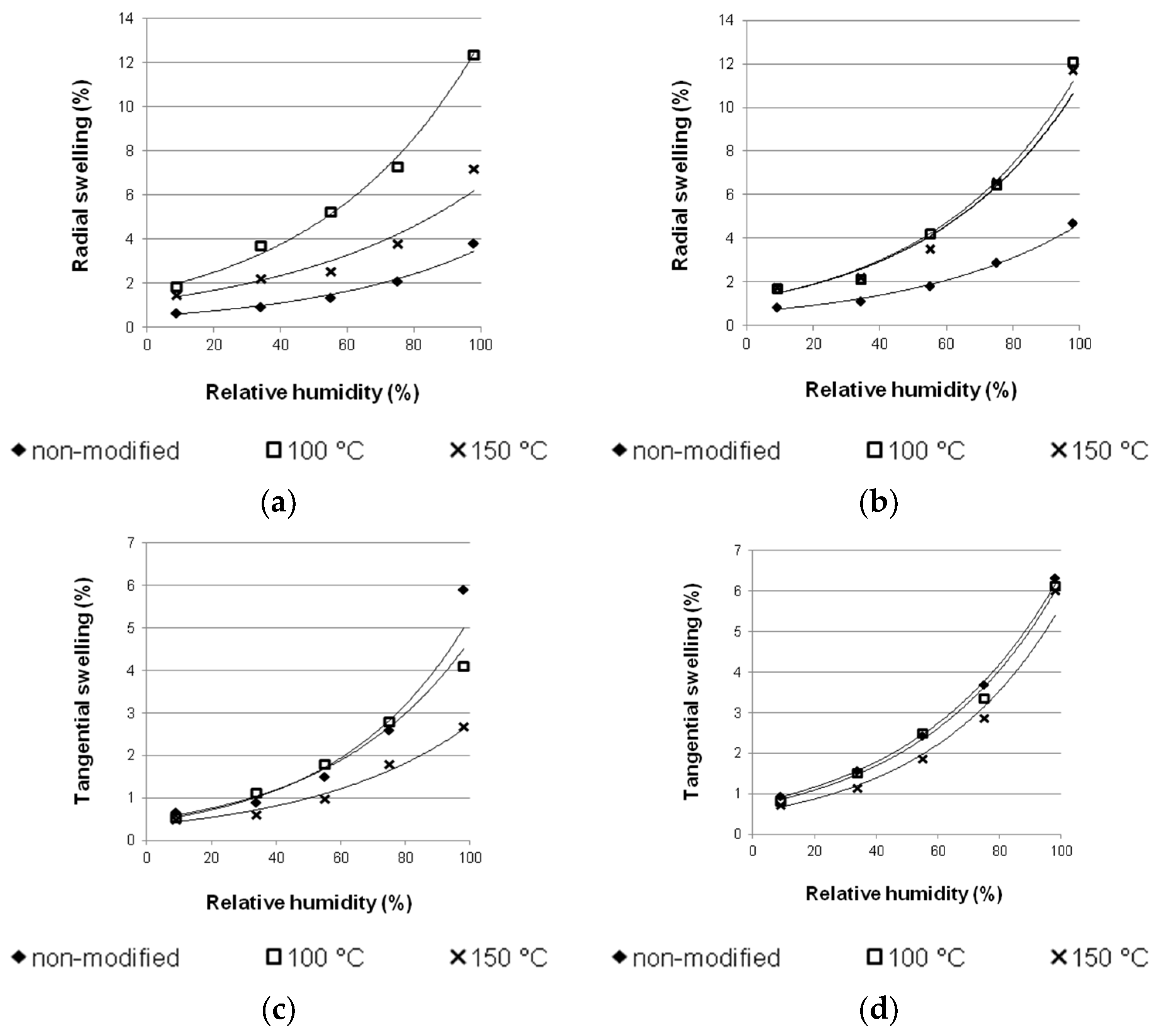
3.6. Wood Properties during Humidification at Different Relative Humidities
4. Conclusions
- The iroko wood featured the highest density (769 ± 15 kg·m−3) after modification at 100 °C, while the tauari wood (1098 ± 27 kg·m−3) featured the highest density after modification at 150 °C.
