Next Article in Journal
Enhanced Piezoresponse and Dielectric Properties for Ba1-XSrXTiO3 Composition Ultrathin Films by the High-Throughput Method
Next Article in Special Issue
Entropy Optimized Second Grade Fluid with MHD and Marangoni Convection Impacts: An Intelligent Neuro-Computing Paradigm
Previous Article in Journal
β-Cyclodextrin-Modified Mesoporous Silica Nanoparticles with Photo-Responsive Gatekeepers for Controlled Release of Hexaconazole
Previous Article in Special Issue
Comparative Study on Effects of Thermal Gradient Direction on Heat Exchange between a Pure Fluid and a Nanofluid: Employing Finite Volume Method
 
 
Font Type:
Arial Georgia Verdana
Font Size:
Aa Aa Aa
Line Spacing:
Column Width:
Background:
Article

Homogeneous–Heterogeneous Chemical Reactions of Radiation Hybrid Nanofluid Flow on a Cylinder with Joule Heating: Nanoparticles Shape Impact

1
Mathematics Department, Faculty of Science, Taibah University, Al-Madinah Al-Munawara P.O. Box 344, Saudi Arabia
2
Mathematics Department, Faculty of Science, Aswan University, Aswan 81528, Egypt
3
Mathematics Department, Faculty of Science, South Valley University, Qena 82325, Egypt
*
Author to whom correspondence should be addressed.
Coatings 2021, 11(12), 1490; https://doi.org/10.3390/coatings11121490
Submission received: 17 October 2021 / Revised: 16 November 2021 / Accepted: 1 December 2021 / Published: 3 December 2021
(This article belongs to the Special Issue Nanofluidics: Interfacial Transport Phenomena)

Abstract

:
The current analysis aims to exhibit the nanoparticles of Al2O3 + Cu-water hybrid nanofluid flow for Darcy–Forchheimer with heterogeneous–homogeneous chemical reactions and magnetic field aspects past a stretching or shrinking cylinder with Joule heating. This paper performed not only with the hybrid nanofluid but also the shape of Al2O3 and Cu nanoparticles. The model of single-phase hybrid nanofluid due to thermophysical features is utilized for the mathematical formulation. In the present exploration equal diffusions factors for reactants and auto catalyst are instituted. The system of governing equations has been simplified by invoking the similarity transformation. The numerical computations are invoked due to the function bvp4c of Matlab, with high non-linearity. Numerical outcomes illustrated that; sphere shape nanoparticles presented dramatic performance on heat transfer of hybrid nanofluid movement; an opposite behavior is noticed with lamina shape. The local Nusselt number strengthens as the transverse curvature factor becomes larger. In addition, the homogeneous–heterogeneous reactions factors lead to weaken concentration fluctuation.

1. Introduction

In recent times, nanofluids have been an active field of research due to its greatly enhanced thermal properties and numerous significant applications in many fields as heat transfer fluids, ferromagnetic fluids, superwetting fluids and detergents, biomedical fluids, polymer nanocomposits, gain media in random lasers, and as building blocks for electronics and optoelectronics devices [1,2,3]. Choi [4] was the first, who proposed the term “nanofluid”. It is obtained by dispersing a small amount of certain nanometer-sized particles (called nanoparticles) of metals, metallic oxides, carbides or carbon nanotubes stably and uniformly in base fluids such as water, ethylene glycol, oil, etc. There are several refrigeration systems based on the absorption phenomenon that are used in many applications such as air conditioning, automobiles [5], solar water distillation [6], freezing of foods [7], etc. Additionally, convection in porous media saturated with nanofluids has extensive experimental and theoretical importance because of its natural occurrence and wide range of applications in many practical situations such as chemical engineering, geothermal energy utilization, oil reservoir modeling, solar energy, building of thermal insulation, nuclear waste disposal, lubrication, biological processes, etc. [8,9]. The experimental study on convective heat transport in nanofluid has been analyzed by Baïri and Laraqi [10] and Torki and Etesami [11]. It is studied theoretically by many researchers for various situations in porous media using Buongiorno’s transport model [12]. Many of them are Khan and Alzahrani [13], Li et al. [14] and Rawat and Kumar [15]. Ibrahim and Khan [16] examined the influence of viscous dissipation on the mixed convective flow of nanofluids in a porous medium past a stretchable surface. Kumar et al. [17] explored the impacts of thermal radiation on stagnation point polar nanofluid flow over stretchable surface in a porous medium. Loghmani et al. [18] worked on heat transport of nanofluids flow through a porous medium. Khan et al. [19] studied the problem of magneto–nanofluid flow in non-Darcy porous medium.
On other side, hybrid nanoliquids are a new kind of nanofluid. Generally, these kinds of fluid can be made by two separate approaches: (a) dispersion of two or even more nanosized particles to a base fluid, and (b) by suspending the so-called hybrid nanoparticles to a host fluid. The efficacy of hybrid nano-suspensions through their chemo-physical characteristics was examined and proved by several numerical and experimental investigations. The applicability and properties of hybrid nano-suspensions were extensively studied in the literature [19,20,21,22,23,24]. The magneto-flow and heat transport of hybrid nanoparticles suspended in a non-Newtonian fluid were analyzed by Ghadikolaei et al. [25]. The magneto-natural convection flow of hybrid nanofluid inside a double porous medium was analyzed by Mehryan et al. [26]. Ghadikolaei and Gholinia [27] worked on heat transport and magneto-natural convection flow of hybrid nanofluid over a vertical porous stretchable surface. Suganya et al. [28] evaluated the hybrid nanofluid flow the effect of Darcy–Forchheimer porous medium.
Often, we encounter several processes in nature and industries that also witness mass transport due to variations in concentration. The impact of a chemical reaction is determined by whether it is homogeneous or heterogeneous. The inclusion of pure water and air is impossible in nature. It is possible that any outer matter is naturally there, or that it is combined with air or water. As an outer mass is present in air or liquids, it induces a chemical reaction. Many chemical technologies, such as the manufacture of food processing, glassware or ceramics, and the production of polymers, benefit from the study of related chemical reactions. Lately, many investigations have been published regarding the importance of chemical reaction on hybrid nanofluids flow in porous medium showing their importance in several fields of science and technology; see [29,30,31,32,33,34].
The main objective of this investigation is to construct a mathematical model Cu-Al2O3/water hybrid nanofluid flow for Darcy–Forchheimer with homogeneous–heterogeneous reactions, non-linear thermal radiation, Joule heating, and heat transfer towards a permeable radially stretching/shrinking cylinder. Five different types of nanoparticle shapes, i.e., sphere, hexahedron, tetrahedron, column and lamina, are taken into account through this contribution. A classical transformation is employed to convert the PDEs into a non-linear system of ODEs.

