Influence of Hydrogen-Nitrogen Hybrid Passivation on the Gate Oxide Film of n-Type 4H-SiC MOS Capacitors
Abstract
:1. Introduction
2. Experimental Methods
3. Results and Discussion
3.1. Nitrogen and Hydrogen Distribution
3.2. Interface Characteristics
3.3. Gate Oxide Integrity
3.4. X-Ray Photoelectron Spectroscopy Measurements
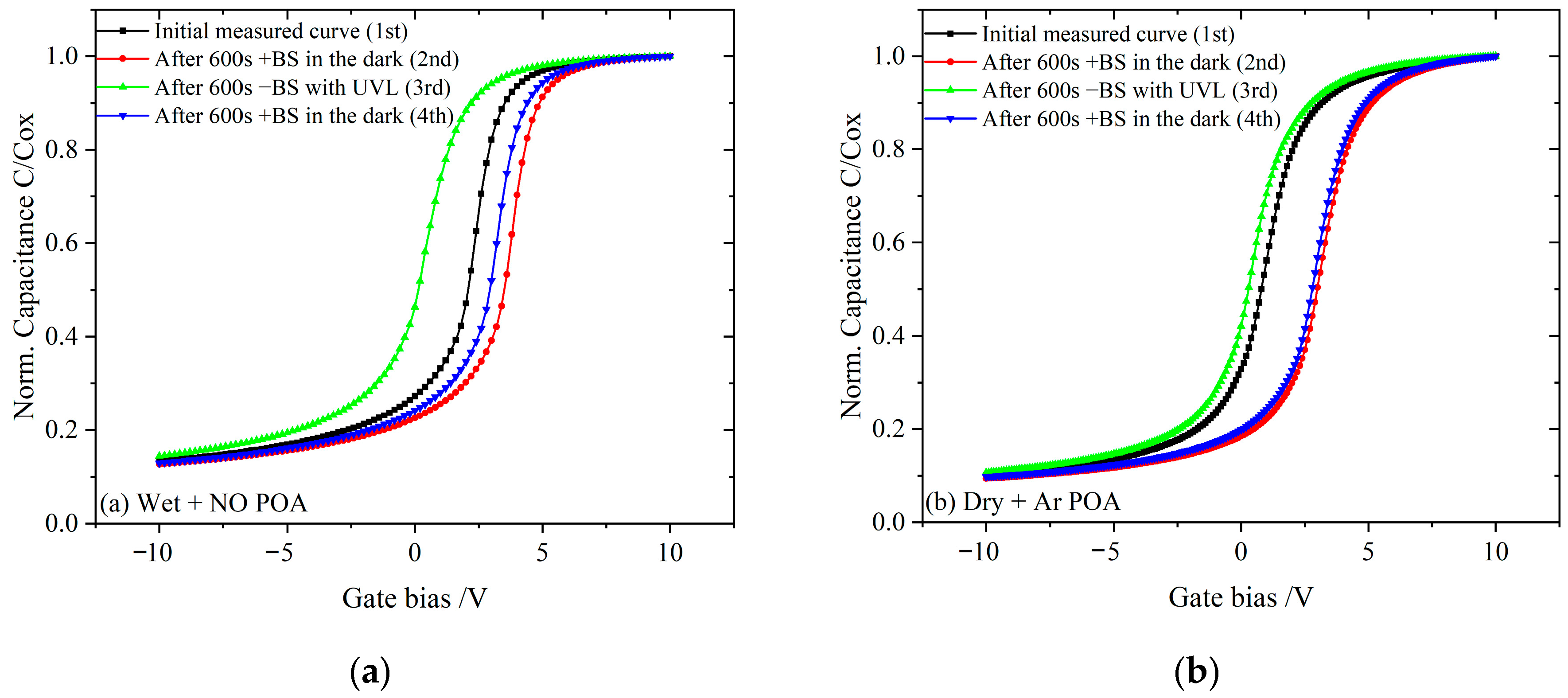
3.5. Time-Dependent Bias Stress Measurements with UVL Irradiation
4. Conclusions
Author Contributions
Funding
Institutional Review Board Statement
Informed Consent Statement
Data Availability Statement
Conflicts of Interest
References
- Liu, G.; Tuttle, B.R.; Dhar, S. Silicon carbide: A unique platform for metal-oxide-semiconductor physics. Appl. Phys. Rev. 2015, 2, 021307. [Google Scholar] [CrossRef]
- Kimoto, T. Material science and device physics in SiC technology for high-voltage power devices. Jpn. J. Appl. Phys. 2015, 54, 040103. [Google Scholar] [CrossRef]
- Lelis, A.J.; Green, R.; Habersat, D.B.; Ei, M. Basic mechanisms of threshold-voltage instability and implications for reliability testing of SiC MOSFETs. IEEE Trans. Electron. Devices 2015, 62, 316–323. [Google Scholar] [CrossRef]
- Green, R.; Lelis, A.; Habersat, D. Threshold-voltage bias-temperature instability in commercially-available SiC MOSFETs. Jpn. J. Appl. Phys. 2016, 55, 04EA03. [Google Scholar] [CrossRef]
- Sharma, Y.K.; Ahyi, A.C.; Isaacs-Smith, T.; Modic, A.; Park, M.; Xu, Y.; Garfunkel, E.L.; Dhar, S.; Feldman, L.C.; Williams, J.R. High-mobility stable 4H-SiC MOSFETs using a thin PSG interfacial passivation layer. IEEE Electron Device Lett. 2013, 34, 175–177. [Google Scholar] [CrossRef]
- Liu, G.; Ahyi, A.C.; Xu, Y.; Isaacs-Smith, T.; Sharma, Y.K.; Williams, J.R.; Dhar, S. Enhanced inversion mobility on 4H-SiC using phosphorus and nitrogen interface passivation. IEEE Electron Device Lett. 2013, 34, 181–183. [Google Scholar] [CrossRef]
- Rong, H.; Sharma, Y.K.; Dai, T.; Li, F.; Jennings, M.R.; Russell, S.A.; Martin, D.M.; Mawby, P.A. High temperature nitridation of 4H-SiC MOSFETs. Mater. Sci. Forum 2016, 858, 623–626. [Google Scholar] [CrossRef]
- Hirai, H.; Kita, K. Low temperature wet-O2 annealing process for enhancement of inversion channel mobility and suppression of Vfb instability on 4H-SiC (0001) Si-face. Appl. Phys. Lett. 2018, 113, 172103. [Google Scholar] [CrossRef]
- Rozen, J.; Dhar, S.; Dixit, S.K.; Afanas’ev, V.V.; Roberts, F.O.; Dang, H.L.; Wang, S.; Pantelides, S.T.; Williams, J.R.; Feldman, L.C. Increase in oxide hole trap density associated with nitrogen incorporation at the SiO2/SiC interface. J. Appl. Phys. 2008, 103, 124513. [Google Scholar] [CrossRef]