- With the compression ratio at the level of approximately 35%, the indicated density values were 36% and 58% higher, respectively, than the density of the non-modified iroko and tauari wood. Additionally, the iroko wood was less susceptible to TMT than the tauari wood due to an irregular fiber arrangement.
- The modification temperature influenced all the analyzed color parameters (with the exception of b*) of the iroko and tauari wood, but was much smaller than in the case of the wood species-high color changes (ΔE at 8.07 ± 2.13) that occurred after the densification of the iroko wood at 150 °C.
- After TMT, the iroko and tauari wood demonstrated different types of roughness changes, characterized by a weaker dynamics in the respective changes to the contact angle.
- The thermo-mechanically modified iroko and tauari wood exhibited lower EMC than the non-modified wood. The higher the densification temperature, the lower the EMC of the wood.
- The tauari wood featured higher EMC than the iroko wood. This was due to its lower content of chloroform-ethanol extractives and hot-water-soluble extractives.
- The densified wood displayed a greater tendency towards dimensional changes in climates with high relative air humidity, i.e., above 70%, compared to the non-modified wood. The magnitude of the changes depended on the wood species and its processing parameters.
- The thermo-mechanically modified iroko and tauari wood were characterized by greater swelling in the radial direction than in the tangential direction, which was directly related to the wood densification direction.
Author Contributions
Funding
Institutional Review Board Statement
Informed Consent Statement
Data Availability Statement
Conflicts of Interest
References
- Wagenführ, R. Holzatlas [The Atlas of Wood]; Fachbuchverlag Leipzig im Carl Hanser Verlag: München, Germany, 2007; pp. 521–523. [Google Scholar]
- Glass, S.V.; Zelinka, S.L. Moisture Relations and Physical Properties of Wood; U.S. Department of Agriculture, Forest Service, Forest Products Laboratory: Madison, WI, USA, 2010; pp. 4-1–4-19. [Google Scholar]
- Kretschmann, D.E. Mechanical Properties of Wood; U.S. Department of Agriculture, Forest Service, Forest Products Laboratory: Madison, WI, USA, 2010; pp. 5-1–5-46. [Google Scholar]
- Kutnar, A.; Kamke, F.A. Influence of temperature and steam environment on set recovery of compressive deformation of wood. Wood Sci. Technol. 2012, 46, 953–964. [Google Scholar] [CrossRef]
- Tu, D.; Su, X.; Zhang, T.; Fan, W.; Zhou, Q. Thermo-mechanical densification of Populus tomentosa var. tomentosa with low moisture content. Bioresources 2014, 9, 3846–3856. [Google Scholar] [CrossRef]
- Zhan, J.F.; Avramidis, S. Needle fir wood modified by surface densification and thermal post-treatment: Hygroscopicity and swelling behaviour. Eur. J. Wood Wood Prod. 2016, 74, 49–56. [Google Scholar] [CrossRef]
- Laskowska, A.; Sobczak, J.W. Surface chemical composition and roughness as factors affecting the wettability of thermo-mechanically modified oak (Quercus robur L.). Holzforschung 2018, 72, 993–1000. [Google Scholar] [CrossRef]
- Blomberg, J.; Persson, B.; Blomberg, A. Effects of semi-isostatic densification of wood on the variation in strength properties with density. Wood Sci. Technol. 2005, 39, 339–350. [Google Scholar] [CrossRef]
- Laskowska, A. Density profile and hardness of thermo-mechanically modified beech, oak and pine wood. Drewno 2020, 63, 25–41. [Google Scholar] [CrossRef]
- Mania, P.; Wróblewski, M.; Wójciak, A.; Roszyk, E.; Moliński, W. Hardness of densified wood in relation to changed chemical composition. Forests 2020, 11, 506. [Google Scholar] [CrossRef]
- Cruz, N.; Bustos, C.; Aguayo, M.G.; Cloutier, A.; Castillo, R. Impact of the chemical composition of Pinus radiata wood on its physical and mechanical properties following thermo-hygromechanical densification. Bioresources 2018, 13, 2268–2282. [Google Scholar] [CrossRef]
- Shi, J.; Peng, J.; Huang, Q.; Cai, L.; Shi, S. Fabrication of densified wood via synergy of chemical pretreatment, hot-pressing and post mechanical fixation. J. Wood Sci. 2020, 66, 5. [Google Scholar] [CrossRef]
- Wood Flooring and Wood Panelling and Cladding—Determination of the Resistance to Chemical Agents; EN 13442; European Committee for Standardization: Brussels, Belgium, 2013.
