Evaporated MoOx as General Back-Side Hole Collector for Solar Cells
Abstract
1. Introduction
1.1. Focus on Polymer Solar Cells
1.2. Focus on Silicon Heterojunction Solar Cells
2. Materials and Methods
2.1. Single-Layer Fabrication and Characterization
2.2. Device Fabrication
2.3. Device Characterization
3. Results and Discussion
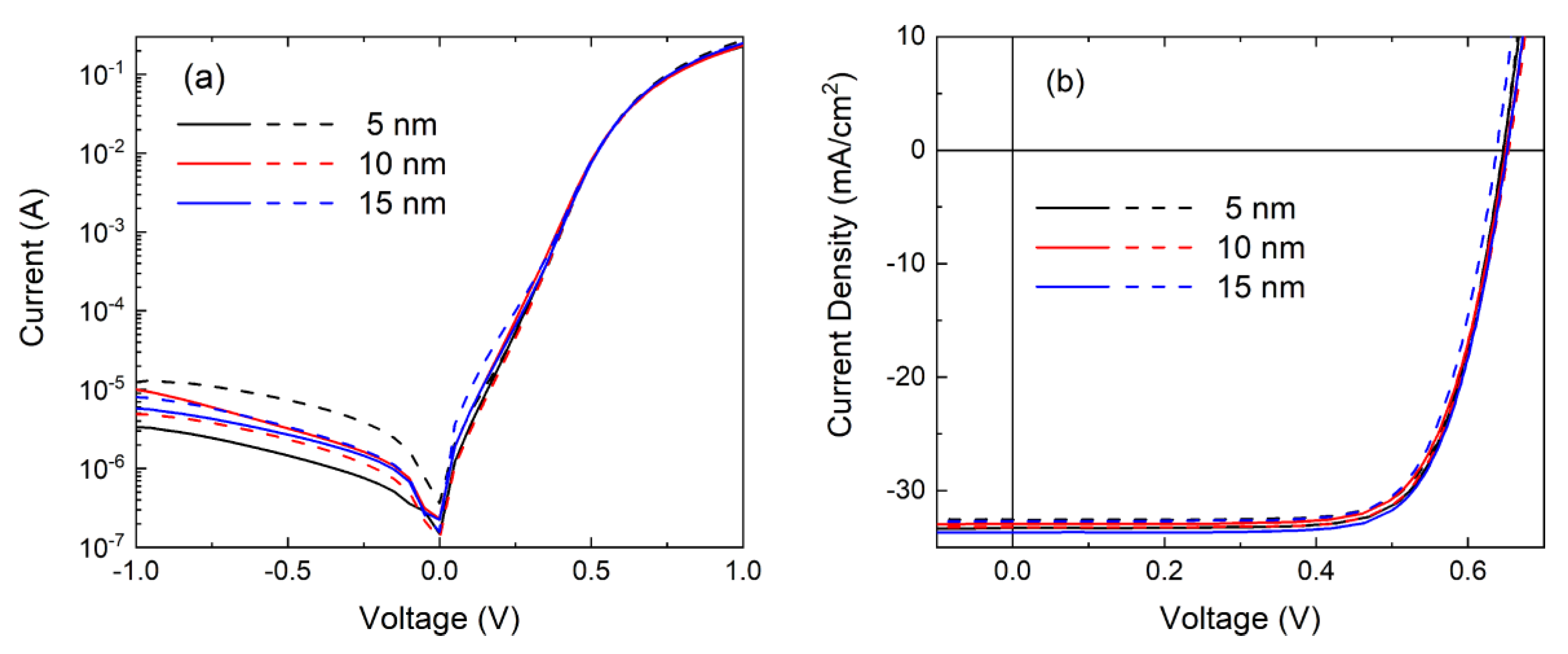
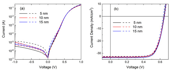
3.1. Properties of MoOx Films
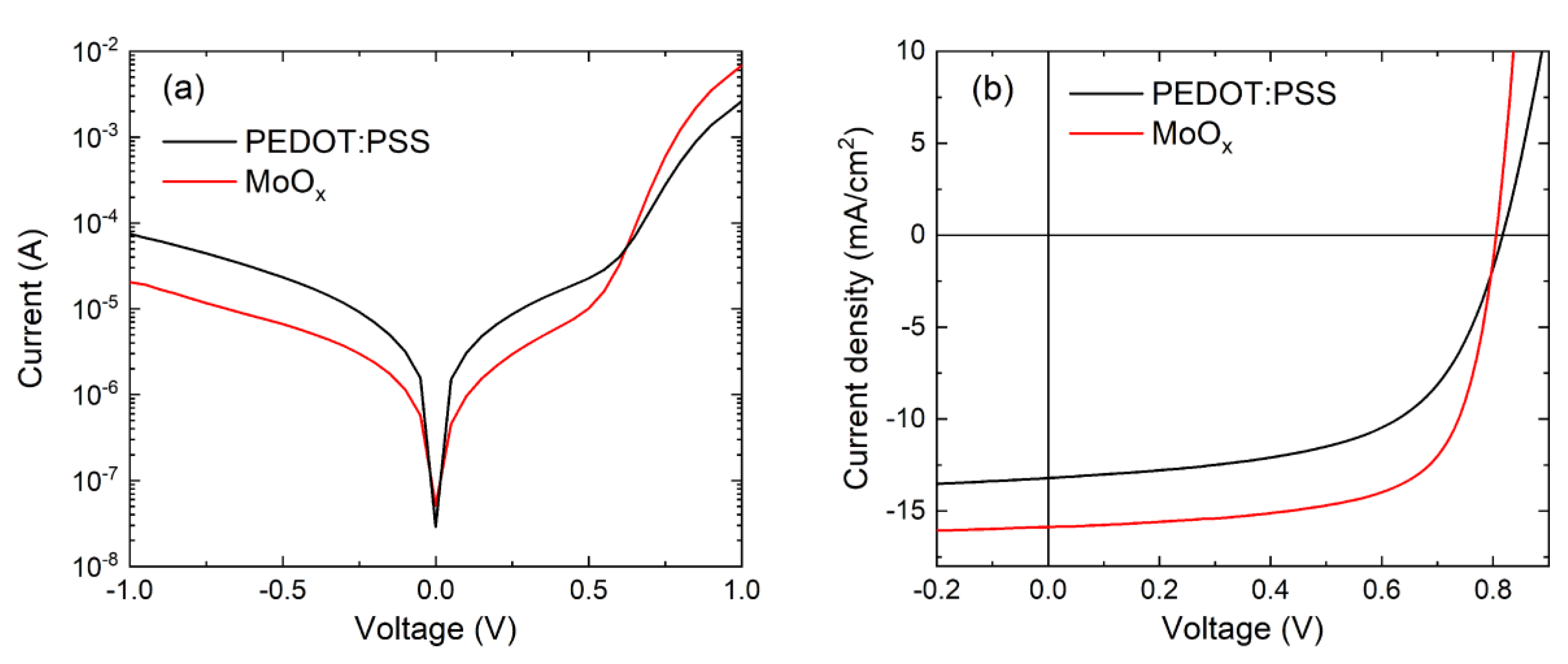
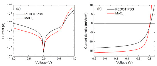
3.2. Polymer Solar Cells
3.3. Silicon Heterojunction Solar Cells
4. Conclusions
Author Contributions
Funding
Conflicts of Interest
References
- Bullock, J.; Cuevas, A.; Allen, T.; Battaglia, C. Molybdenum oxide MoOx: A versatile hole contact for silicon solar cells. Appl. Phys. Lett. 2014, 105, 232109. [Google Scholar] [CrossRef]
- Bivour, M.; Temmler, J.; Steinkemper, H.; Hermle, M. Molybdenum and tungsten oxide: High work function wide band gap contact materials for hole selective contacts of silicon solar cells. Sol. Energy Mater. Sol. Cell 2015, 142, 34–41. [Google Scholar] [CrossRef]
- Geissbühler, J.; Werner, J.; Martin de Nicolas, S.; Barraud, L.; Hessler-Wyser, A.; Despeisse, M.; Nicolay, S.; Tomasi, A.; Niesen, B.; De Wolf, S.; et al. 22.5% Efficient Silicon Heterojunction Solar Cell with Molybdenum Oxide Hole Collector. Appl. Phys. Lett. 2015, 107, 081601. [Google Scholar] [CrossRef]
- Bullock, J.; Hettick, M.; Geissbühler, J.; Ong, A.J.; Allen, T.; Sutter-Fella, C.M.; Chen, T.; Ota, H.; Schaler, E.W.; De Wolf, S.; et al. Efficient silicon solar cells with dopant-free asymmetric heterocontacts. Nat. Energy 2016, 2, 15031. [Google Scholar] [CrossRef]
- Essig, S.; Dreon, J.; Rucavado, E.; Mews, M.; Koida, T.; Boccard, M.; Werner, J.; Geissbühler, J.; Löper, P.; Morales-Masis, M.; et al. Toward Annealing-Stable Molybdenum-Oxide-Based Hole-Selective Contacts for Silicon Photovoltaics. Solar RRL 2018, 2, 1700227. [Google Scholar] [CrossRef]
- Avigad, E.; Etgar, L. Studying the Effect of MoO3 in Hole-Conductor-Free Perovskite Solar Cells. ACS Energy Lett. 2018, 3, 2240–2245. [Google Scholar] [CrossRef]