- Rozen, J.; Dhar, S.; Zvanut, M.E.; Williams, J.R.; Feldman, L.C. Density of interface states, electron traps, and hole traps as a function of the nitrogen density in SiO2 on SiC. J. Appl. Phys. 2009, 105, 658–664. [Google Scholar] [CrossRef]
- Jia, Y.; Lv, H.; Tang, X.; Han, C.; Song, Q.; Zhang, Y.; Zhang, Y.; Dimitrijev, S.; Han, J.; Haasmann, D. Influence of various NO annealing conditions on N-type and P-type 4H-SiC MOS capacitors. J. Mater. Sci. Mater. Electron. 2019, 30, 10302–10310. [Google Scholar] [CrossRef]
- Senzaki, J.; Kojima, K.; Harada, S.; Kosugi, R.; Suzuki, S.; Suzuki, T.; Fukuda, K. Excellent effects of hydrogen postoxidation annealing on inversion channel mobility of 4H-SiC MOSFET fabricated on (11–20) face. IEEE Electron Device Lett. 2002, 23, 13–15. [Google Scholar] [CrossRef]
- Fukuda, K.; Kato, M.; Kojima, K.; Senzaki, J. Effect of gate oxidation method on electrical properties of metal-oxide-semiconductor field-effect transistors fabricated on 4H-SiC C(000-1) face. Appl. Phys. Lett. 2004, 84, 2088–2090. [Google Scholar] [CrossRef]
- Okamotoa, M.; Tanaka, M.; Yatsuo, T.; Fukuda, K. Effect of the oxidation process on the electrical characteristics of 4H-SiC p-channel metal-oxide-semiconductor field-effect transistors. Appl. Phys. Lett. 2006, 89, 023502. [Google Scholar] [CrossRef]
- Palmieri, R.; Radtke, C.; Boudinov, H.; Silva, E.F. Improvement of SiO2/4H-SiC interface properties by oxidation using hydrogen peroxide. Appl. Phys. Lett. 2009, 95, 713. [Google Scholar] [CrossRef]
- Hirohisa, H.; Koji, K. Suppression of byproduct generation at 4H-SiC/SiO2 interface by the control of oxidation conditions characterized by infrared spectroscopy. Appl. Phys. Express 2015, 8, 021401. [Google Scholar] [CrossRef]
- Hirohisa, H.; Koji, K. Difference of near-interface strain in SiO2 between thermal oxides grown on 4H-SiC by dry-O2 oxidation and H2O oxidation characterized by infrared spectroscopy. Appl. Phys. Lett. 2017, 110, 956. [Google Scholar] [CrossRef]
- Indari, E.D.; Yamashita, Y.; Hasunuma, R.; Oji, H.; Yamabe, K. Relationship between electrical properties and interface structures of SiO2/4H-SiC prepared by dry and wet oxidation. AIP Adv. 2019, 9, 105018. [Google Scholar] [CrossRef] [Green Version]
- Richard, H.K.; Koji, K. Fabrication of SiO2/4H-SiC (0001) interface with nearly ideal capacitance-voltage characteristics by thermal oxidation. Appl. Phys. Lett. 2014, 105, 032106. [Google Scholar] [CrossRef] [Green Version]