- Wood Flooring and Wood Panelling and Cladding—Determination of Dimensional Stability; EN 1910; European Committee for Standardization: Brussels, Belgium, 2016.
- Wood Flooring and Parquet—Determination of Resistance to Indentation—Test Method; EN 1534; European Committee for Standardization: Brussels, Belgium, 2020.
- Candan, Z.; Hiziroglu, S.; Mcdonald, A.G. Surface quality of thermally compressed Douglas fir veneer. Mater. Des. 2010, 31, 3574–3577. [Google Scholar] [CrossRef]
- Bekhta, P.; Salca, E.A.; Lunguleasa, A. Some properties of plywood panels manufactured from combinations of thermally densified and non-densified veneers of different thicknesses in one structure. J. Build. Eng. 2020, 29, 101116. [Google Scholar] [CrossRef]
- CRIQ Forest products issued from 2nd transformation processes–Wood heat treatment [in French]. Report to the ministère des Ressources naturelles, de la Faune et des Parcs (MRNFP) by the centre de recherche industrielle du Québec (CRIQ) 2003.
- Kutnar, A.; Hill, C. End of Life Scenarios and the Carbon Footprint of Wood Cladding, 1st ed.; CRC Press: Boca Raton, FL, USA, 2015; pp. 85–100. [Google Scholar]
- Goli, G. Superficie del Legno Ottenuta Mediante Fresatura: Studio Delle Meccaniche di Formazione e dei Relativi Difetti. Surfaces de Bois Obtenues par de’ Foncage: E´ tude de la me´ Canique de Formation et des de´ Fauts Induits. Ph.D. Thesis, Universita´ degli studi di Firenze, Ecole nationale superieur d’arts et metier, Cluny, France, 2003. [Google Scholar]
- Thoma, H.; Peri, L.; Lato, E. Evaluation of wood surface roughness depending on species characteristics. Maderas-Cienc. Tecnol. 2015, 17, 285–292. [Google Scholar] [CrossRef]
- Bekhta, P.; Krystofiak, T. The influence of short-term thermomechanical densification on the surface wettability of wood veneers. Maderas-Cienc. Tecnol. 2016, 18, 79–90. [Google Scholar] [CrossRef]
- Gardner, D.J.; Generalla, N.C.; Gunnells, D.W.; Wolcott, M.P. Dynamic wettability of wood. Langmuir 1991, 7, 2498–2502. [Google Scholar] [CrossRef]
- Christiansen, A.W. Effect of overdrying of yellow-poplar veneer on physical properties and bonding. Holz Roh Werkst. 1994, 52, 139–149. [Google Scholar] [CrossRef]
- Bach, S.; Belgacem, N.; Gandini, A. Hydrophobisation and densification of wood by different chemical treatments. Holzforschung 2005, 59, 389–396. [Google Scholar] [CrossRef]
- Sivertsen, M.S.; Flæte, P.O. Water absorption in coated Norway spruce (Picea abies) cladding boards. Eur. J. Wood Wood Prod. 2012, 70, 307–317. [Google Scholar] [CrossRef]
- Ayina, O.; Ngamveng, J.N.; Morlier, P. Densified wood and tropical wood. Comparative study of sorptive properties. Presented at the World Conference on Timber Engineering, Whistler, BC, Canada, July–August 2000. [Google Scholar]
- Welzbacher, C.R.; Wehsener, J.; Rapp, A.O.; Halle, P. Thermo-mechanical densification combined with thermal modification of Norway spruce (Picea abies Karst) in industrial scale—Dimensional stability and durability aspects. Eur. J. Wood Wood Prod. 2008, 66, 39–49. [Google Scholar] [CrossRef]
