Study of a Hydrogen Inhibition Method with Sodium Tungstate for Wet Aluminum Dust Removal Systems
Abstract
1. Introduction
- Study the process and mechanism of the reaction of aluminum powder with water.
- The main objective of the study is determining the optimum inhibitory concentration of the sodium tungstate solution to provide a basis for future applications in wet dust removal systems.
- Analyze the composition of the protective coatings after the reaction.
2. Experimental
2.1. Experimental Equipments and Materials
2.2. Hydrogen Inhibition Experiment
2.3. Experimental Procedure
- Perform a gas tightness test. The test was as follows. First, we opened the high-temperature circulator to keep the reaction kettle at 323 K. Then we injected 200 kPa H2 into the reaction kettle and waited 24 h. After 24 h, the pressure inside the reaction kettle remained at 200 kPa. Then we can proceed to the next step.
- Turned on the hydrogen inhibition setup, and set up the experimental parameters. The parameters including water capacity, aluminum powder quantity, alarm pressure, etc.
- Poured the stirred and mixed sodium tungstate solution into the reaction kettle.
- Added 1.5 g aluminum powder when the temperature sensor showed the temperature was 323 K, and rotated the control handle to seal the unit.
- Turned on the mixer. After the metal dust is thoroughly mixed with water, turned off the mixer.
- Clicked to start the experiment time. The experiment lasted 12 h. Within the 12 h, the instrument recorded a pressure value every minute, indicating the amount of hydrogen generated by the reaction of aluminum powder and water. The corresponding data of time and pressure are exported after the experiment ends.
- Processed the data.
2.4. Characterizations
3. Results and Discussion
3.1. Results of the Hydrogen Inhibition Experiments
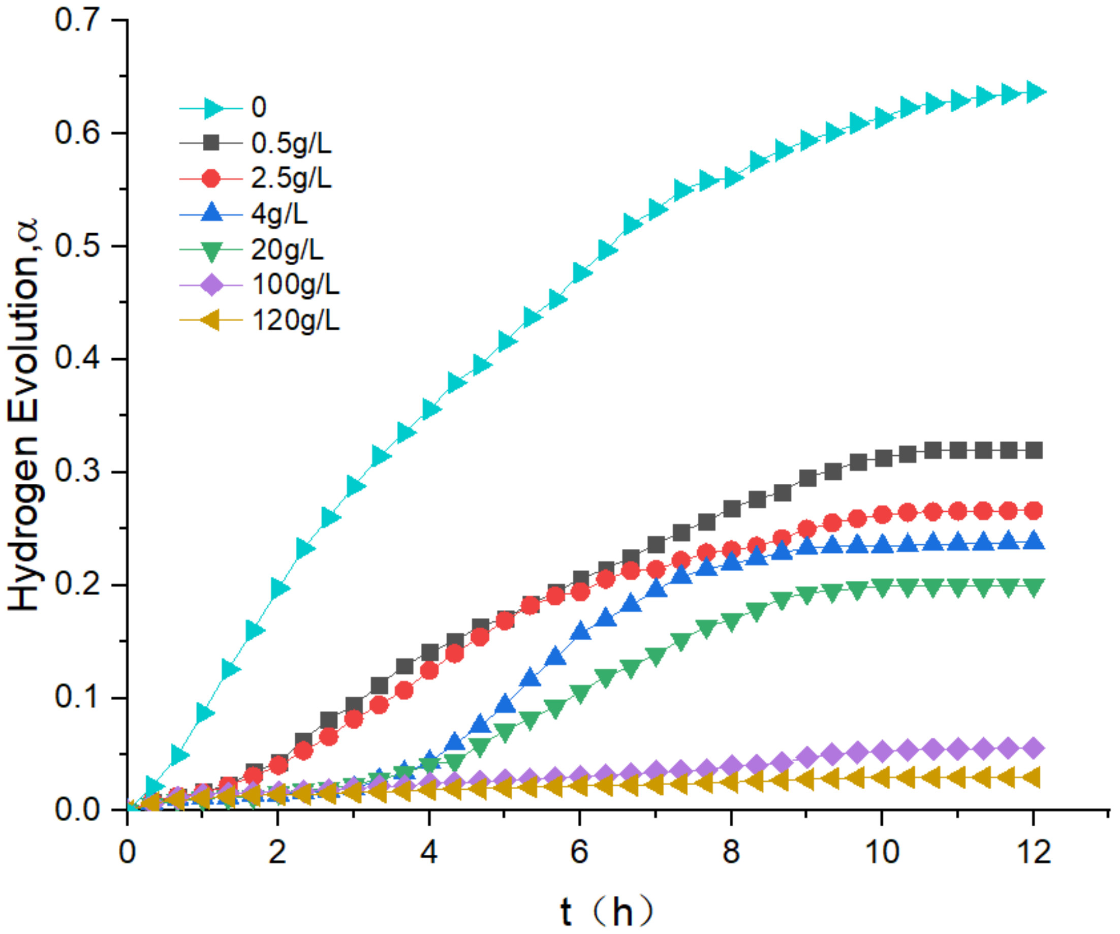
3.1.1. Hydrogen Evolution Curves
3.1.2. SEM and EDS
3.1.3. XRD and XPS
3.1.4. Summary of the Experimental Results
3.2. Physicochemical Mechanisms
3.2.1. The Equation for Inhibitory Reactions
3.2.2. Chemical Kinetic Model
3.2.3. The Langmuir Adsorption Isotherm of the Sample
4. Conclusions
Author Contributions
Funding
Conflicts of Interest
References
- Soler, L.; Candela, A.M.; Macanás, J.; Muñoz, M.; Casado, J. In situ generation of hydrogen from water by aluminum corrosion in solutions of sodium aluminate. J. Power Sources 2009, 192, 21–26. [Google Scholar] [CrossRef]
- Li, G.; Yang, H.-X.; Yuan, C.-M.; Eckhoff, R. A catastrophic aluminium-alloy dust explosion in China. J. Loss Prev. Process. Ind. 2016, 39, 121–130. [Google Scholar] [CrossRef]
- Paltrinieri, N.; Khan, F.; Amyotte, P.R.; Cozzani, V. Dynamic approach to risk management: Application to the Hoeganaes metal dust accidents. Process. Saf. Environ. Prot. 2014, 92, 669–679. [Google Scholar] [CrossRef]
- Myers, T. Reducing aluminum dust explosion hazards: Case study of dust inerting in an aluminum buffing operation. J. Hazard. Mater. 2008, 159, 72–80. [Google Scholar] [CrossRef] [PubMed]