2. Materials and Methods

Consider a steady laminar boundary layer flow of viscous incompressible hybrid nanofluid Cu and Al2O3 towards on a stretching/shrinking cylinder with radius h as illustrated in Figure 1. Here, ( x , r ) is the cylindrical polar coordinates which are assigned in the axial and radial directions, respectively. The velocity of the cylinder is given as u w ( x ) = u 0 x / d , where constant u 0 is a characteristic velocity and d is the characteristic length of the cylinder. The nanofluid saturates the given porous medium through Darcy–Forchheimer relation. The magnetic field of strength B 0 is imposed normal to the x -axis. The interaction of homogeneous and heterogeneous reactions is given as [35]:
A 1 + 2 B 2 3 B 1 ,   rate = k c A B 2 A 1 B 1 ,   rate = k s A
in which the concentration of chemical species A 1 and B 1 are symbolized by A and B , respectively, while k c and k s denote the constant rates. Using these assumptions together with usual boundary layer approximations, the equations of fluid motion can be expressed as [36,37]:
( r u ) x + ( r v ) r = 0
ρ hnf ( u u x + v u r ) = μ hnf 1 r r ( r u r ) ( σ hnf B 0 2 + μ hnf K p ) u F ˜ K p 1 / 2 u 2
( ρ c p ) hnf ( u T x + v T r ) = k hnf 1 r r ( r T r ) + σ hnf B 0 2 u 2 1 r r ( r q r ) + μ hnf ( u r ) 2 + Q 0 ( T T )
u A x + v A r = D A 1 r r ( r A r ) k c A B 2
where u and v denote the fluid velocity in x and r directions, T is the hybrid nanofluid temperature, D A and D B are the diffusion coefficient. The term of radiative heat flux is extended by assisting the Rosseland approximation as [38]:
q r = 4 σ 3 k T 4 r = 16 σ 3 k T 3 T r
here σ and k denote the constant of Stefan–Boltzman and mean absorption factors, respectively.
The corresponding boundary conditions for a given problem is [38]:
at   r = h , { u = λ u w , v w ( r ) = h r ( u 0 ν f d ) 1 / 2 S , T w ( x ) = T + T 0 ( x / d ) 2 D A A r = k s A , D B B r = k s A , as   r ,   u 0 ,   T T ,   A A 0 ,   B 0
Here v w ( r ) is the constant mass flux velocity through the permeable surface such that v w > 0 for mass injection and v w < 0 for mass suction. For the case of an impermeable surface v w = 0 . In addition, the constant stretching/shrinking parameter λ signifies the stretching cylinder when λ > 0 and shrinking cylinder when λ < 0 . The static cylinder is symbolized by λ = 0 .

2.1. Thermophysical Features

The modified thermo-physical features regard to the single-phase pattern by Tiwari and Das [39] was imposed early by Devi and Devi [40,41] to exhibit the boundary layer and energy equations of hybrid Cu–Al2O3–H2O nanofluid around a stretching sheet with variant various factors. Besides, because the boundary layer is analytically formulated, a small number of assumptions were recognized; namely, the main liquid and hybrid nanoparticles were kept in a thermal equilibrium state. The hybrid nanofluid was considered to be stable; thus the impact of hybrid nanoparticles aggregation and sedimentation was ignored. The hybrid nanoparticles are assumed to be spherical, lamina, column, shape.
This portion is devoted to displaying the mathematical expressions of thermophysical features of the hybrid nanofluids and primary fluid which are portrayed in Table 1 due to Gorla et al. [42] and Devi and Devi [40,41]. The physical properties of the base fluid, water, copper Cu (as first nanoparticle) and alumina Al2O3 (second nanoparticle) are invoked in Table 2. In addition, the values of the shape factor m are illustrated in Table 3.