- Dréon, J.; Jeangros, Q.; Cattin, Y.; Haschke, J.; Antognini, L.; Ballif, C.; Boccard, M. 23.5%-efficient silicon heterojunction silicon solar cell using molybdenum oxide as hole-selective contact. Nano Energy 2020, 70, 104495. [Google Scholar] [CrossRef]
- Wu, W.; Lin, W.; Zhong, S.; Paviet-Salomon, B.; Despeisse, M.; Jeangros, Q.; Liang, Z.; Boccard, M.; Shen, H.; Ballif, C. Dopant-Free Back-Contacted Silicon Solar Cells with an Efficiency of 22.1%. Phys. Status Solidi RRL 2020, 14, 1900688. [Google Scholar] [CrossRef]
- Yoosuf Ameen, M.; Shamjid, P.; Abhijith, T.; Radhakrishnan, T.; Reddy, V.S. Stability enhancement of P3HT:PCBM polymer solar cells using thermally evaporated MoO3 anode buffer layer. Physica B 2018, 530, 201–207. [Google Scholar] [CrossRef]
- Chong, L.; Wenzhe, L.; Jianhui, C.; Jiandong, F.; Yaohua, M.; Schropp, R.E.I. Ultra-thin MoOx as cathode buffer layer for the improvement of all-inorganic CsPbIBr2 perovskite solar cells. Nano Energy 2017, 41, 75–83. [Google Scholar]
- Miyasaka, T.; Kulkarni, A.; Kim, G.M.; Öz, S.; Jena, A.K. Perovskite Solar Cells: Can We Go Organic-Free, Lead-Free, and Dopant-Free? Adv. Energy Mater. 2020, 10, 1902500. [Google Scholar] [CrossRef]
- Pant, N.; Kulkarni, A.; Yanagida, M.; Shirai, Y.; Miyasaka, T.; Miyano, K. Investigating the Growth of CH3NH3PbI3 Thin Films on RF-Sputtered NiOx for Inverted Planar Perovskite Solar Cells: Effect of CH3NH3+ Halide Additives versus CH3NH3+ Halide Vapor Annealing. Adv. Mater. Interfaces 2020, 7, 1901748. [Google Scholar] [CrossRef]
- Meyer, J.; Hamwi, S.; Kröger, M.; Kowalsky, W.; Riedl, T.; Kahn, A. Transition Metal Oxides for Organic Electronics: Energetics, Device Physics and Applications. Adv. Mater. 2012, 24, 5408–5427. [Google Scholar] [CrossRef] [PubMed]
- Irfan, D.H.; Gao, Y.; Small, C.; Kim, D.-Y.; Subbiah, Y.; So, F. Energy level evolution of air and oxygen exposed molybdenum trioxide films. Appl. Phys. Lett. 2010, 96, 243307. [Google Scholar] [CrossRef]
- Werner, J.; Geissbühler, J.; Dabirian, A.; Nicolay, S.; Morales-Masis, M.; De Wolf, S.; Niesen, B.; Ballif, C. Parasitic Absorption Reduction in Metal Oxide-Based Transparent Electrodes: Application in Perovskite Solar Cells. ACS Appl. Mater. Interfaces 2016, 8, 17260–17267. [Google Scholar] [CrossRef]
