Design of Corrosion Protective and Antistatic Hybrid Sol-Gel Coatings on 6XXX AlMgSi Alloys for Aerospace Application
Abstract
1. Introduction
2. Materials and Methods
2.1. Materials
2.2. Preparation of Sols
2.3. Substrate Preparation and Coating Deposition
2.4. Characterization
3. Results and Discussion
3.1. Effect of Solid Content and Organic/Inorganic Ratio in Viscosity and Thickness
3.2. Coating Composition, Appearance and Roughness
3.3. Contact Electrical Resistance
3.4. Electrochemical Characterization
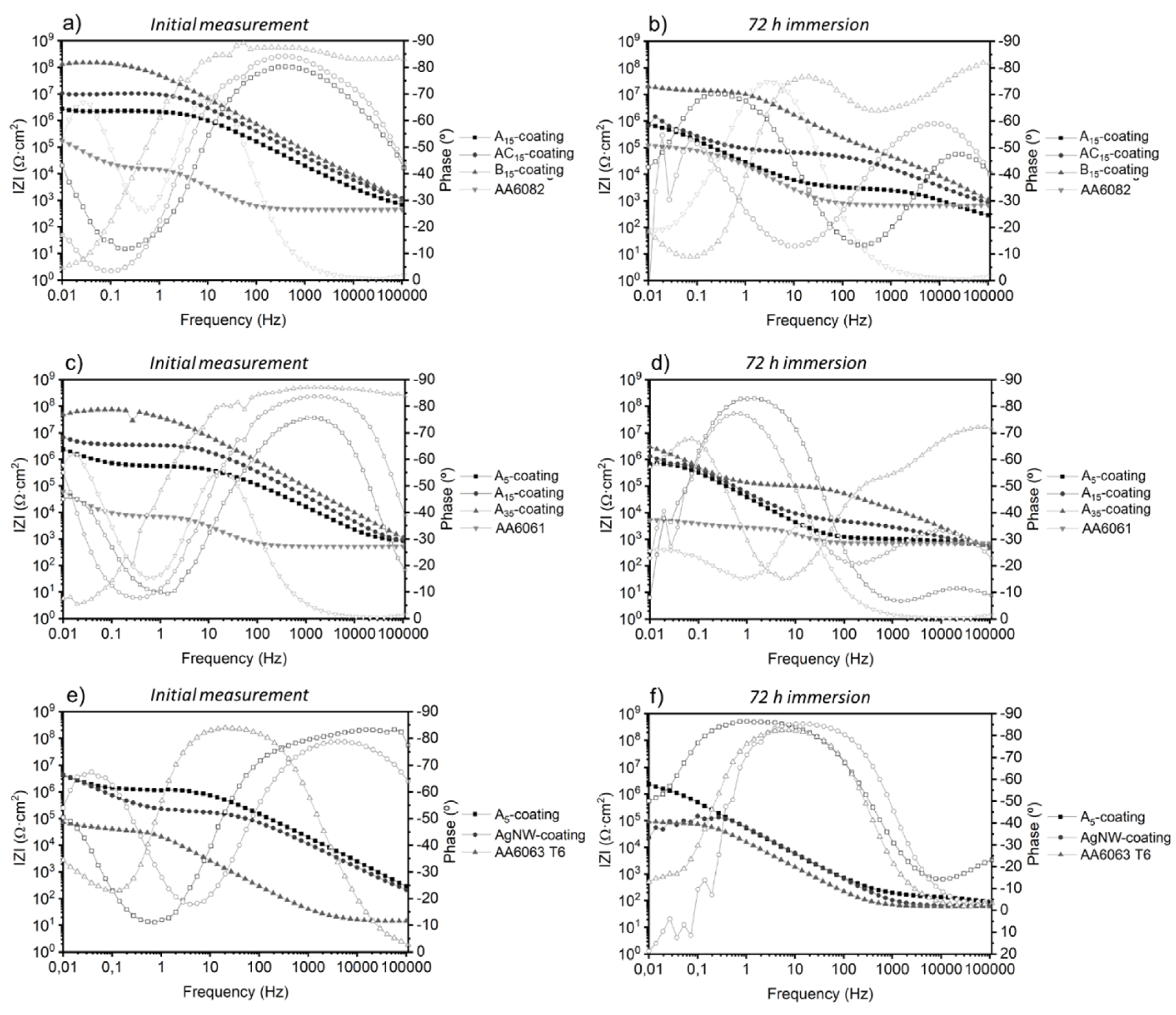
3.5. Durability Assessment
3.6. Vacuum-Induced Outgassing
4. Conclusions
5. Patents
Author Contributions
Funding
Acknowledgments
Conflicts of Interest
References
- Mondolfo, L.F. Aluminum Alloys: Structure and Properties; Butterworths & Co. Ltd.: London, UK, 1976. [Google Scholar]
- Larsen, M.H.; Walmsley, J.C.; Lunder, O.; Nisancioglu, K. Effect of excess silicon and small copper content on intergranular corrosion of 6000-Series aluminum alloys. J. Electrochem. Soc. 2010, 157, C61. [Google Scholar] [CrossRef]
- Totten, G.E.; MacKenzie, D.S. Handbook of Aluminum; Marcel Dekker Inc.: New York, NY, USA, 2003; ISBN 9780203912591. [Google Scholar]
- Kairy, S.K.; Alam, T.; Rometsch, P.A.; Davies, C.H.J.; Banerjee, R.; Birbilis, N. Understanding the origins of intergranular corrosion in copper-containing Al-Mg-Si alloys. Metall. Mater. Trans. A Phys. Metall. Mater. Sci. 2016, 47, 985–989. [Google Scholar] [CrossRef]
- Svenningsen, G.; Lein, J.E.; Bjørgum, A.; Nordlien, J.H.; Yu, Y.; Nisancioglu, K. Effect of low copper content and heat treatment on intergranular corrosion of model AlMgSi alloys. Corros. Sci. 2006, 48, 226–242. [Google Scholar] [CrossRef]
- He, C.; Li, R.; Meng, X.; Lü, S.; Xie, L.; Ma, G.; Wang, J. Effect of Quenching Condition on Corrosion Behavior of 6063 Al Alloy. Int. Conf. Manuf. Sci. Eng. 2015, 1873–1876. [Google Scholar]
- Nazeer, A.A.; Madkour, M. Potential use of smart coatings for corrosion protection of metals and alloys: A review. J. Mol. Liq. 2018, 253, 11–22. [Google Scholar] [CrossRef]
- Santa Coloma, P.; Izagirre, U.; Belaustegi, Y.; Jorcin, J.B.; Cano, F.J.; Lapeña, N. Chromium-free conversion coatings based on inorganic salts (Zr/Ti/Mn/Mo) for aluminum alloys used in aircraft applications. Appl. Surf. Sci. 2015, 345, 24–35. [Google Scholar] [CrossRef]