- Harsh, N.; Chow, T.P. 4H-SiC MOS capacitors and MOSFET fabrication with gate oxidation at 1400 °C. Mater. Sci. Forum 2014, 778, 607–610. [Google Scholar] [CrossRef]
- Thomas, S.M.; Sharma, Y.K.; Crouch, M.A.; Fisher, C.A.; Perez-Tomas, A.; Jennings, M.R.; Mawby, P.A. Enhanced field effect mobility on 4H-SiC by oxidation at 1500 °C. IEEE J. Electron Devices Soc. 2014, 2, 114–117. [Google Scholar] [CrossRef]
- Hosoi, T.; Nagai, D.; Sometani, M.; Katsu, Y.; Takeda, H.; Shimura, T.; Takei, M.; Watanabe, H. Ultrahigh-temperature rapid thermal oxidation of 4H-SiC(0001) surfaces and oxidation temperature dependence of SiO2/SiC interface properties. Appl. Phys. Lett. 2016, 109, 182114. [Google Scholar] [CrossRef]
- Jia, Y.; Lv, H.; Song, Q.; Tang, X.; Xiao, L.; Wang, L.; Tang, G.; Zhang, Y.; Zhang, Y. Influence of oxidation temperature on the interfacial properties of n-type 4H-SiC MOS capacitors. Appl. Surf. Sci. 2016, 397, 175–182. [Google Scholar] [CrossRef] [Green Version]
- Suzuki, S.; Fukuda, K.; Okushi, H.; Nagai, K.; Sekigawa, T.; Yoshida, S.; Tanaka, T.; Kazuo, A. Effect of post-oxidation-annealing in hydrogen on SiO2/4H-SiC interface. Mater. Sci. Forum 2000, 338, 1073–1076. [Google Scholar] [CrossRef]
- Zhu, Q.; Qin, F.; Li, W.; Wang, D. Improvement of SiO2/4H-SiC interface properties by electron cyclotron resonance microwave nitrogen-hydrogen mixed plasma post-oxidation annealing. Appl. Phys. Lett. 2013, 103, 461–463. [Google Scholar] [CrossRef]
- Kamiya, K.; Ebihara, Y.; Chokawa, K.; Kato, S.; Shiraishi, K. Origins of negative fixed charge in wet oxidation for SiC. Mater. Sci. Forum 2013, 742, 409–412. [Google Scholar] [CrossRef]
- Palmieri, R.; Radtke, C.; Silva, M.R.; Boudinov, H.; Silva, E.F. Trapping of majority carriers in SiO2/4H-SiC structures. J. Phys. D Appl. Phys. 2009, 42, 125301. [Google Scholar] [CrossRef]
- Haasmann, D.; Dimitrijev, S. Energy position of the active near-interface traps in metal-oxide-semiconductor field-effect transistors on 4H-SiC. Appl. Phys. Lett. 2013, 103, 113506. [Google Scholar] [CrossRef] [Green Version]
- Lenzlinger, M.; Snow, E.H. Fowler-Nordheim tunneling into thermally grown SiO2. J. Appl. Phys. 1969, 40, 278–283. [Google Scholar] [CrossRef]
- Yu, H.Y.; Li, M.F.; Cho, B.J.; Yeo, C.C.; Joo, M.S. Energy gap and band alignment for (HfO2)x(Al2O3)1−x on (100) Si. Appl. Phys. Lett. 2002, 81, 376–378. [Google Scholar] [CrossRef] [Green Version]