- Hill, C.A.S.; Ramsay, J.; Keating, B.; Laine, K.; Rautkari, L.; Hughes, M.; Constant, B. The water vapour sorption properties of thermally modified and densified wood. J. Mater. Sci. 2012, 47, 3191–3197. [Google Scholar] [CrossRef]
- Laine, K.; Rautkari, L.; Hughes, M.; Kutnar, A. Reducing the set-recovery of surface densified solid Scots pine wood by hydrothermal post-treatment. Eur. J. Wood Wood Prod. 2013, 71, 17–23. [Google Scholar] [CrossRef]
- Antikainen, T.; Paajanen, O.; Rautkari, L.; Kutnar, A.; Kamke, F.A.; Hughes, M. Simultaneous dryling and densification of silver birch (Betula pendula L.) veneers: Analysis of morphology, thickness swelling, and density profile. Wood Sci. Technol. 2014, 48, 325–336. [Google Scholar] [CrossRef]
- Laskowska, A.; Marchwicka, M.; Boruszewski, P.; Wyszyńska, J. Chemical composition and selected physical properties of oak wood (Quercus robur L.) modified by cyclic thermo-mechanical treatment. Bioresources 2018, 13, 9005–9019. [Google Scholar] [CrossRef]
- Kozakiewicz, P.; Matejak, M. Klimat a Drewno Zabytkowe. Dawna i Współczesna Wiedza o Drewnie [Climate and Antique Wood. Old-time and Contemporary Knowledge of Wood]; Warsaw University of Life Science Press: Warsaw, Poland, 2013; pp. 100–117. [Google Scholar]
- Požgaj, A.; Chowanec, D.; Kurjatko, S.; Babiak, M. Štruktúra a Vlasnosti Dreva [Structure and Properties of Wood]; Príroda: Bratislava, Slovakia, 1993; pp. 54–66. [Google Scholar]
- Gindl, M.; Reiterer, A.; Sinn, G.; Stanzl-Tschegg, S.E. Effects of surface ageing on wettability, surface chemistry, and adhesion of wood. Holz Roh Werkst. 2004, 62, 273–280. [Google Scholar] [CrossRef]
- Popper, R.; Niemz, P.; Torres, M. Einfluss des Extraktstoffanteils ausgewählter fremdländischer Holzarten auf deren Gleichgewichtsfeuchte. Holz Roh Werkst. 2006, 64, 491–496. [Google Scholar] [CrossRef][Green Version]
- Antczak, A.; Radomski, A.; Zawadzki, J. Benzene substitution in wood analysis. Ann. Wars. Univ. Life Sci. SGGW For. Wood Technol. 2006, 58, 15–19. [Google Scholar]
- Kocaefe, D.; Poncsak, S.; Doré, G.; Younsi, R. Effect of heat treatment on the wettability of white ash and soft maple by water. Holz Roh Werkst. 2008, 66, 355–361. [Google Scholar] [CrossRef]
- Diouf, P.N.; Stevanovic, T.; Cloutier, A.; Chang-Hua, F.; Blanchet, P.; Koubaa, A.; Mariotti, N. Effects of thermo-hygro-mechanical densification on the surface characteristics of trembling aspen and hybrid poplar wood veneers. Appl. Surf. Sci. 2011, 257, 3558–3564. [Google Scholar] [CrossRef]
- Stamm, A.J.; Millett, M.A. The internal surface of cellulosic materials. J. Phys. Chem. 1941, 45, 43–54. [Google Scholar] [CrossRef]
- Physical and Mechanical Properties of Wood—Test Methods for Small Clear Wood Specimens—Part 1: Determination of Moisture Content for Physical and Mechanical Tests; ISO 13061-1; International Organization for Standardization: Geneva, Switzerland, 2014.
- Physical and Mechanical Properties of Wood—Test Methods for Small Clear Wood Specimens—Part 2: Determination of Density for Physical and Mechanical Tests; ISO 13061-2; International Organization for Standardization: Geneva, Switzerland, 2014.