- Jørgensen, M.; Carlé, J.E.; Søndergaard, R.R.; Lauritzen, M.; Dagnæs-Hansen, N.A.; Byskov, S.L.; Andersen, T.R.; Larsen-Olsen, T.T.; Böttiger, A.P.L.; Andreasen, B.; et al. The state of organic solar cells—A meta analysis. Sol. Energy Mater. Sol. Cells 2013, 119, 84–93. [Google Scholar] [CrossRef]
- Krebs, F.C.; Fyenbo, J.; Jørgensen, M. Product integration of compact roll-to-roll processed polymer solar cell modules: Methods and manufacture using flexographic printing, slot-die coating and rotary screen printing. J. Mater. Chem. 2010, 20, 8994–9001. [Google Scholar] [CrossRef]
- Krebs, F.C. Fabrication and processing of polymer solar cells: A review of printing and coating techniques. Sol. Energy Mater. Sol. Cells 2009, 93, 394–412. [Google Scholar] [CrossRef]
- Krebs, F.C.; Tromholt, T.; Jørgensen, M. Upscaling of polymer solar cell fabrication using full roll to-roll processing. Nanoscale 2010, 2, 873–886. [Google Scholar] [CrossRef]
- Dam, H.F.; Andersen, T.R.; Madsen, M.V.; Mortensen, T.K.; Pedersen, M.F.; Nielsen, U.; Krebs, F.C. Roll and roll-to-roll process scaling through development of a compact flexo unit for printing of back electrodes. Sol. Energy Mater. Sol. Cells 2015, 140, 187–192. [Google Scholar] [CrossRef]
- Liu, Q.; Jiang, Y.; Jin, K.; Qin, J.; Xu, J.; Li, W.; Xiong, J.; Liu, J.; Xiao, Z.; Sun, K.; et al. 18% Efficiency organic solar cells. Sci. Bull. 2020, 65, 272–275. [Google Scholar] [CrossRef]
- Jørgensen, M.; Norrman, K.; Gevorgyan, S.A.; Tromholt, T.; Andreasen, B.; Krebs, F.C. Stability of polymer solar cells. Adv. Mater. 2012, 24, 580–612. [Google Scholar] [CrossRef] [PubMed]
- He, Z.; Zhong, C.; Su, S.; Xu, M.; Wu, H.; Cao, Y. Enhanced power-conversion efficiency in polymer solar cells using an inverted device structure. Nat. Photonics 2012, 6, 591–595. [Google Scholar] [CrossRef]
- Hau, S.K.; Yip, H.L.; Jen, A.K.Y. A Review on the Development of the Inverted Polymer Solar Cell Architecture. Polym. Rev. 2010, 50, 474–510. [Google Scholar] [CrossRef]
- Xu, M.F.; Cui, L.S.; Zhu, X.Z.; Gao, C.H.; Shi, X.B.; Jin, Z.M.; Wang, Z.K.; Liao, L.S. Aqueous solution-processed MoO3 as an effective interfacial layer in polymer/fullerene based organic solar cells. Org. Electron. 2013, 14, 657–664. [Google Scholar] [CrossRef]