- Jensen, M.B.; Peterson, M.J.; Jadhav, N.; Gelling, V. SECM investigation of corrosion inhibition by tungstate- and vanadate-doped polypyrrole/aluminum flake composite coatings on AA2024-T3. Prog. Org. Coat. 2014, 77, 2116–2122. [Google Scholar] [CrossRef]
- Gray, J.; Luan, B. Protective coatings on magnesium and its alloys — a critical review. J. Alloy. Compd. 2002, 336, 88–113. [Google Scholar] [CrossRef]
- Tseng, C.-C.; Lee, J.-L.; Kuo, T.-H.; Kuo, S.-N.; Tseng, K.-H. The influence of sodium tungstate concentration and anodizing conditions on microarc oxidation (MAO) coatings for aluminum alloy. Surf. Coatings Technol. 2012, 206, 3437–3443. [Google Scholar] [CrossRef]
- Uhlig, H.H.; King, P.F. The Flade potential of iron passivated by various inorganic corrosion inhibitors. J. Electrochem. Soc. 1959, 106. [Google Scholar] [CrossRef]
- Sanni, S.E.; Ewetade, A.P.; Emetere, M.E.; Agboola, O.; Okoro, E.E.; Olorunshola, S.J.; Olugbenga, T.S. Enhancing the inhibition potential of sodium tungstate towards mitigating the corrosive effect of Acidithiobaccillus thiooxidan on X-52 carbon steel. Mater. Today Commun. 2019, 19, 238–251. [Google Scholar] [CrossRef]
- Javidi, M.; Omidvar, R. Synergistic inhibition behavior of sodium tungstate and penicillin G as an eco-friendly inhibitor on pitting corrosion of 304 stainless steel in NaCl solution using Design of Experiment. J. Mol. Liq. 2019, 291, 111330. [Google Scholar] [CrossRef]
- Yao, Z. Study on Green Inhibitor of Magnesium Alloy and Its Inhibitory Mechanism. Ph.D. Thesis, Chongqing University, Chongqing, China, 2008. (In Chinese). [Google Scholar]
- Yan, L.; Zhu, L. Progress in Tungstate Inhibition Mechanism. J. Mater. Prot. 2000, 11, 29–31. (In Chinese) [Google Scholar]
- Wang, Y.; Xu, K.; Wang, B.; Zhang, J. Hydrogen inhibition in a wet aluminum dust collection system using dichromate solution. RSC Adv. 2017, 7, 47867–47876. [Google Scholar] [CrossRef]
- Wang, Y.; Xu, K.; Li, L. Inhibition of the reaction between aluminium dust and water based on the HIM. RSC Adv. 2017, 7, 33327–33334. [Google Scholar] [CrossRef]
- Wang, Y.; Xu, K.; Wang, B.; Wang, Q. Hydrogen inhibition by using Cr(NO3)3∙9H2O in the wet dust removal system for the treatment of aluminum dust. Int. J. Hydrog. Energy 2018, 43, 2514–2523. [Google Scholar] [CrossRef]
- Xu, K.; Wang, Y.; Shen, R.; Wang, Q. Inhibition of hydrogen production reactions in the wet dust removal system using CeCl3 solutions. Int. J. Hydrogen Energy 2018, 43, 14859–14865. [Google Scholar] [CrossRef]
- Zheng, X.; Xu, K.; Wang, Y.; Shen, R.; Wang, Q. Study of hydrogen explosion control measures by using l-phenylalanine for aluminum wet dust removal systems. RSC Adv. 2018, 8, 41308–41316. [Google Scholar] [CrossRef]
- Zheng, X.; Xu, K.; Wang, Y.; Wang, Q. Hydrogen inhibition method for preventing hydrogen explosion accident in wet dust removal systems. Int. J. Hydrog. Energy 2019, 44, 17195–17201. [Google Scholar] [CrossRef]
- Deng, Z.-Y.; Ferreira, J.M.F.; Tanaka, Y.; Ye, J. Physicochemical Mechanism for the Continuous Reaction of Al2O3-Modified Aluminum Powder with Water. J. Am. Ceram. Soc. 2007, 90, 1521–1526. [Google Scholar] [CrossRef]