- TAPPI T 264 om-88. Preparation of Wood for Chemical Analysis; TAPPI Press: Atlanta, GA, USA, 1988. [Google Scholar]
- TAPPI T 207 cm-99. Water Solubility of Wood and Pulp; TAPPI Press: Atlanta, GA, USA, 1999. [Google Scholar]
- TAPPI T 212 om-12. One Percent Sodium Hydroxide Solubility of Wood and Pulp; TAPPI Press: Atlanta, GA, USA, 2012. [Google Scholar]
- Paints and Varnishes—Colorimetry—Part 3: Calculation of Colour Differences; ISO 7724-3; International Organization for Standardization: Geneva, Switzerland, 1984.
- Geometrical Product Specifications (GPS)—Surface texture: Profile Method—Terms, Definitions and Surface Texture Parameters; ISO 4287; International Organization for Standardization: Geneva, Switzerland, 1997.
- CIRAD 2012. Tauari. Tropix 7. Agricultural Research for Developmen. Available online: https://tropix.cirad.fr/ (accessed on 10 November 2021).
- Pelit, H.; Emiroglu, F. Density, hardness and strength properties of densified fir and aspen woods pretreated with water repellents. Holzforschung 2021, 75, 358–367. [Google Scholar] [CrossRef]
- İmirzi, H.Ö.; Ülker, O.; Burdurlu, E. Effect of densification temperature and some surfacing techniques on the surface roughness of densified Scots pine (Pinus sylvestris L.). Bioresources 2014, 9, 191–209. [Google Scholar] [CrossRef]
- Kutnar, A.; Kamke, F.A.; Sernek, M. The mechanical properties of densified VTC wood relevant for structural composites. Holz Roh Werkst. 2008, 66, 439–446. [Google Scholar] [CrossRef]
- Esteves, B.; Ribeiro, F.; Cruz-Lopes, L.; Domingos, H.F.I. Densification and heat treatment of maritime pine wood. Wood Res. 2017, 62, 373–388. [Google Scholar]
- Laskowska, A. The influence of process parameters on the density profile and hardness of surface-densified birch wood (Betula pendula Roth). Bioesources 2017, 12, 6011–6023. [Google Scholar] [CrossRef][Green Version]
- DeGroot, W.; Pan, W.P.; Rahman, M.; Richards, G. First chemical events in pyrolysis of wood. J. Anal. Appl. Pyrol. 1988, 13, 221–231. [Google Scholar] [CrossRef]
- Peters, J.; Fischer, K.; Fischer, S. Characterisation of emissions from thermally modified wood and their reduction by chemical treatment. Bioresources 2008, 3, 491–502. [Google Scholar] [CrossRef]
- Gierlinger, N.; Jacques, D.; Grabner, M.; Wimmer, R.; Schwanninger, M.; Rozenberg, P.; Pâques, L.E. Colour of larch heartwood and relationships to extractives and brown-rot decay resistance. Trees 2004, 18, 102–108. [Google Scholar] [CrossRef]
- Pelit, H. Colour characteristics of densified and thermally post-treated beech and pine woods. Mugla J. Sci. Technol. 2016, 2, 187–192. [Google Scholar] [CrossRef]
- Cividini, R.; Travan, L.; Allegretti, O. White beech: A Tricky Problem in the Drying Process Procs. In Proceedings of the International Scientific Conference on Hardwood Processing (ISCHP), Québec City, QC, Canada, September 2007; pp. 135–140. [Google Scholar]