- Morvillo, P.; Ricciardi, R.; Nenna, G.; Bobeico, E.; Diana, R.; Minarini, C. Elucidating the origin of the improved current output in inverted polymer solar cells. Sol. Energy Mater. Sol. Cells 2016, 152, 51–58. [Google Scholar] [CrossRef]
- Morvillo, P.; Diana, R.; Nenna, G.; Bobeico, E.; Ricciardi, R.; Minarini, C. High performance inverted polymer solar cells with solution processed metal oxides as electron transport layers: A comparative study. Thin Solid Films 2016, 617, 126–132. [Google Scholar] [CrossRef]
- Yoshikawa, K.; Kawasaki, H.; Yoshida, W.; Irie, T.; Konishi, K.; Nakano, K.; Uto, T.; Adachi, D.; Kanematsu, M.; Uzu, H.; et al. Silicon heterojunction solar cell with interdigitated back contacts for a photoconversion efficiency over 26%. Nat. Energy 2017, 2, 17032. [Google Scholar]
- Adachi, D.; Hernandez, J.L.; Yamamoto, K. Impact of carrier recombination on fill factor for large area heterojunction crystalline Si solar cell with 25.1% efficiency. Appl. Phys. Lett. 2015, 107, 233506. [Google Scholar] [CrossRef]
- Bivour, M.; Schröer, S.; Hermle, M.; Glunz, S.W. Silicon heterojunction rear emitter solar cells: Less restrictions on the optoelectrical properties of front side TCOs. Sol. Energy Mater. Sol. Cell. 2014, 122, 120–129. [Google Scholar] [CrossRef]
- Mazzarella, L.; Morales-Vilches, A.B.; Korte, L.; Schlatmann, R.; Stannowski, B. Ultra-thin nanocrystalline n-type silicon oxide front contact layers for rear emitter silicon heterojunction solar cells. Solar Energy Mater. Solar Cells 2018, 179, 386–391. [Google Scholar] [CrossRef]
- Niemelä, J.P.; Macco, B.; Barraud, L.; Descoeudres, A.; Badel, N.; Despeisse, M.; Christmann, G.; Nicolay, S.; Ballif, C.; Kessels, W.M.M.; et al. Rear-emitter silicon heterojunction solar cells with atomic layer deposited ZnO:Al serving as an alternative transparent conducting oxide to In2O3:Sn. Sol. Energy Mater. Sol. Cell. 2019, 200, 109953. [Google Scholar] [CrossRef]
- Baikie, I.D.; Estrup, P.J. Low cost PC based scanning Kelvin probe. Rev. Sci. Instrum. 1998, 69, 3902–3907. [Google Scholar] [CrossRef]
