Comparative Study on Effects of Thermal Gradient Direction on Heat Exchange between a Pure Fluid and a Nanofluid: Employing Finite Volume Method
Abstract
:1. Introduction
2. Physical Model and Mathematical Formulation
2.1. Physical Model
2.2. Mathematical Formulation
- or , for the nanofluid region.
- (1).
- Pure Fluid Region:
- (2).
- Nanofluid Region:
3. Numerical Resolution, Grid Test, and Validation
4. Analysis of Findings
4.1. Vertical Temperature Gradient
4.2. Horizontal Temperature Gradient
4.3. Temperature Evolution at the Interface
4.4. Local Heat Transfer Rate
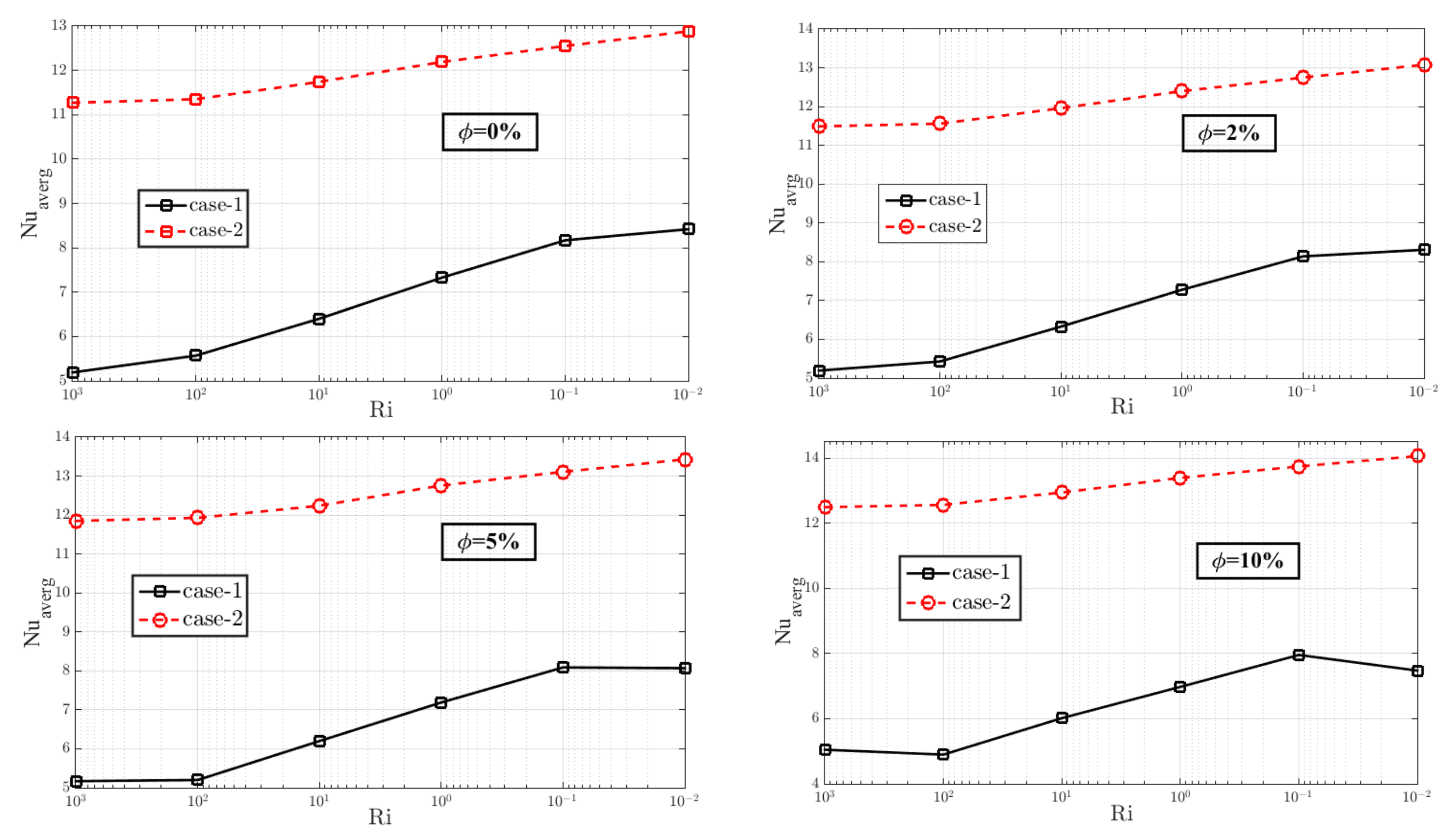
4.5. Overall Heat Transfer Rate
5. Conclusions
- Both flow and thermal structure have been affected by Richardson number and temperature gradient orientation and insignificantly affected by the parameter.