2.2. Similarity Solution

Here, we apply the following similarity transformation to convert the considered physical model into non-dimensional mathematical expression:
η = r 2 h 2 2 h ( u 0 ν f d ) 1 / 2 ,   u = u 0 x d F ( η ) ,   v = h r ( u 0 ν f d ) 1 / 2 F ( η ) θ ( η ) = T T T w T ,   A = A 0 N ( η ) ,   B = A 0 N ˜ ( η )
Equation (2) is satisfied automatically and Equations (3)–(6) yield:
( 1 + 2 α η ) F + 2 α F + ρ hnf ρ f μ f μ hnf ( F F F 2 ) σ hnf σ f μ f μ hnf M a F λ F μ f μ hnf F F 2 = 0
1 Pr ( k hnf k f + R d ( ( N r 1 ) θ + 1 ) 3 ) ( ( 1 + 2 α η ) θ + 2 α θ ) + ( ρ c p ) hnf ( ρ c p ) f ( F θ 2 F θ ) + 3 R d Pr ( N r 1 ) ( 1 + 2 α η ) ( ( N r 1 ) θ + 1 ) 2 θ 2 + μ hnf μ f ( 1 + 2 α η ) E c F 2 + σ hnf σ f M a E c F 2 + Q θ
( 1 + 2 α η ) N + 2 α N + S c F N S c K c N N ˜ 2 = 0
δ ( ( 1 + 2 α η ) N ˜ + 2 α N ˜ ) + S c F N ˜ + S c K c N N ˜ 2 = 0
With the boundary conditions:
F ( 0 ) = S ,   F ( 0 ) = λ ,   θ ( 0 ) = 1 ,   N ( 0 ) = K s N ( 0 ) ,   δ N ˜ ( 0 ) = K s N F ( ) 0 ,   θ ( ) 0 ,   N ( ) 1 , N ˜ ( ) 0
where the obtained parameters are defined as:
α = ( ν f d / ( u 0 h 2 ) ) 1 / 2 curvature factor λ = ν f d / ( u 0 K p ) stretching or shrinking parameter
E c = u 0 2 x 2 / ( d 2 ( c p ) f ( T w T ) ) Eckert number F = F ˜ x / ( ρ f K p 1 / 2 ) local inertia factor
M a = σ f B 0 2 d / ( ρ f u 0 ) magnetic field parameter   Q = Q 0 d / ( ( ρ c p ) f u 0 ) heat generation factor
N r = T w / T surface temperature excess S c = ν f / D A Schmidt number
R d = 16 σ T 3 / ( 3 k k f ) radiation factor Pr = μ f ( c p ) f / k f Prandtl number
S suction/injection factor δ = D B / D A mass diffusion coefficients ratio
K s = ( k s / D A ) ν f d / u 0 heterogeneous reaction factors K c = k c A 0 2 d / u 0 homogeneous reaction factors
Now, if we put δ = 1 , i.e., D A = D B , thus N ( η ) + N ˜ ( η ) = 1 .
Again, Equations (11) and (12) yield:
( 1 + 2 α η ) N + 2 α N + S c F N S c K c N ( 1 N ) 2 = 0
with, the corresponding boundary condition
N ( 0 ) = K s N ( 0 ) ,   N ( ) 1
The skin friction coefficient C f and the Nusselt number N u , are defined as:
C f = μ hnf ρ f u w 2 ( u r ) r = h ,   N u = x q w k f ( T w T )
where:
q w = ( k hnf T r + q r ) r = h
Substituting Equation (8) into Equation (16), we get the following formula for skin-friction factor and Nusselt number,
R e 1 2 C f = μ hnf μ f F ( 0 ) , R e 1 / 2 N u = ( k hnf k f + R d ( ( N r 1 ) θ ( 0 ) + 1 ) 3 ) θ ( 0 )
where R e = x u w ν f shows the local Reynolds number, f ( 0 ) , θ ( 0 ) indicate the velocity and temperature gradients.