- Lancellotti, L.; Bobeico, E.; Della Noce, M.; Delli Veneri, P.; Matacena, I. Work Function Determination of Transparent Contact for a:Si/c-Si Heterojunction Solar Cells. In Proceedings of the 2018 IEEE International Conference on Environment and Electrical Engineering and 2018 IEEE Industrial and Commercial Power Systems Europe, EEEIC/I and CPS Europe2018, Palermo, Italy, 12–15 June 2018; pp. 1–5. [Google Scholar]
- Morvillo, P.; Diana, R.; Ricciardi, R.; Bobeico, E.; Minarini, C. High efficiency inverted polymer solar cells with solution-processed ZnO buffer layer. J. Sol-Gel Sci. Technol. 2015, 73, 550–556. [Google Scholar] [CrossRef]
- Long, G.; Wu, B.; Yang, X.; Kan, B.; Zhou, Y.; Chen, L.; Wan, X.; Zhang, H.; Sum, T.C.; Chen, Y. Enhancement of Performance and Mechanism Studies of All-Solution Processed Small-Molecule based Solar Cells with an Inverted Structure. ACS Appl. Mater. Interfaces 2015, 7, 21245–21253. [Google Scholar] [CrossRef]
- Mercaldo, L.V.; Usatii, I.; Delli Veneri, P. Advances in thin-film Si solar cells by means of SiOx alloys. Energies 2016, 9, 218. [Google Scholar] [CrossRef]
- Mercaldo, L.V.; Bobeico, E.; Usatii, I.; Della Noce, M.; Lancellotti, L.; Serenelli, L.; Izzi, M.; Tucci, M.; Veneri, P.D. Potentials of mixed-phase doped layers in p-type Si heterojunction solar cells with ZnO:Al. Sol. Energy Mater. Sol. Cells 2017, 169, 113–121. [Google Scholar] [CrossRef]
- Wan, Q.; Guo, X.; Wang, Z.; Li, W.; Guo, B.; Ma, W.; Zhang, M.; Li, Y. 10.8% Efficiency Polymer Solar Cells Based on PTB7-Th and PC71BM via Binary Solvent Additives Treatment. Adv. Funct. Mater. 2016, 26, 6635–6640. [Google Scholar] [CrossRef]
- Wong, H.C.; Li, Z.; Tan, C.H.; Zhong, H.; Huang, Z.; Bronstein, H.; McCulloch, I.; Cabral, J.T.; Durrant, J.R. Morphological Stability and Performance of Polymer–Fullerene Solar Cells under Thermal Stress: The Impact of Photoinduced PC60BM Oligomerization. ACS Nano 2014, 2, 1297–1308. [Google Scholar] [CrossRef]
- Wantz, G.; Derue, L.; Dautel, O.; Rivaton, A.; Hudhomme, P.; Dagron-Lartigau, C. Stabilizing polymer-based bulk heterojunction solar cells via crosslinking. Polym. Int. 2014, 63, 1346–1361. [Google Scholar] [CrossRef]
- Li, N.; Brabec, C.J. Air-processed polymer tandem solar cells with power conversion efficiency exceeding 10%. Energy Environ. Sci. 2015, 2, 2902–2909. [Google Scholar] [CrossRef]