- Natural convection effects predominate the formation of flow pattern, and the temperature gradient effects are overestimated when Richardson number is 1000 or more.
- Heat transfer rate can be improved by perpendicular orientation to gravity forces of thermal gradient
- The rate of change of heat transfer is largely affected by the Richardson number and in case 1, and smaller variation with case 2 has been recorded.
- In the case of a thermal gradient perpendicular to the gravity forces (case 2), overall heat transfer is improved with increasing solid volume fraction, but a significant decrease was recorded when the thermal gradient is parallel to the gravity forces (case 2).
Author Contributions
Funding
Institutional Review Board Statement
Informed Consent Statement
Data Availability Statement
Acknowledgments
Conflicts of Interest
Nomenclature
| specific heat | Greek symbols | ||
| velocity components | thermal diffusivity | ||
| Grashof number | thermal expansion coefficient | ||
| heat flux | dimensionless temperature | ||
| thermal conductance | dynamic viscosity | ||
| height | density | ||
| dimensional pressure | nanoparticle size | ||
| dimensionless pressure | kinematic viscosity | ||
| Prandtl number | scalar transit quantity | ||
| thermal heat flux | Subscripts | ||
| Rayleigh number | initial case | ||
| Reynolds number | pure fluid region | ||
| Richardson number | nanofluid region | ||
| temperature | cold and hot side | ||
| dimensionless velocity components | nanofluid | ||
| Nusselt number | solid nanoparticles | ||
| width | average | ||
| cell position | - | - | |
| , , , | west, east, north, and south faces of the control volume | - | - |
References
- Richter, F.M.; McKenzie, D.P. On some consequences and possible causes of layered mantle convection. J. Geophys. Res. 1981, 86, 6133–6142. [Google Scholar] [CrossRef]
- Renardy, Y.; Joseph, D.D. Oscillatory instability in a Bénard problem of two fluids. Phys. Fluids 1985, 28, 788–793. [Google Scholar] [CrossRef]
- Cserepes, L.; Rabinowicz, M. Gravity and convection in a two-layer mantle. Earth Planet. Sci. Lett. 1985, 76, 193–207. [Google Scholar] [CrossRef]
- Someya, S.; Munakata, T.; Nishio, M.; Okamoto, K. Flow observation in two immiscible liquid layers subject to a horizontal temperature gradient. J. Cryst. Growth 2002, 235, 626–632. [Google Scholar] [CrossRef]
- Liu, Q.S.; Roux, B.; Velarde, M.G. Thermocapillary convection in two-layer systems. Int. J. Heat Mass Transf. 1998, 41, 1499–1511. [Google Scholar] [CrossRef]
- Doi, T.; Koster, J.N. Thermocapillary convection in two immiscible liquid layers with free surface. Phys. Fluids A 1992, 5, 1914–1927. [Google Scholar] [CrossRef]
- Langlois, W.E. Buoyancy-driven flows in crystal-growth melts. Annu. Rev. Fluid Mech. 1985, 17, 191–215. [Google Scholar] [CrossRef]
- Oztop, H.F.; Varol, Y.; Koca, A. Natural convection in a vertically divided square enclosure by a solid partition into air and water regions. Int. J. Heat Mass Transf. 2009, 52, 5909–5921. [Google Scholar] [CrossRef]
- Selimefendigil, F.; Öztop, H.F. Conjugate natural convection in a cavity with a conductive partition and filled with different nanofluids on different sides of the partition. J. Mol. Liq. 2016, 216, 67–77. [Google Scholar] [CrossRef]