3. Results

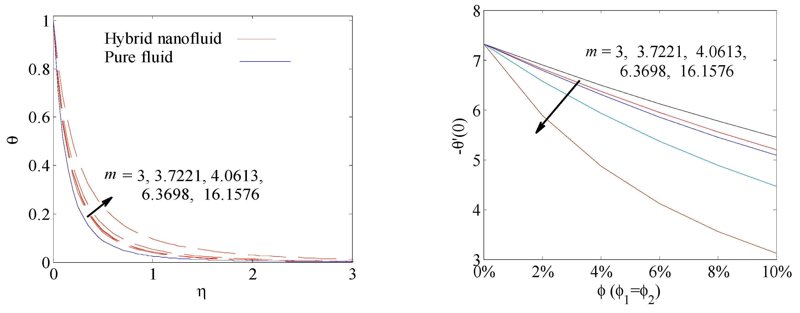
The salient parameters of the flow and heat transfer behavior are exhibited for the hydromagnetic hybrid Al2O3–Cu nanofluid flow and heat transfer for Darcy–Forchheimer with homogeneous–heterogeneous reactions by a permeable stretching or shrinking cylinder. The exhibited non-linear flow differential Equations (9), (10) and (14) with the four proper boundary conditions expressed in Equations (13) and (15) are a strenuous way to obtain a solution. Hence, these flow equations are solved numerically, due to the function bvp4c from MATLAB R2008b for representative values of the dimensionless factors. The imposed Matlab code, bvp4c, is developed implementing a FDM that use the three-stage Lobatto IIIa expression. This is a collocation method with fourth-order accuracy. Through this technique, the ODEs. (9), (10) and (14) are first converted to a system of first order by presenting new transformations, i.e., initial value problem (IVP). The mesh select and error control are related to the residual of the continuous solution. Comprehensive outcomes were performed for miscellaneous values of the factors describing fluid motion. Validation of numerical computations is achieved by comparing the outcomes of our investigation with Khashi’ie et al. [36] and Waini et al. [44], which are displayed in Table 4 for various values of φ Cu , when φ Al 2 O 3 = 0.1 , M a = S = α = E c = R d = 0 , λ = 1 and Pr = 6.135 . From the presented data it is noticed that the calculated outcomes are completely in agreement with previous published computations. The physical parameters were fixed as m = 6.3698 , i.e., column nanoparticle shape, E c = 0.1 , M a = 0.5 , R d = 0.2 , N r = 0.1 , α = 1 , S = 1 , λ = 1 , S c = 0.62 , Q = 0.2 , F = 0.4 , K c = K s = 0.5 , φ Al 2 O 3 = φ Cu = 0.03 . Figure 2 illustrates the impact of miscellaneous nanoparticles shapes of the hybrid nanofluid through the boundary layer flow of Cu+Al2O3-H2O, at a fixed volume fraction φ Al 2 O 3 = φ Cu = 0.03 .
Due to the graph, it is clarified that the dimensionless temperature of the hybrid nanofluid boosts as the values of factor m enhances. Spherical shape nanoparticles give the minimum temperature fluctuations, followed by hexahedron, tetrahedron, column, and lamina. This can be explained as the sphere shape nanoparticles have lowest thermal conductivity and viscosity of those lamina shape nanoparticles. The spherical shaped nanoparticle, due to its improved surface area, leads to dragging more heat from the boundary layer, whereas this impact is less evident for the other shapes. This accounts for the maximum rate of heat transfer at the boundary for the spherical-shaped nanoparticles as can be perceived in Figure 2 and Table 5.
Figure 3 obviously presents the hybrid nanofluid velocity fluctuations F ( η ) which start from maximum value at the surface of the cylinder and then weaken until they attain the lowest value of the boundary layer for miscellaneous positive values of magnetic field factor M a ( = 0 ,   0.1 ,   0.5 ,   1   and   2 ) . This figure belays that the velocity curves minimize with higher values of M a . In addition, the skin friction coefficient strengthens as M a enhances. An opposite influence is clear for temperature curves Figure 4, i.e., the hybrid nanofluid temperature fluctuations boost with the increase in magnetic field factor.
The rate of heat transfer variations for miscellaneous values of M a , M a yields the Nusselt number to weaken as shown. This is reality because of the boosting intensity of the magnetic field that outputs resistive force, i.e., an opposite force to the trend of fluid movement, that is named the “Lorentz force”. The created force has the susceptibility to minimize the velocity boundary layer and strengthen the thermal boundary-layer thickness.
The impact of suction/injection S factor on non-dimensional hybrid nanofluid velocity and temperature profiles is plotted in Figure 5. An increment in suction/injection factor has the susceptibility to force the fluid moves into an unoccupied space that creates changes in the boundary layer. Therefore, the hybrid nanofluid velocity and temperature are dawdled for enhancing the S factor. Due to forcing the liquid through a permeable cylinder, it is clear that the hybrid nanofluid temperature weakens due to enlarging the S parameter. The influence of shrinking λ < 0 or stretching λ > 0 factor has been presented in Figure 6. For stretching cases with improving λ the hybrid nanofluid velocity curves boost but the temperature reduces. The opposite behavior is seen in the case of shrinking, i.e., with increasing λ the temperature enhances and the velocity reduces.
The aspects of the curvature factor α on F ( η ) and θ ( η ) fluctuations are presented in Figure 7. From this figure, we perceive that the velocity of the hybrid nanofluid has a clear relation to the curvature factor α . This is due to α possessing a reverse relation with the curvature radius, so the contact horizontal region of the cylinder reduces with limited impedance to the hybrid nanofluid flow generated. Again, an enhancement in α lead to boost both in velocity and temperature distributions; physically, kinetic energy boosts with higher values of curvature factor because of the strengthening θ ( η ) profile of hybrid nanofluid. The influence of viscous dissipation factor (Eckert number) E c on hybrid nanofluid temperature and rate of heat transfer is invoked in Figure 8. The thermal boundary-layer thickness strengthens for increasing values of E c , whilst the gradient of hybrid nanofluid temperature at cylinder surface that formulated in terms of local Nusselt number weakens. This behavior can be interpreted as the viscous dissipation boosts thus the thermal conductivity of the flow uplifts, in which produces to strengthen the momentum and thermal boundary layers.
Figure 9 reveals the impact of radiation R d and N r factors on hybrid nanofluid temperature curves. As illustrated, an increment in radiation factor results in boosts in thermal boundary layer thickness. The same behavior is gained due to the surface temperature factor N r , that is the curves of hybrid nanofluid temperature enhance with increasing N r . An increment in thermal radiation provides energy to the particles of the hybrid nanofluid which invokes an augment in both temperature and thermal boundary-layer thickness. Basically, this factor becomes obvious at the surface and is so helpful to strengthen the temperature distributions.
Aspects of the dimensionless intensity of homogeneous reaction factor K c , heterogeneous reaction factor strength K s on non-dimensional concentration fluctuations are highlighted in Figure 10. Due to an increment in values of homogeneous reaction strength K c and heterogeneous reaction intensity K s , a diminution in the concentration fluctuation N ( η ) is noticed, since in homogeneous reaction the reactants are wasted, and after certain value of the similarity variable η this influence vanishes. In addition, the Schmidt number S c stands for the ratio of momentum to mass diffusivity. Thus, by enhancing Schmidt number, minimum mass diffusivity replaced yielding hybrid nanofluid concentration to weaken as depicted in Figure 11. The curvature factor α has the same aspect of the concentration curves, i.e., α leads to reducing the hybrid nanofluid concentration fluctuations, Figure 11.
Variations of skin friction coefficient, rate of heat transfer and gradient concentration at the surface of cylinder for miscellaneous parameters have been portrayed in Table 5, Table 6 and Table 7 for sphere shape nanoparticles. As given, the parameters M a , m , E c , Q , N r and F lead to weakening the temperature gradient at the surface, whilst the α and R d yield enhance it. The skin friction coefficient improves with escalating M a , F and α . In addition, the gradient of concentration strengthens as S c and K s escalate and it reduces with increasing K c .

4. Conclusions

This contribution addresses the Cu + Al2O3 nanoparticles shape impact on MHD hybrid nanofluid flow and heat transfer past stretching and shrinking a horizontal permeable cylinder with isothermal heterogeneous and homogeneous reactions. In this regard, the striking attention of the present analysis is illustrated as follows
1.
Factors K s and K c have similar impacts on concentration fluctuations. Higher values of K c and K s factors lead to weakened concentration curves.
2.
Eckert number and magnetic field strengthen θ ( η ) distributions but weakens the local Nusselt number.
3.
Sphere shape nanoparticles presented a dramatic performance on heat transfer of hybrid nanofluid movement whereas an opposite characteristic is noticed with lamina shape.
4.
The maximum θ ( η ) is generated by the lamina-shaped nanoparticles and the minimum value is obtained by sphere shape nanoparticles, but column shape presented medium execution on heat transfer.