- Hoebbel, D.; Nacken, M.; Schmidt, H. A NMR study on the hydrolysis, condensation and epoxide ring-opening reaction in sols and gels of the system glycidoxypropyltrimethoxysilane-water-titaniumtetraethoxide. J. Sol-Gel Sci. Technol. 1998, 12, 169–179. [Google Scholar] [CrossRef]
- Yadav, R.; Tirumali, M.; Wang, X.; Naebe, M.; Kandasubramanian, B. Polymer composite for antistatic application in aerospace. Def. Technol. 2020, 16, 107–118. [Google Scholar] [CrossRef]
- Larsson, A. The interaction between a lightning flash and an aircraft in flight. C. R. Phys. 2002, 3, 1423–1444. [Google Scholar] [CrossRef]
- Gagné, M.; Therriault, D. Lightning strike protection of composites. Prog. Aerosp. Sci. 2014, 64, 1–16. [Google Scholar] [CrossRef]
- Agustín-Sáenz, C.; Martín-Ugarte, E.; Jorcin, J.B.; Imbuluzqueta, G.; Santa Coloma, P.; Izagirre-Etxeberria, U. Effect of organic precursor in hybrid sol-gel coatings for corrosion protection and the application on hot dip galvanised steel. J. Sol-Gel Sci. Technol. 2019, 89, 264–283. [Google Scholar] [CrossRef]
- Verma, S.; Gupta, M.; Misra, J.P. Friction stir welding of aerospace materials: A state of art review. In Chapter 13 in DAAAM International Scientific Book 2016; Katalinic, B., Ed.; DAAAM International: Vienna, Austria, 2016; pp. 135–150. ISBN 978-3-902734-09-9. [Google Scholar]
- MIL-DTL-81706B. Chemical Conversion Materials for Coating Aluminium and Aluminium Alloys; Naval Air Warfare Center Aircraft Division: Lakehurst, NJ, USA, 2006. [Google Scholar]
- ECSS-Q-ST-70-02C. Space Product Assurance, Thermal Vacuum Outgassing Test for the Screening of Space Materials; ECSS Secretariat ESA-ESTEC, Requirements & Standards Division: Noordwijk, The Netherlands, 2008. [Google Scholar]
- MIL-DTL-5541F. Chemical Conversion Coatings on Aluminum and Aluminum Alloys; Naval Air Warfare Center Aircraft Division: Lakehurst, NJ, USA, 2006. [Google Scholar]
- ISO 4288. Geometrical Product Specifications (GPS)—Surface Texture: Profile Method—Rules and Procedures for the Assessment of Surface Texture; International Organization for Standardization: Geneva, Switzerland, 1996. [Google Scholar]
- ECSS-Q-ST-70-04C. Thermal Testing for the Evaluation of Space Materials, Processes, Mechanical Parts and Assemblies; ECSS Secretariat ESA-ESTEC, Requirements & Standards Division: Noordwijk, The Netherlands, 2008. [Google Scholar]