- Koulali, A.; Meziani, B.; Sadaoui, D.; Sahi, A.; Adnani, M. Numerical investigation of conjugate heat transfer in the presence of two fluid separated by a rigid wall. Heat Transf. 2020, 49, 4981–5001. [Google Scholar] [CrossRef]
- Villers, D.; Platten, J.K. Thermal convection in superposed immiscible liquid layers. Appl. Sci. Res. 1988, 45, 145–152. [Google Scholar] [CrossRef]
- Prakash, A.; Koster, J.; Hill, M. Natural and thermocapillary convection in multiple liquid layers. In Proceedings of the 31st Aerospace Sciences Meeting, Reno, NV, USA, 11 January 1993–14 January 1993. [Google Scholar] [CrossRef]
- Koster, J.N.; Nguyen, K.Y. Steady natural convection in a double layer of immiscible liquids with density inversion. Int. J. Heat Mass Transf. 1996, 39, 467–478. [Google Scholar] [CrossRef]
- Koulali, A.; Sahi, A.; Meziani, B.; Aissa, A.; Sadaoui, D.; Ali, H.M. CFD analysis of natural convection between two superposed fluids: Role of corrugated bottoms. Chem. Eng. Commun. 2021. [Google Scholar] [CrossRef]
- Oueslati, F.S.; Bennacer, R.; Sammouda, H.; El Ganaoui, M. Analytical and numerical solutions for natural convection in a shallow cavity filled with two immiscible fluids: Shear stress action. Numer. Heat Transf. Part A Appl. 2012, 62, 605–623. [Google Scholar] [CrossRef]
- Oueslati, F.S.; Bennacer, R.; El Ganaoui, M. Analytical and numerical solution to the convection problem in a shallow cavity filled with two immiscible superposed fluids. Int. J. Therm. Sci. 2015, 90, 303–310. [Google Scholar] [CrossRef]
- Chamkha, A.J.; Umavathi, J.C.; Mateen, A. Oscillatory Flow and Heat Transfer in Two Immiscible Fluids. Int. J. Fluid Mech. Res. 2004, 31, 13–36. [Google Scholar] [CrossRef] [Green Version]
- Hisham, M.D.; Rauf, A.; Vieru, D.; Awan, A.U. Analytical and semi-analytical solutions to flows of two immiscible Maxwell fluids between moving plates. Chin. J. Phys. 2018, 56, 3020–3032. [Google Scholar] [CrossRef]
- Umavathi, J.C.; Shekar, M. Mixed convective flow of immiscible fluids in a vertical corrugated channel with traveling thermal waves. J. King Saud Univ.-Eng. Sci. 2014, 26, 49–68. [Google Scholar] [CrossRef] [Green Version]
- Stamenković, Ž.; Nikodijević, D.; Milenković, D.; Blagojević, B.; Nikodijevic, J. Flow and heat transfer of two immiscible fluids in the presence of uniform inclined magnetic field. Math. Probl. Eng. 2011, 2011. [Google Scholar] [CrossRef]
- Qu, X.; Fang, D.; Qi, X. Direct contact heat transfer enhancement between two stratified immiscible fluids by artificial interface oscillations. Int. J. Heat Mass Transf. 2019, 138, 226–234. [Google Scholar] [CrossRef]
- Sarris, I.; Kakarantzas, S.; Grecos, A.; Vlachos, N. MHD natural convection in a laterally and volumetrically heated square cavity. Int. J. Heat Mass Transf. 2005, 48, 3443–3453. [Google Scholar] [CrossRef]
- Kakarantzas, S.; Sarris, I.; Grecos, A.; Vlachos, N. Magnetohydrodynamic natural convection in a vertical cylindrical cavity with sinusoidal upper wall temperature. Int. J. Heat Mass Transf. 2009, 52, 250–259. [Google Scholar] [CrossRef]
- Benos, L.T.; Kakarantzas, S.; Sarris, I.; Grecos, A.; Vlachos, N. Analytical and numerical study of MHD natural convection in a horizontal shallow cavity with heat generation. Int. J. Heat Mass Transf. 2014, 75, 19–30. [Google Scholar] [CrossRef]