- Gai, W.-Z.; Deng, Z.-Y. Effect of initial gas pressure on the reaction of Al with water. Int. J. Hydrog. Energy 2014, 39, 13491–13497. [Google Scholar] [CrossRef]
- Deng, Z.-Y.; Tang, Y.-B.; Zhu, L.-L.; Sakka, Y.; Ye, J. Effect of different modification agents on hydrogen-generation by the reaction of Al with water. Int. J. Hydrogen Energy 2010, 35, 9561–9568. [Google Scholar] [CrossRef]
- Deng, Z.-Y.; Ferreira, J.M.F.; Sakka, Y. Hydrogen-Generation Materials for Portable Applications. J. Am. Ceram. Soc. 2008, 91, 3825–3834. [Google Scholar] [CrossRef]
- Dkhilalli, F.; Borchani, S.M.; Rasheed, M.; Barille, R.; Shihab, S.; Guidara, K.; Megdiche, M. Characterizations and morphology of sodium tungstate particles. R. Soc. Open Sci. 2018, 5, 172214. [Google Scholar] [CrossRef] [PubMed]
- Yao, X.; Zhou, H.; Xu, K.; Xu, Q.; Li, L.; Haodong, Z. Investigation on the fusion characterization and melting kinetics of ashes from co-firing of anthracite and pine sawdust. Renew. Energy 2020, 145, 835–846. [Google Scholar] [CrossRef]
- Yao, X.; Zhou, H.; Xu, K.; Chen, S.; Ge, J.; Xu, Q. Systematic study on ash transformation behaviour and thermal kinetic characteristics during co-firing of biomass with high ratios of bituminous coal. Renew. Energy 2020, 147, 1453–1468. [Google Scholar] [CrossRef]
- Yao, X.; Zhou, H.; Xu, K.; Xu, Q.; Li, L. Evaluation of the fusion and agglomeration properties of ashes from combustion of biomass, coal and their mixtures and the effects of K2CO3 additives. Fuel 2019, 255, 115829. [Google Scholar] [CrossRef]
- Yao, X.; Zheng, Y.; Zhou, H.; Xu, K.; Xu, Q.; Li, L. Effects of biomass blending, ashing temperature and potassium addition on ash sintering behaviour during co-firing of pine sawdust with a Chinese anthracite. Renew. Energy 2020, 147, 2309–2320. [Google Scholar] [CrossRef]
- Hwang, I.J.; Shin, K.R.; Lee, J.S.; Ko, Y.G.; Shin, D.H. Formation of Black Ceramic Layer on Aluminum Alloy by Plasma Electrolytic Oxidation in Electrolyte Containing Na2WO4. Mater. Trans. 2012, 53, 559–564. [Google Scholar] [CrossRef]
- Han, S.; Shin, W.S.; Seo, M.; Gupta, D.; Moon, S.-J.; Yoo, S. Improving performance of organic solar cells using amorphous tungsten oxides as an interfacial buffer layer on transparent anodes. Org. Electron. 2009, 10, 791–797. [Google Scholar] [CrossRef]
- Dąbkowski, A.; Dąbkowska, H.; Greedan, J.E.; Adachi, G.; Kobayashi, Y.; Tamura, S.; Hiaraiwa, M.; Imanaka, N. Crystal growth of aluminum tungstate Al2(WO4)3 by the Czochralski method from nonstoichiometric melt. J. Cryst. Growth 1999, 197, 879–882. [Google Scholar] [CrossRef]
- Shpak, A.; Korduban, A.; Medvedskij, M.; Kandyba, V. XPS studies of active elements surface of gas sensors based on WO3−x nanoparticles. J. Electron Spectrosc. Relat. Phenom. 2007, 156, 172–175. [Google Scholar] [CrossRef]
- Cai, Z.-X.; Li, H.-Y.; Yang, X.-N.; Guo, X. NO sensing by single crystalline WO3 nanowires. Sens. Actuators B Chem. 2015, 219, 346–353. [Google Scholar] [CrossRef]
- Xie, F.; Gong, L.; Liu, X.; Tao, Y.; Zhang, W.; Chen, S.; Meng, H.; Chen, J. XPS studies on surface reduction of tungsten oxide nanowire film by Ar+ bombardment. J. Electron Spectrosc. Relat. Phenom. 2012, 185, 112–118. [Google Scholar] [CrossRef]