- Klumpers, J.; Janin, G.; Becker, M.; Lévy, G. The influences of age, extractive content and soil water on wood color in oak: The possible genetic determination of wood color. Ann. Sci. For. 1993, 50 (Suppl. S1), 403s–409s. [Google Scholar] [CrossRef]
- Gurleyen, L.; Esteves, B.; Ayata, U.; Gurleyen, T.; Cinar, H. The effects of heat treatment on colour and glossiness of some commercial woods in Turkey. Drewno 2018, 61, 201. [Google Scholar] [CrossRef]
- McCurdy, M.C.; Pang, S.; Keey, R.B. Surface colour change in wood during drying above and below fibre saturation point. Maderas-Cienc. Tecnol. 2006, 8, 31–40. [Google Scholar] [CrossRef]
- Li, W.; Wang, C.; Zhang, Y.; Jia, C.; Gao, C.; Jin, J. The influence of hot compression on the surface characteristics of poplar veneer. Bioresources 2014, 9, 2808–2823. [Google Scholar] [CrossRef][Green Version]
- Bernal, R.A.; Coradin, V.; Camargos, J.; Costa, C.; Pissarra, J. Wood anatomy of Lecythidaceae species called “tauari”. IAWA J. 2011, 32, 97–112. [Google Scholar] [CrossRef]
- Büyüksari, Ü. Surface characteristics and hardness of MDF panels laminated with thermally compressed veneer. Compos. B Eng. 2013, 44, 675–678. [Google Scholar] [CrossRef]
- Papp, E.A.; Csiha, C. Contact angle as function of surface roughness of different wood species. Surf. Interfaces 2017, 8, 54–59. [Google Scholar] [CrossRef]
- Bekhta, P.; Proszyk, S.; Krystofiak, T.; Lis, B. Surface wettability of short-term thermo-mechanically densified wood veneers. Eur. J. Wood Prod. 2015, 73, 415–417. [Google Scholar] [CrossRef]
- Hakkou, M.; Petrissans, M.; Zoulalian, A.; Gerardin, P. Investigation of wood wettability changes during heat treatment on the basis of chemical analysis. Polym. Degrad. Stabil. 2005, 89, 1–5. [Google Scholar] [CrossRef]
- Adamopoulos, S.; Voulgaridis, E. Effect of hot-water extractives on water sorption and dimensional changes of black locust wood. Wood Res. 2012, 57, 69–78. [Google Scholar]
- Stamm, A.J.; Loughborough, W.K. Variation in shrinking and swelling of wood. Trans. Am. Soc. Mech. Eng. 1942, 64, 379–386. [Google Scholar]
- Mészáros, E.; Jakab, E.; Várhegyi, G. TG/MS, Py-GC/MS and THM-GC/MS study of the composition and thermal behavior of extractive components of Robinia pseudoacacia. J. Anal. Appl. Pyrolysis 2007, 79, 61–70. [Google Scholar] [CrossRef]
- Hill, C. Wood Modification. Chemical, Thermal an Other Processes; Wiley: Hoboken, NH, USA, 2006; pp. 102–110. [Google Scholar]
- Maunu, S. NMR studies of wood and wood products. Prog. Nucl. Magn. Reson. Spectrosc. 2002, 40, 151–174. [Google Scholar] [CrossRef]
- Wideisen, E.; Wegener, G. Behaviour of lignin during thermal treatments of wood. Ind. Crop. Prod. 2008, 27, 157–162. [Google Scholar] [CrossRef]
- Kollman, F.F.P.; Côté, W.A. Principles of Wood Science and Technology; Springer: Berlin/Heidelberg, Germany, 1968; pp. 204–219. [Google Scholar]
- Skaar, C. Wood-Water Relations; Springer: Berlin/Heidelberg, Germany, 1988; pp. 127–138. [Google Scholar]
- Fang, C.H.; Mariotti, N.; Cloutier, A.; Koubaa, A.; Blanchet, P. Densification of wood veneers by compression combined with heat and steam. Eur. J. Wood Prod. 2012, 70, 155–163. [Google Scholar] [CrossRef]