- Scriven, L. Physics and applications of dip coating and spin coating. Mater. Res. Soc. Symp. Proc. 1988, 121, 717–729. [Google Scholar] [CrossRef]
- Faustini, M.; Louis, B.; Albouy, P.A.; Kuemmel, M.; Grosso, D. Preparation of sol-gel films by dip-coating in extreme conditions. J. Phys. Chem. C 2010, 114, 7637–7645. [Google Scholar] [CrossRef]
- Feng, Z.; Frankel, G.S. Evaluation of coated Al alloy using the breakpoint frequency method. Electrochim. Acta 2016, 187, 605–615. [Google Scholar] [CrossRef]
- Martins, N.C.T.; Moura e Silva, T.; Montemor, M.F.; Fernandes, J.C.S.; Ferreira, M.G.S. Electrodeposition and characterization of polypyrrole films on aluminium alloy 6061-T6. Electrochim. Acta 2008, 53, 4754–4763. [Google Scholar] [CrossRef]
- Martins, N.C.T.; Moura e Silva, T.; Montemor, M.F.; Fernandes, J.C.S.; Ferreira, M.G.S. Polyaniline coatings on aluminium alloy 6061-T6: Electrosynthesis and characterization. Electrochim. Acta 2010, 55, 3580–3588. [Google Scholar] [CrossRef]
- Trueba, M.; Trasatti, S.P. Pyrrole-based silane primer for corrosion protection of commercial Al alloys. Part I: Synthesis and spectroscopic characterization. Prog. Org. Coat. 2009, 66, 254–264. [Google Scholar] [CrossRef]
- Trueba, M.; Trasatti, S.P. Pyrrole-based silane primer for corrosion protection of commercial Al alloys. Part II. Corrosion performance in neutral NaCl solution. Prog. Org. Coat. 2009, 66, 265–275. [Google Scholar] [CrossRef]











| AlMgSi Alloy | Si | Fe | Cu | Mn | Mg | Cr | Zn | Ti | Al |
|---|---|---|---|---|---|---|---|---|---|
| 6082 T6 | 0.90 | 0.43 | 0.09 | 0.45 | 0.90 | 0.03 | 0.09 | 0.03 | Balance |
| 6061 T6 | 0.68 | 0.36 | 0.18 | 0.08 | 1.1 | 0.17 | <0.02 | <0.03 | Balance |
| 6063 T6 | 0.46 | 0.23 | <0.05 | 0.05 | 0.52 | <0.05 | 0.03 | <0.03 | Balance |
| Si Part | Zr Part | |
|---|---|---|
| Sol A | TEOS/GPTMS/BPA/n-propanol/H2SO4 0.1M Molar ratio 1:1:0.5:2:4 | TPOZ/AcAc/n-propanol/H2SO4 0.1M Molar ratio 1:1.4:16:3 |
| Sol AC | TEOS/GPTMS/BPA/n-propanol/H2SO4 0.1M Molar ratio 1:1:0.5:2:4 | TPOZ/AcAc/n-propanol/H2SO4 0.1M Molar ratio 1:1.4:5.4:3 |
| Sol B | TEOS/GPTMS/BPA/n-propanol/H2SO4 0.1M Molar ratio 1:2:1:2:6 | TPOZ/AcAc/n-propanol/H2SO4 0.1M Molar ratio 1:1.4:16:3 |
| AlMgSi Alloy | Sol Formulation | Withdrawal Rate (cm/min) | Coating |
|---|---|---|---|
| AA6082 T6 | Sol A | 5 | A5-coating |