Author Contributions

T.H.A., formal analyses, original draft, investigation, writing; A.M.R., investigation, supervision, writing—review, conceptualization, data curation; A.M., visualization, validation. All authors have read and agreed to the published version of the manuscript.

Funding

This research received no external funding.

Institutional Review Board Statement

Not applicable.

Informed Consent Statement

Not applicable.

Data Availability Statement

Data is contained within the article.

Conflicts of Interest

The authors declare no conflict of interest.

Abbreviations

Nomenclature
A ,   B Concentrations of chemical species
B 0 Strength of magnetic field
C f Skin friction coefficient
c p Specific heat
D A ,   D B Diffusion coefficients of A, B species
Ec Eckert number
F Non-dimensional stream function
F * Local inertia factor
hRadius of cylinder
kThermal conductivity
k*Mean absorption parameter
KcHomogeneous reaction strength
KsHeterogeneous reaction strength
mNanoparticle Empirical shape factor
M a Magnetic field parameter
Nr Surface temperature excess
N u Nusselt number
Pr Prandtl number
Q Heat generation coefficient
q r Radiative heat flux
R d Radiation parameter
Re Reynolds number
S Mass transpiration parameter
Sc Schmidt number
T   Dimensional temperature
( u , v )Velocity components
v w Constant mass flux, ms−1
( x , r )Cylindrical polar coordinates
Greek Symbols
μ Dynamic viscosity
ρ Fluid density
ψ   Stream function
φ Nanoparticles
λ Stretching/shrinking parameter
θ Dimensionless temperature
ν Kinematic viscosity
η Similarity variable
α Curvature parameter
σ Electrical conductivity
σ   * Stefan–Boltzman constant
Subscripts
w Conditions at the surface
  Conditions in the free stream
f , hnf Regular fluid, hybrid nanofluid