- Benos, L.; Sarris, I. Analytical study of the magnetohydrodynamic natural convection of a nanofluid filled horizontal shallow cavity with internal heat generation. Int. J. Heat Mass Transf. 2019, 130, 862–873. [Google Scholar] [CrossRef]
- Hemmat Esfe, M.; Saedodin, S.; Hasani Malekshah, E.; Babaie, A.; Rostamian, H. Mixed Convection Inside Lid-Driven Cavities Filled with Nanofluids: A Comprehensive Review; Springer International Publishing: Cham, Switzerland, 2019; Volume 135, ISBN 0123456789. [Google Scholar]
- Selimefendigil, F. Mixed convection in a lid-driven cavity filled with single and multiple-walled carbon nanotubes nanofluid having an inner elliptic obstacle. Propuls. Power Res. 2019, 8, 128–137. [Google Scholar] [CrossRef]
- Taamneh, Y.; Bataineh, K. Mixed convection heat transfer in a square lid-driven cavity filled with Al2O3-Water Nanofluid. Stroj. Vestn./J. Mech. Eng. 2017, 63, 383–393. [Google Scholar] [CrossRef] [Green Version]
- Ali, I.R.; Alsabery, A.I.; Bakar, N.A.; Roslan, R. Mixed convection in a double lid-driven cavity filled with hybrid nanofluid by using finite volume method. Symmetry 2020, 12, 1–1977. [Google Scholar] [CrossRef]
- Sheremet, M.A.; Pop, I. Mixed convection in a chamber saturated with MWCNT-Fe3O4/water hybrid nanofluid under the upper wall velocity modulation. Eur. Phys. J. Plus 2021, 123. [Google Scholar] [CrossRef]
- Alotaibi, H.; Eid, M.R. Thermal analysis of 3D electromagnetic radiative nanofluid flow with suction/blowing: Darcy–Forchheimer scheme. Micromachines 2021, 12, 1395. [Google Scholar] [CrossRef]
- Benos, L.T.; Polychronopoulos, N.D.; Mahabaleshwar, U.S.; Lorenzini, G.; Sarris, I.E. Thermal and flow investigation of MHD natural convection in a nanofluid-saturated porous enclosure: An asymptotic analysis. J. Therm. Anal. Calorim. 2021, 143, 751–765. [Google Scholar] [CrossRef]
- Alsabery, A.I. Natural Convection Flow of a Nanofluid in an Inclined Square Enclosure Partially Filled with a Porous Medium. Sci. Rep. 2017, 7, 2357. [Google Scholar] [CrossRef]
- Salari, M.; Malekshah, E.H.; Malekshah, M.H. Natural convection in a rectangular enclosure filled by two immiscible fluids of air and Al2O3-water nanofluid heated partially from side walls. Alex. Eng. J. 2018, 57, 1401–1412. [Google Scholar] [CrossRef]
- Koulali, A.; Meziani, B.; Sadaoui, D.; Adnani, M.; Sahi, A. Mixed Convection in Lid-Driven “T” Shallow Cavity Heated From Bottom and Filled by Two Immiscible Fluids of Air and Al2O3-Water Nanofluid. MATEC Web Conf. 2020, 330, 01008. [Google Scholar] [CrossRef]
- Abd Elmaboud, Y. Two layers of immiscible fluids in a vertical semi-corrugated channel with heat transfer: Impact of nanoparticles. Results Phys. 2018, 9, 1643–1655. [Google Scholar] [CrossRef]
- Al-Srayyih, B.M.; Gao, S.; Hussain, S.H. Natural convection flow of a hybrid nanofluid in a square enclosure partially filled with a porous medium using a thermal non-equilibrium model. Phys. Fluids 2019, 31, 043609. [Google Scholar] [CrossRef]
- Niazi, M.D.K.; Xu, H. Modelling two-layer nanofluid flow in a micro-channel with electro-osmotic effects by means of Buongiorno ’ s model. Appl. Math. Mech. 2020, 41, 83–104. [Google Scholar] [CrossRef]