| 15 | A15-coating | ||
| Sol AC | 5 | AC5-coating | |
| 15 | AC15-coating | ||
| Sol B | 5 | B5-coating | |
| 15 | B15-coating | ||
| AA6061 T6 | Sol A | 5 | A5-coating |
| 15 | A15-coating | ||
| 35 | A35-coating | ||
| AA6063 T6 | Sol A | 5 | A5-coating |
| 15 | A15-coating | ||
| Sol A-AgNW | 5 | AgNW-coating |
| Zr (at. %) | Si (at. %) | C (at. %) | O (at. %) | Stoichiometry | ||
|---|---|---|---|---|---|---|
| A-coating | 3.6 1 | 18.1 1 | 45.4 1 | 32.9 1 | ZrO1.5 | SiO1.4 |
| B-coating | 2.7 | 13.9 | 53.5 | 30.0 | ZrO1.8 | SiO1.2 |
| mg/cm2 | g/cm3 | TML (%) | RML (%) | WVR (%) | CVCM (%) | |
|---|---|---|---|---|---|---|
| A15-coating | 0.54 | 1.13 | 5.157 ± 0.392 | 1.404 ± 0.033 | 3.753 ± 0.455 | 0.009 ± 0.002 |
| AC15-coating | 0.80 | 1.03 | 5.483 ± 0.400 | 1.318 ± 0.153 | 4.165 ± 0.495 | 0.006 ± 0.003 |
| B15-coating | 1.35 | 1.53 | 3.551 ± 0.035 | 1.791 ± 0.037 | 1.760 ± 0.059 | 0.303 ± 0.132 |
© 2020 by the authors. Licensee MDPI, Basel, Switzerland. This article is an open access article distributed under the terms and conditions of the Creative Commons Attribution (CC BY) license (http://creativecommons.org/licenses/by/4.0/).
Share and Cite
Agustín-Sáenz, C.; Santa Coloma, P.; Fernández-Carretero, F.J.; Brusciotti, F.; Brizuela, M. Design of Corrosion Protective and Antistatic Hybrid Sol-Gel Coatings on 6XXX AlMgSi Alloys for Aerospace Application. Coatings 2020, 10, 441. https://doi.org/10.3390/coatings10050441
Agustín-Sáenz C, Santa Coloma P, Fernández-Carretero FJ, Brusciotti F, Brizuela M. Design of Corrosion Protective and Antistatic Hybrid Sol-Gel Coatings on 6XXX AlMgSi Alloys for Aerospace Application. Coatings. 2020; 10(5):441. https://doi.org/10.3390/coatings10050441
Chicago/Turabian StyleAgustín-Sáenz, Cecilia, Patricia Santa Coloma, Francisco J. Fernández-Carretero, Fabiola Brusciotti, and Marta Brizuela. 2020. "Design of Corrosion Protective and Antistatic Hybrid Sol-Gel Coatings on 6XXX AlMgSi Alloys for Aerospace Application" Coatings 10, no. 5: 441. https://doi.org/10.3390/coatings10050441
APA StyleAgustín-Sáenz, C., Santa Coloma, P., Fernández-Carretero, F. J., Brusciotti, F., & Brizuela, M. (2020). Design of Corrosion Protective and Antistatic Hybrid Sol-Gel Coatings on 6XXX AlMgSi Alloys for Aerospace Application. Coatings, 10(5), 441. https://doi.org/10.3390/coatings10050441