References

  1. Das, S.K.; Choi, S.U.; Yu, W.; Pradeep, T. Nanofluids: Science and Technology; John Wiley and Sons, Inc.: Hoboken, NJ, USA, 2000. [Google Scholar]
  2. Wang, L.; Quintard, M. Nanofluids of the Future. In Advances in Transport Phenomena, 1st ed.; Springer: Berlin/Heidelberg, Germany, 2009; p. 179. [Google Scholar]
  3. Puliti, G.; Paolucci, S.; Sen, M. Nanofluids and their properties. Appl. Mech. Rev. 2011, 64, 30803. [Google Scholar]
  4. Choi, S.; Eastman, J.A. Enhancing thermal conductivity of fluids with nanoparticles. In Proceedings of the ASME International Mechanical Congress and Exposition, San Francisco, CA, USA, 12–17 November 1995. [Google Scholar]
  5. Ramanathan, A.; Gunasekaran, P. Simulation of absorption refrigeration system for automobile application. Therm. Sci. 2008, 12, 5. [Google Scholar] [CrossRef]
  6. Kuznetsov, I.A.; Greenfield, M.J.; Mehta, Y.U.; Merchan, W.; Salkar, G.; Saveliev, A.V. Increasing the solar cell power output by coating with transition metal oxide nanorods. Appl. Energy 2011, 88, 4218. [Google Scholar] [CrossRef]
  7. Singh, R.P.; Heldman, D.R. Introduction to Food Engineering, 5th ed.; Academic Press: San Diego, CA, USA, 2014. [Google Scholar]
  8. Nield, D.A.; Bejan, A. Convection in Porous Media, 5th ed.; Springer Nature: Cham, Switzerland, 2017. [Google Scholar]
  9. Khanafer, K.; Vafai, K. Application of nanofluids in porous medium: A critical Review. J. Therm. Anal. Calorim. 2019, 135, 1479. [Google Scholar] [CrossRef]
  10. Baïri, A.; Laraqi, N. Experimental quantification of natural convective heat transfer within annulus space filled with a H2O-Cu nanofluid saturated porous medium. Application to electronics cooling. Exp. Heat Transf. 2019, 32, 364–375. [Google Scholar] [CrossRef]
  11. Torki, M.; Etesami, N. Experimental investigation of natural convection heat transfer of SiO2/water nanofluid inside inclined enclosure. J. Therm. Anal. Calorim. 2020, 139, 1565–1574. [Google Scholar] [CrossRef]
  12. Buongiorno, J. Convective transport in nanofluids. J. Heat Mass Transf. 2005, 128, 240. [Google Scholar] [CrossRef]
  13. Khan, M.I.; Alzahrani, F. Free convection and radiation effects in nanofluid (Silicon dioxide and Molybdenum disulfide) with second order velocity slip, entropy generation, Darcy–Forchheimer porous medium. Int. J. Hydrog. Energy 2021, 46, 1362–1369. [Google Scholar] [CrossRef]
  14. Li, Y.X.; Alqsair, U.F.; Ramesh, K.; Khan, S.U.; Khan, M.I. Nonlinear heat source/sink and activation energy assessment in double diffusion flow of micropolar (non-newtonian) nanofluid with convective conditions. Arab. J. Sci. Eng. 2021. [Google Scholar] [CrossRef]
  15. Rawat, S.K.; Kumar, M. Cattaneo-Christov heat flux model in flow of copper water nanofluid through a stretching/shrinking sheet on stagnation point in presence of heat generation/absorption and activation energy. Int. J. Appl. Comput. Math. 2020, 6. [Google Scholar] [CrossRef]
  16. Ibrahim, M.; Khan, M.I. Mathematical modeling and analysis of SWCNT-Water and MWCNT-Water flow over a stretchable sheet. Comput. Methods Prog. Biomed. 2020, 187, 105222. [Google Scholar] [CrossRef] [PubMed]
  17. Kumar, B.; Seth, G.S.; Nandkeolyar, R. Regression model and successive linearization approach to analyse stagnation point micropolar nanofluid flow over a stretching sheet in a porous medium with nonlinear thermal radiation. Phys. Scr. 2019, 94, 115211. [Google Scholar] [CrossRef]
  18. Loghmani, G.B.; Heydari, M.; Hosseini, E.; Rashidi, M.M. A numerical simulation of MHD flow and radiation heat transfer of nanofluids through a porous medium with variable surface heat flux and chemical reaction. J. Math. Ext. 2019, 13, 31–67. [Google Scholar]
  19. Khan, M.I.; Alzahrani, F.; Hobiny, A. Simulation and modeling of second order velocity slip flow of micropolar ferrofluid with Darcy–Forchheimer porous medium. J. Mater. Res. Technol. 2020, 9, 7335–7340. [Google Scholar] [CrossRef]
  20. Sarkar, J.; Ghosh, P.; Adil, A. A review on hybrid nanofluids: Recent research, development and applications. Renew. Sustain. Energy Rev. 2015, 43, 164–177. [Google Scholar] [CrossRef]
  21. Sidik, N.A.C.; Adamu, I.M.; Jamil, M.M.; Kefayati, G.H.R.; Mamat, R.; Najafi, G. Recent progress on hybrid nanofluids in heat transfer applications: A comprehensive review. Int. Commun. Heat Mass Transf. 2016, 78, 68–79. [Google Scholar] [CrossRef]
  22. Sundar, L.S.; Sharma, K.V.; Singh, M.K.; Sousa, A.C.M. Hybrid nanofluids preparation, thermal properties, heat transfer and friction factor—A review. Renew. Sustain. Energy Rev. 2017, 68, 185–198. [Google Scholar] [CrossRef]
  23. Babu, J.R.; Kumar, K.K.; Rao, S.S. State-of-art review on hybrid nanofluids. Renew. Sustain. Energy Rev. 2017, 77, 551–565. [Google Scholar] [CrossRef]
  24. Huminic, G.; Huminic, A. Hybrid nanofluids for heat transfer applications—A state-of-the-art review. Int. J. Heat Mass Transf. 2018, 125, 82–103. [Google Scholar] [CrossRef]
  25. Ghadikolaei, S.S.; Hosseinzadeh, K.; Hatami, M.; Ganji, D.D. MHD boundary layer analysis for micropolar dusty fluid containing hybrid nanoparticles over a porous medium. J. Mol. Liq. 2018, 268, 813–823. [Google Scholar] [CrossRef]
  26. Mehryan, S.A.M.; Sheremet, M.A.; Soltani, M.; Izadi, M. Natural convection of magnetic hybrid nanofluid inside a double porous medium using two-equation energy model. J. Mol. Liq. 2019, 277, 959–970. [Google Scholar] [CrossRef]
  27. Ghadikolaei, S.S.; Gholinia, M. Terrific effect of H2 on 3D free convection MHD flow of C2H6O2–H2O hybrid base fluid to dissolve Cu nanoparticles in a porous space considering the thermal radiation and nanoparticle shapes effects. Int. J. Hydrog. Energy 2019, 44, 17072–17083. [Google Scholar] [CrossRef]
  28. Suganya, S.; Muthtamilselvan, M.; Al-Amri, F.; Abdalla, B.; Doh, D.H. Filtration of radiating and reacting SWCNT–MWCNT/Water hybrid flow with thesignificance of Darcy–Forchheimer porous medium. Arab. J. Sci. Eng. 2021, 46, 1981–1995. [Google Scholar] [CrossRef]
  29. Zainal, N.A.; Nazar, R.; Naganthran, K.; Pop, I. Flow and heat transfer over a permeable moving wedge in a hybrid nanofluid with activation energy and binary chemical reaction. Int. J. Numer. Methods Heat Fluid Flow 2021. [Google Scholar] [CrossRef]
  30. Waini, I.; Ishak, A.; Pop, I. Hybrid nanofluid flow with homogeneous–heterogeneous reactions. CMC-Comput. Mater. Contin. 2021, 68. [Google Scholar] [CrossRef]
  31. Ahmad, S.; Nadeem, S. Analysis of activation energy and its impact on hybrid nanofuid in the presence of Hall and ion slip currents. Appl. Nanosci. 2020, 10, 5315–5330. [Google Scholar] [CrossRef]
  32. Waqas, H.; Farooq, U.; Bukhari, F.F.; Alghamdi, M.; Muhammad, T. Chemically reactive transport of magnetized hybrid nanofluids through Darcian porous medium. Case Stud. Therm. Eng. 2021, 28, 101431. [Google Scholar] [CrossRef]
  33. Xia, W.F.; Khan, M.I.; Qayyum, S.; Khan, M.I.; Farooq, S. Aspects of constructive/destructive chemical reaction with activation energy for Darcy–Forchheimer hybrid nanofluid flow due to semi-infinite asymmetric channel with absorption and generation features. Ain Shams Eng. J. 2021, 12, 2981–2989. [Google Scholar] [CrossRef]
  34. Aleem, M.; Asjad, M.I.; Shaheen, A.; Khan, I. MHD Influence on different water based nanofluids (TiO2, Al2O3, CuO) in porous medium with chemical reaction and Newtonian heating. Chaos Solitons Fractals 2020, 130, 109437. [Google Scholar] [CrossRef]
  35. Sadiq, M.; Hayat, T. Darcy–Forchheimer stretched flow of MHD Maxwell material with heterogeneous and homogeneous reactions. Neural Comput. Appl. 2019, 31, 5857–5864. [Google Scholar] [CrossRef]