- Sarkar, S.; Ganguly, S.; Dalal, A. Buoyancy driven flow and heat transfer of nanofluids past a square cylinder in vertically upward flow. Int. J. Heat Mass Transf. 2013, 59, 433–450. [Google Scholar] [CrossRef]
- Khorasanizadeh, H.; Nikfar, M.; Amani, J. Entropy generation of Cu-water nanofluid mixed convection in a cavity. Eur. J. Mech. B/Fluids 2013, 37, 143–152. [Google Scholar] [CrossRef]
- Abu-Nada, E.; Chamkha, A.J. Mixed convection flow in a lid-driven inclined square enclosure filled with a nanofluid. Eur. J. Mech. B/Fluids 2010, 29, 472–482. [Google Scholar] [CrossRef]
- Patankar, S.V. Numerical Heat Transfer and Fluid Flow; CRC Press: Boca Raton, FL, USA, 1980. [Google Scholar]
















| Pure Fluid | 997.1 | 4179 | 0.613 | 21 × 10−5 |
| Al2O3 | 3970 | 765 | 40 | 0.85 × 10−5 |
| Boundary | Case 1 | Case 2 |
|---|---|---|
| At the Cavity Bottom | ||
| At Side-Walls of Cavity | ||
| At the Upper of Cavity | ||
| At the Fluid-Nanofluid Interface | ; ; | |
| Boundary | Case 1 | Case 2 |
|---|---|---|
| At the Cavity Bottom | ||
| At Side-Walls of Cavity | ||
| At the Upper of Cavity | ||
| At the Fluid-Nanofluid Interface | ; ; | |
| Mesh Grid | 40 × 40 | 60 × 60 | 80 × 80 | 100 × 100 | 120 × 120 | 140 × 140 | 160 × 160 |
|---|---|---|---|---|---|---|---|
| Case 1 | 7.991 | 8.045 | 8.054 | 8.056 | 8.0718 | 8.0721 | 8.0723 |
| Case 2 | 13.370 | 13.396 | 13.424 | 13.431 | 13.43 | 13.433 | 13.433 |
Publisher’s Note: MDPI stays neutral with regard to jurisdictional claims in published maps and institutional affiliations. |
© 2021 by the authors. Licensee MDPI, Basel, Switzerland. This article is an open access article distributed under the terms and conditions of the Creative Commons Attribution (CC BY) license (https://creativecommons.org/licenses/by/4.0/).
Share and Cite
Koulali, A.; Abderrahmane, A.; Jamshed, W.; Hussain, S.M.; Nisar, K.S.; Abdel-Aty, A.-H.; Yahia, I.S.; Eid, M.R. Comparative Study on Effects of Thermal Gradient Direction on Heat Exchange between a Pure Fluid and a Nanofluid: Employing Finite Volume Method. Coatings 2021, 11, 1481. https://doi.org/10.3390/coatings11121481
Koulali A, Abderrahmane A, Jamshed W, Hussain SM, Nisar KS, Abdel-Aty A-H, Yahia IS, Eid MR. Comparative Study on Effects of Thermal Gradient Direction on Heat Exchange between a Pure Fluid and a Nanofluid: Employing Finite Volume Method. Coatings. 2021; 11(12):1481. https://doi.org/10.3390/coatings11121481
Chicago/Turabian StyleKoulali, Aimad, Aissa Abderrahmane, Wasim Jamshed, Syed M. Hussain, Kottakkaran Sooppy Nisar, Abdel-Haleem Abdel-Aty, I. S. Yahia, and Mohamed R. Eid. 2021. "Comparative Study on Effects of Thermal Gradient Direction on Heat Exchange between a Pure Fluid and a Nanofluid: Employing Finite Volume Method" Coatings 11, no. 12: 1481. https://doi.org/10.3390/coatings11121481
APA StyleKoulali, A., Abderrahmane, A., Jamshed, W., Hussain, S. M., Nisar, K. S., Abdel-Aty, A.-H., Yahia, I. S., & Eid, M. R. (2021). Comparative Study on Effects of Thermal Gradient Direction on Heat Exchange between a Pure Fluid and a Nanofluid: Employing Finite Volume Method. Coatings, 11(12), 1481. https://doi.org/10.3390/coatings11121481