- Izzi, M.; Tucci, M.; Serenelli, L.; Mangiapane, P.; Della Noce, M.; Usatii, I.; Esposito, E.; Mercaldo, L.V.; Delli Veneri, P. Doped SiOx emitter layer in amorphous/crystalline silicon heterojunction solar cell. Appl. Phys. A 2014, 115, 705–712. [Google Scholar] [CrossRef]
- De Wolf, S.; Kondo, M. Nature of doped a-Si:H/c-Si interface recombination. J. Appl. Phys. 2009, 105, 103707. [Google Scholar] [CrossRef]







| HTL | VOC (mV) | JSC (mA/cm2) | FF (%) | η (%) |
|---|---|---|---|---|
| PEDOT:PSS | 817 | 13.1 | 58.3 | 6.23 |
| MoOx | 805 | 15.9 | 67.8 | 8.67 |
| Cell Structure | Si Wafer | Hole Collector | VOC (mV) | JSC (mA/cm2) | FF (%) | η (%) |
|---|---|---|---|---|---|---|
| a | (p)c-Si | (p)a-Si:H | 644 | 33.2 | 73.0 | 15.6 |
| b | (p)c-Si | MoOx | 682 | 33.4 | 72.5 | 16.5 |
| c | (n)c-Si | MoOx | 678 | 33.6 | 73.5 | 16.7 |
© 2020 by the authors. Licensee MDPI, Basel, Switzerland. This article is an open access article distributed under the terms and conditions of the Creative Commons Attribution (CC BY) license (http://creativecommons.org/licenses/by/4.0/).
Share and Cite
Bobeico, E.; Mercaldo, L.V.; Morvillo, P.; Usatii, I.; Della Noce, M.; Lancellotti, L.; Sasso, C.; Ricciardi, R.; Delli Veneri, P. Evaporated MoOx as General Back-Side Hole Collector for Solar Cells. Coatings 2020, 10, 763. https://doi.org/10.3390/coatings10080763
Bobeico E, Mercaldo LV, Morvillo P, Usatii I, Della Noce M, Lancellotti L, Sasso C, Ricciardi R, Delli Veneri P. Evaporated MoOx as General Back-Side Hole Collector for Solar Cells. Coatings. 2020; 10(8):763. https://doi.org/10.3390/coatings10080763
Chicago/Turabian StyleBobeico, Eugenia, Lucia V. Mercaldo, Pasquale Morvillo, Iurie Usatii, Marco Della Noce, Laura Lancellotti, Carmen Sasso, Rosa Ricciardi, and Paola Delli Veneri. 2020. "Evaporated MoOx as General Back-Side Hole Collector for Solar Cells" Coatings 10, no. 8: 763. https://doi.org/10.3390/coatings10080763
APA StyleBobeico, E., Mercaldo, L. V., Morvillo, P., Usatii, I., Della Noce, M., Lancellotti, L., Sasso, C., Ricciardi, R., & Delli Veneri, P. (2020). Evaporated MoOx as General Back-Side Hole Collector for Solar Cells. Coatings, 10(8), 763. https://doi.org/10.3390/coatings10080763