- Wolcott, M.P.; Kasal, B.; Kamke, F.A.; Dillard, D.A. Testing small wood specimens in transverse compression. Wood Fiber. Sci. 1989, 21, 320–329. [Google Scholar]
- Nairn, J.A. Numerical simulations of transverse compression and densification in wood. Wood Fiber. Sci. 2006, 38, 576–591. [Google Scholar]
- Pelit, H.; Emiroglu, F. Effect of water repellents on hygroscopicity and dimensional stability of densified fir and aspen woods. Drvna Ind. 2020, 71, 29–40. [Google Scholar] [CrossRef]
- Christoforo, A.L.; de Almeida, T.H.; de Almeida, D.H.; dos Santos, J.C.; Panzera, T.H.; Lahr, F.A.R. Shrinkage for some wood species estimated by density. Int. J. Mater. Eng. 2016, 6, 23–27. [Google Scholar] [CrossRef]







| Saturated Solution | RH (%) | |
|---|---|---|
| KOH | Potassium hydroxide | 9 |
| MgCl2·6 H2O | Magnesium chloride hexahydrate | 34 |
| NaBr | Sodium bromide | 55 |
| NaCl | Sodium chloride | 75 |
| K2SO4 | Potassium sulfate anhydrous | 98 |
| Wood Species | Modification Temperature (°C) | CR (%) | Density (kg·m−3) |
|---|---|---|---|
| iroko | non-modified | – | 564 ± 29 |
| 100 | 34 ± 2 | 769 ± 15 * | |
| 150 | 32 ± 3 | 732 ± 33 * | |
| tauari | non-modified | – | 694 ± 41 |
| 100 | 30 ± 3 | 974 ± 26 * | |
| 150 | 35 ± 3 | 1098 ± 27 * |
| Wood Species | Modification Temperature (°C) | Extractives (%) | Soluble Substances in 1% NaOH (%) | |
|---|---|---|---|---|
| Chloroform-Ethanol | Hot Water | |||
| iroko | non-modified | 7.3 ± 0.4 | 4.7 ± 0.2 | 22.7 ± 0.2 |
| 100 | 6.5 ± 0.3 | 4.7 ± 0.1 | 21.2 ± 0.6 * | |
| 150 | 6.9 ± 0.3 | 4.5 ± 0.2 | 21.2 ± 0.5 * | |
| tauari | non-modified | 2.6 ± 0.2 | 2.3 ± 0.1 | 11.8 ± 0.3 |
| 100 | 1.9 ± 0.2 * | 2.3 ± 0.1 | 10.7 ± 0.4 * | |
| 150 | 1.7 ± 0.2 * | 3.1 ± 0.1 * | 10.6 ± 0.1 * | |
| Wood Species | Modification Temperature (°C) | Parameters | ΔE | ||||
|---|---|---|---|---|---|---|---|
| L* | a* | b* | C* | h | |||
| iroko | non-modified | 63.94 ± 1.41 | 7.59 ± 0.65 | 26.67 ± 0.72 | 27.74 ±0.74 | 74.13 ± 1.28 | – |
| 100 | 59.55 ± 1.32 * | 9.03 ± 0.46 * | 25.55 ± 0.58 * | 27.92 ± 0.47 | 70.53 ± 1.21 * | 4.81 ± 1.52 | |
| 150 | 56.83 ± 3.58 * | 9.71 ± 0.91 * | 24.67 ± 1.33 * | 28.35 ± 2.98 | 69.81 ± 2.43 * | 8.07 ± 2.13 | |
| tauari | non-modified | 65.30 ± 1.82 | 4.71 ± 0.30 | 20.50 ± 0.98 | 21.04 ± 0.96 | 77.05 ± 0.98 | – |
| 100 | 63.00 ± 2.21 * | 4.89 ± 0.52 | 21.44 ± 0.87 * | 21.99 ± 0.88 * | 77.16 ± 1.31 | 3.57 ± 1.00 | |
| 150 | 62.67 ± 1.79 * | 4.92 ± 0.26 | 22.38 ± 1.15 * | 22.89 ± 1.15 * | 77.80 ± 0.60 * | 3.67 ± 0.97 | |
| Contact Angle | Factor | Fisher’s F-test | Significance Level | Factor Influence (%) |
|---|---|---|---|---|
| – | – | F | p | |
| after 3 s | Species (1) | 3.23 | 0.082482 NS | 7 |
| Temperature (2) | 7.20 | 0.002800 * | 29 | |
| (1) × (2) | 0.75 | 0.482445 NS | 3 | |
| Error | – | – | 61 | |
| after 30 s | Species (1) | 0.07 | 0.799371 NS | 0 |
| Temperature (2) | 31.06 | 0.000000 * | 66 | |
| (1) × (2) | 0.63 | 0.537488 NS | 1 | |