  36. Khashi’ie, N.S.; Arifin, N.; Pop, I.; Wahid, N. Flow and heat transfer of hybrid nanofluid over a permeable shrinking cylinder with Joule heating: A comparative analysis. Alex. Eng. J. 2020, 59, 1787–1798. [Google Scholar] [CrossRef]
  37. Jawad, M.; Shah, Z.; Islam, S.; Bonyah, E.; Khan, A. Darcy–Forchheimer flow of MHD nanofluid thin film flow with Joule dissipation and Navier’s partial slip. J. Phys. Commun. 2018, 2, 1–17. [Google Scholar] [CrossRef]
  38. Haider, F.; Hayat, T.; Alsaedi, A. Flow of hybrid nanofluid through Darcy–Forchheimer porous space with variable characteristics. Alex. Eng. J. 2021, 60, 3047–3056. [Google Scholar] [CrossRef]
  39. Tiwari, R.K.; Das, M.K. Heat transfer augmentation in a twosidedlid-driven differentially heated square cavity utilizing nanofluids. Int. J. Heat Mass Transf. 2007, 50, 2002–2018. [Google Scholar] [CrossRef]
  40. Devi, S.A.; Devi, S.S. Numerical investigation of hydromagnetic hybrid Cu-Al2O3/water nanofluid flow over a permeable stretching sheet with suction. Int. J. Nonlin. Sci. Numer. Simul. 2016, 17, 249–257. [Google Scholar] [CrossRef]
  41. Devi, S.S.; Devi, S.A. Numerical investigation of three dimensional hybrid Cu-Al2O3/water nanofluid flow over a stretching sheet with effecting Lorentz force subject to Newtonian heating. Can. J. Phys. 2016, 94, 490–496. [Google Scholar] [CrossRef]
  42. Gorla, R.S.R.; Siddiqa, S.; Mansour, M.A.; Rashad, A.M.; Salah, T. Heat source/sink effects on a hybrid nanofluid-filled porous cavity. J. Thermophys. Heat Transf. 2017, 31. [Google Scholar] [CrossRef]
  43. Lin, Y.H.; Li, B.T.; Zheng, L.C.; Chen, G. Particle shape and radiation effects on Marangoni boundary layer flow and heat transfer of copper-water nanofluid driven by an exponential temperature. Powder Technol. 2016, 301, 379–386. [Google Scholar] [CrossRef]
  44. Waini, I.; Ishak, A.; Pop, I. Unsteady flow and heat transfer past a stretching/shrinking sheet in a hybrid nanofluid. Int. J. Heat Mass Transf. 2019, 136, 288–297. [Google Scholar] [CrossRef]
Figure 1. Schematic diagram of the flow problem.
Figure 1. Schematic diagram of the flow problem.
Coatings 11 01490 g001
Figure 2. Temperature distribution and Nusselt number for variant values of shape of nanoparticles.
Figure 2. Temperature distribution and Nusselt number for variant values of shape of nanoparticles.
Coatings 11 01490 g002
Figure 3. Velocity distribution and skin friction coefficient for variant values of M a parameter.
Figure 3. Velocity distribution and skin friction coefficient for variant values of M a parameter.
Coatings 11 01490 g003
Figure 4. Temperature distribution and Nusselt number for variant values of M a parameter.
Figure 4. Temperature distribution and Nusselt number for variant values of M a parameter.
Coatings 11 01490 g004
Figure 5. Velocity and temperature distributions for variant values of S parameter.
Figure 5. Velocity and temperature distributions for variant values of S parameter.
Coatings 11 01490 g005
Figure 6. Velocity and temperature distributions for variant values of λ parameter.
Figure 6. Velocity and temperature distributions for variant values of λ parameter.
Coatings 11 01490 g006
Figure 7. Velocity and temperature distributions for variant values of α parameter.
Figure 7. Velocity and temperature distributions for variant values of α parameter.
Coatings 11 01490 g007
Figure 8. Temperature distribution and Nusselt number for variant values of E c parameter.
Figure 8. Temperature distribution and Nusselt number for variant values of E c parameter.
Coatings 11 01490 g008
Figure 9. Temperature distribution for variant values of R d and N r parameters.
Figure 9. Temperature distribution for variant values of R d and N r parameters.
Coatings 11 01490 g009
Figure 10. Concentration distribution for variant values of K c and K s parameters.
Figure 10. Concentration distribution for variant values of K c and K s parameters.
Coatings 11 01490 g010
Figure 11. Concentration distribution for variant values of S c and α parameters.
Figure 11. Concentration distribution for variant values of S c and α parameters.
Coatings 11 01490 g011
Table 1. Thermophysical properties of hybrid nanofluids as Gorla et al. [42].
Table 1. Thermophysical properties of hybrid nanofluids as Gorla et al. [42].
PropertiesHybrid NanofluidNanofluid
Dynamic viscosity μ hnf = μ bf ( 1 φ 2 ) 2.5 , μ bf = μ f ( 1 φ 1 ) 2.5
Density ρ hnf = ( 1 φ 2 ) ρ bf + φ 2 ρ 2 , ρ bf = ( 1 φ 1 ) ρ f + φ 1 ρ 1
Heat capacity ( ρ c p ) hnf = ( 1 φ 2 ) ( ρ c p ) bf + φ 2 ( ρ c p ) 2 , ( ρ c p ) bf = ( 1 φ 1 ) ( ρ c p ) f + φ 1 ( ρ c p ) 1
Thermal conduc. k hnf k bf = ( k 2 + ( m 1 ) k bf ) ( m 1 ) φ 2 ( k bf k 2 ) ( k 2 + ( m 1 ) k bf ) + φ 2 ( k bf k 2 ) , k bf k f = ( k 1 + ( m 1 ) k f ) ( m 1 ) φ 1 ( k f k 1 ) ( k 1 + ( m 1 ) k f ) + φ 1 ( k f k 1 )
Electrical conduc. σ hnf σ bf = ( 1 + 3 ( σ 2 σ bf 1 ) φ 2 ( σ 2 σ bf + 2 ) ( σ 2 σ bf 1 ) φ 2 ) , σ bf σ f = ( 1 + 3 ( σ 1 σ f 1 ) φ 1 ( σ 1 σ f + 2 ) ( σ 1 σ f 1 ) φ 1 )
Table 2. Thermophysical features of base fluid, alumina, and copper [40,42].
Table 2. Thermophysical features of base fluid, alumina, and copper [40,42].
Feature ρ ( kg / m 3 ) c p ( J / kg · K ) k (W/m·K) σ (S/m)
H2O997.141790.6130.05
Cu89333854015.96 × 10 7
Alumina3970765403.69 × 10 7
Table 3. The empirical shape nanoparticles factor m [43].
Table 3. The empirical shape nanoparticles factor m [43].
NanoparticlesSphereHexahedronTetrahedronColumnLamina
Shape Coatings 11 01490 i001 Coatings 11 01490 i002 Coatings 11 01490 i003 Coatings 11 01490 i004 Coatings 11 01490 i005
m3.00003.72214.06136.369816.1576
Table 4. Comparison of our results for skin friction.
Table 4. Comparison of our results for skin friction.
φ C u Khashi’ie et al. [36]Waini et al. [44]Present Study
0.005−1.327097962−1.327098−1.327630
0.02−1.40949019−1.409490−1.406323
0.04−1.520721211−1.520721−1.512846
0.06−1.634118687−1.634119−1.621717
Table 5. Velocity and temperature gradient as φ Cu = φ Al 2 O 3 = 0.03 .
Table 5. Velocity and temperature gradient as φ Cu = φ Al 2 O 3 = 0.03 .
M a m E c α F ( 0 ) θ ( 0 )
0.03.00.11.02.5677276.276612
0.1---2.6039556.243702
0.5---2.7411706.119466
1.0---2.8982695.978082
0.53.0--2.7411706.119466
-3.7221--2.7411705.938033
-4.0613--2.7411705.857272
-6.3698--2.7411735.373093
-3.00.0-2.7411686.917546
--0.1-2.7411706.119466
--0.3-2.7411724.000560
--0.5-2.7411762.931343
--0.10.02.3562316.081831
---0.12.3953926.085194
---0.52.5507676.097921
---1.02.7411706.119466
Table 6. Velocity and temperature gradient as φ Cu = φ Al 2 O 3 = 0.03 .
Table 6. Velocity and temperature gradient as φ Cu = φ Al 2 O 3 = 0.03 .
Q N r R d F   F ( 0 ) θ ( 0 )
0.00.10.20.42.7411596.308612
0.2---2.7411706.119466
0.5---2.7411635.791617
1.0---2.7411734.647444
0.20.1--2.7411706.119466
-0.2--2.7411706.118418
-0.5--2.7411706.030476
-1.0--2.7411735.365267
-0.10.0-2.7411706.087991
--0.4-2.7411686.150117
--0.8-2.7411686.210376
--1.2-2.7411686.270762
--0.20.02.6827436.140906
---0.52.7555286.114194
---0.92.8120246.093441
---1.02.8534596.078212
Table 7. Concentration gradient as φ Cu = φ Al 2 O 3 = 0.03 .
Table 7. Concentration gradient as φ Cu = φ Al 2 O 3 = 0.03 .
S c K c K s N ( 0 )
0.220.50.50.329924
0.62--0.358027
0.90--0.374613
1.2--0.389593
0.620.2-0.359505
-0.8-0.356460
-1.0-0.355361
-1.5-0.352399
-0.50.20.172884
--0.80.488269
--1.00.555509
--1.50.680357
Publisher’s Note: MDPI stays neutral with regard to jurisdictional claims in published maps and institutional affiliations.