- Hosoi, T.; Kirino, T.; Mitani, S.; Nakano, Y.; Nakamura, T.; Shimura, T.; Watanabe, H. Relationship between interface property and energy band alignment of thermally grown SiO2 on 4H-SiC (0001). Curr. Appl. Phys. 2012, 12, S79–S82. [Google Scholar] [CrossRef]
- Samanta, P.; Mandal, K.C. Leakage current conduction, hole injection, and time-dependent dielectric breakdown of n-4H-SiC MOS capacitors during positive bias temperature stress. J. Appl. Phys. 2017, 121, 034501. [Google Scholar] [CrossRef]
- Samanta, P. Mechanistic analysis of temperature-dependent current conduction through thin tunnel oxide in n+-polySi/SiO2/n+-Si structures. J. Appl. Phys. 2017, 122, 094502. [Google Scholar] [CrossRef]
- Jia, Y.; Lv, H.; Tang, X.; Song, Q.; Zhang, Y.; Zhang, Y.; Dimitrijev, S.; Han, J. Comparative study on slow-state near interface hole traps in NO and Ar annealed N-type 4H-SiC MOS capacitors by ultraviolet light. J. Mater. Sci. Mater. Electron. 2018, 29, 14292–14299. [Google Scholar] [CrossRef]








Publisher’s Note: MDPI stays neutral with regard to jurisdictional claims in published maps and institutional affiliations. |
© 2021 by the authors. Licensee MDPI, Basel, Switzerland. This article is an open access article distributed under the terms and conditions of the Creative Commons Attribution (CC BY) license (https://creativecommons.org/licenses/by/4.0/).
Share and Cite
Jia, Y.; Sun, S.; Liu, X.; Lu, Q.; Qin, K.; Wang, S.; Guan, Y.; Chen, H.; Tang, X.; Zhang, Y. Influence of Hydrogen-Nitrogen Hybrid Passivation on the Gate Oxide Film of n-Type 4H-SiC MOS Capacitors. Coatings 2021, 11, 1449. https://doi.org/10.3390/coatings11121449
Jia Y, Sun S, Liu X, Lu Q, Qin K, Wang S, Guan Y, Chen H, Tang X, Zhang Y. Influence of Hydrogen-Nitrogen Hybrid Passivation on the Gate Oxide Film of n-Type 4H-SiC MOS Capacitors. Coatings. 2021; 11(12):1449. https://doi.org/10.3390/coatings11121449
Chicago/Turabian StyleJia, Yifan, Shengjun Sun, Xiangtai Liu, Qin Lu, Ke Qin, Shaoqing Wang, Yunhe Guan, Haifeng Chen, Xiaoyan Tang, and Yuming Zhang. 2021. "Influence of Hydrogen-Nitrogen Hybrid Passivation on the Gate Oxide Film of n-Type 4H-SiC MOS Capacitors" Coatings 11, no. 12: 1449. https://doi.org/10.3390/coatings11121449
APA StyleJia, Y., Sun, S., Liu, X., Lu, Q., Qin, K., Wang, S., Guan, Y., Chen, H., Tang, X., & Zhang, Y. (2021). Influence of Hydrogen-Nitrogen Hybrid Passivation on the Gate Oxide Film of n-Type 4H-SiC MOS Capacitors. Coatings, 11(12), 1449. https://doi.org/10.3390/coatings11121449