| Error | – | – | 33 | |
| after 60 s | Species (1) | 1.20 | 0.282431 NS | 2 |
| Temperature (2) | 13.89 | 0.000054 * | 45 | |
| (1) × (2) | 1.57 | 0.224179 NS | 5 | |
| Error | – | – | 48 |
| Wood Species | Modification Temperature (°C) | RH (%) | ||||
|---|---|---|---|---|---|---|
| 9 | 34 | 55 | 75 | 98 | ||
| EMC (%) | ||||||
| iroko | non-modified | 2.8 ± 0.1 | 4.9 ± 0.1 | 7.6 ± 0.1 | 9.9 ± 0.2 | 18.8 ± 0.6 |
| 100 | 2.8 ± 0.2 | 4.7 ± 0.2 | 7.5 ± 0.3 * | 9.0 ± 0.5 * | 18.6 ± 1.0 | |
| 150 | 1.9 ± 0.1 * | 3.8 ± 0.1 * | 5.6 ± 0.1 * | 7.4 ± 0.3 * | 17.8 ± 0.6 | |
| tauari | non-modified | 3.4 ± 0.1 | 6.0 ± 0.1 | 9.6 ± 0.1 | 12.9 ± 0.1 | 22.3 ± 0.2 |
| 100 | 3.2 ± 0.1 * | 5.9 ± 0.1 * | 9.1 ± 0.1 * | 11.7 ± 0.1 * | 22.0 ± 0.1 | |
| 150 | 2.8 ± 0.1 * | 5.1 ± 0.1 * | 7.8 ± 0.1 * | 10.7 ± 0.2 * | 20.8 ± 0.4 * | |
| Wood Species | Modification Temperature (°C) | Property | |||||
|---|---|---|---|---|---|---|---|
| Radial Swelling | R2 | Tangential Swelling | R2 | Volumetric Swelling (VS) | R2 | ||
| iroko | non-modified | Sr = 0.5004e0.0197RH | 0.98 | St = 0.4347e0.0249RH | 0.97 | VS = 1.0861e0.0197RH | 0.98 |
| 100 | Sr = 1.6481e0.0206RH | 0.99 | St = 0.4755e0.0231RH | 0.99 | VS = 2.2106e0.0211RH | 0.99 | |
| 150 | Sr = 1.1938e0.0168RH | 0.95 | St = 0.3598e0.0202RH | 0.97 | VS = 1.6811e0.0181RH | 0.85 | |
| tauari | non-modified | Sr = 0.6222e0.0201RH | 0.99 | St = 0.7577e0.0214RH | 1.00 | VS = 1.4727e0.0209RH | 0.99 |
| 100 | Sr = 1.2081e0.0227RH | 0.97 | St = 0.7026e0.0219RH | 0.99 | VS = 2.0315e0.0218RH | 0.99 | |
| 150 | Sr = 1.2145e0.0221RH | 0.96 | St = 0.5441e0.0234RH | 0.99 | VS = 1.9064e0.0221RH | 0.99 | |
Publisher’s Note: MDPI stays neutral with regard to jurisdictional claims in published maps and institutional affiliations. |
© 2021 by the authors. Licensee MDPI, Basel, Switzerland. This article is an open access article distributed under the terms and conditions of the Creative Commons Attribution (CC BY) license (https://creativecommons.org/licenses/by/4.0/).
Share and Cite
Laskowska, A.; Marchwicka, M.; Trzaska, A.; Boruszewski, P. Surface and Physical Features of Thermo-Mechanically Modified Iroko and Tauari Wood for Flooring Application. Coatings 2021, 11, 1528. https://doi.org/10.3390/coatings11121528
Laskowska A, Marchwicka M, Trzaska A, Boruszewski P. Surface and Physical Features of Thermo-Mechanically Modified Iroko and Tauari Wood for Flooring Application. Coatings. 2021; 11(12):1528. https://doi.org/10.3390/coatings11121528
Chicago/Turabian StyleLaskowska, Agnieszka, Monika Marchwicka, Agata Trzaska, and Piotr Boruszewski. 2021. "Surface and Physical Features of Thermo-Mechanically Modified Iroko and Tauari Wood for Flooring Application" Coatings 11, no. 12: 1528. https://doi.org/10.3390/coatings11121528
APA StyleLaskowska, A., Marchwicka, M., Trzaska, A., & Boruszewski, P. (2021). Surface and Physical Features of Thermo-Mechanically Modified Iroko and Tauari Wood for Flooring Application. Coatings, 11(12), 1528. https://doi.org/10.3390/coatings11121528