Share and Cite

MDPI and ACS Style

Alarabi, T.H.; Rashad, A.M.; Mahdy, A. Homogeneous–Heterogeneous Chemical Reactions of Radiation Hybrid Nanofluid Flow on a Cylinder with Joule Heating: Nanoparticles Shape Impact. Coatings 2021, 11, 1490. https://doi.org/10.3390/coatings11121490

AMA Style

Alarabi TH, Rashad AM, Mahdy A. Homogeneous–Heterogeneous Chemical Reactions of Radiation Hybrid Nanofluid Flow on a Cylinder with Joule Heating: Nanoparticles Shape Impact. Coatings. 2021; 11(12):1490. https://doi.org/10.3390/coatings11121490

Chicago/Turabian Style

Alarabi, Taghreed H., Ahmed M. Rashad, and A. Mahdy. 2021. "Homogeneous–Heterogeneous Chemical Reactions of Radiation Hybrid Nanofluid Flow on a Cylinder with Joule Heating: Nanoparticles Shape Impact" Coatings 11, no. 12: 1490. https://doi.org/10.3390/coatings11121490

APA Style

Alarabi, T. H., Rashad, A. M., & Mahdy, A. (2021). Homogeneous–Heterogeneous Chemical Reactions of Radiation Hybrid Nanofluid Flow on a Cylinder with Joule Heating: Nanoparticles Shape Impact. Coatings, 11(12), 1490. https://doi.org/10.3390/coatings11121490

Note that from the first issue of 2016, this journal uses article numbers instead of page numbers. See further details here.

Article Metrics

Back to TopTop