- Gai, W.-Z.; Liu, W.-H.; Deng, Z.-Y.; Zhou, J.-G. Reaction of Al powder with water for hydrogen generation under ambient condition. Int. J. Hydrog. Energy 2012, 37, 13132–13140. [Google Scholar] [CrossRef]
- Martínez-Salazar, A.; Melo-Banda, J.; Coronel-García, M.; González-Barbosa, J.; Domínguez-Esquivel, J. Hydrogen generation by aluminum alloy corrosion in aqueous acid solutions promoted by nanometal: Kinetics study. Renew. Energy 2020, 146, 2517–2523. [Google Scholar] [CrossRef]
- Azizian, S.; Eris, S.; Wilson, L.D. Re-evaluation of the century-old Langmuir isotherm for modeling adsorption phenomena in solution. Chem. Phys. 2018, 513, 99–104. [Google Scholar] [CrossRef]
- Helal, N.; Badawy, W.A. Environmentally safe corrosion inhibition of Mg–Al–Zn alloy in chloride free neutral solutions by amino acids. Electrochim. Acta 2011, 56, 6581–6587. [Google Scholar] [CrossRef]















| Experiment Name | Instrument | Model | Manufacturer |
|---|---|---|---|
| Hydrogen inhibition experiment | Hydrogen inhibition experiments | Custom instrument | N/A |
| SEM | Scanning electron microscope | Ultra Plus | Zeiss Microscope Co., Ltd. Oberkochen, Germany |
| EDS | Energy dispersive spectroscopy | SSX-550 | Shimadzu Corporation, Shanghai, China |
| XPS | X-ray photoelectron spectrometer | Kratos Ultra DLD | Shanghai Aitanpu New Material Technology Co., Ltd., Shanghai, China |
| XRD | X-ray diffraction | X’Pert PRO | PANalytical B.V., Almelo, Holland |
| EDS Elemental Analysis | Element | Mass Percentage | Atomic Percentage |
|---|---|---|---|
| 100 g/L sodium tungstate solution | O | 36.92 | 53.35 |
| Mg | 2.92 | 2.78 | |
| Al | 49.65 | 42.55 | |
| W | 10.51 | 1.32 | |
| total | 100.00 | 100.00 |
| EDS Elemental Analysis | Element | Mass Percentage | Atomic Percentage |
|---|---|---|---|
| 2.5 g/L sodium tungstate solution reaction product | O | 54.63 | 69.20 |
| Mg | 5.72 | 4.77 | |
| Al | 33.81 | 25.39 | |
| W | 5.84 | 0.64 | |
| total | 100.00 | 100.00 |
| Concentration of the Sodium Tungstate Solution (g/L) | Rate Constant (h−1) | Initial pH Value |
|---|---|---|
| 0 | 0.02924 | 6.7 |
| 0.5 | 0.01313 | 7.4 |
| 2.5 | 0.01123 | 7.8 |
| 4 | 0.00791 | 8.1 |
| 20 | 0.00351 | 8.9 |
| 100 | 0.000147 | 9.7 |
| 120 | 0.000109 | 9.7 |
| Inhibitor | K | Slope | Correlation Coefficient (r) |
|---|---|---|---|
| Sodium tungstate | 0.65 | 1.02 | 0.999 |
© 2020 by the authors. Licensee MDPI, Basel, Switzerland. This article is an open access article distributed under the terms and conditions of the Creative Commons Attribution (CC BY) license (http://creativecommons.org/licenses/by/4.0/).
Share and Cite
Zhang, B.; Xu, K.; Zheng, X.; Yao, X.; Wang, Y.; Ge, J. Study of a Hydrogen Inhibition Method with Sodium Tungstate for Wet Aluminum Dust Removal Systems. Coatings 2020, 10, 431. https://doi.org/10.3390/coatings10050431
Zhang B, Xu K, Zheng X, Yao X, Wang Y, Ge J. Study of a Hydrogen Inhibition Method with Sodium Tungstate for Wet Aluminum Dust Removal Systems. Coatings. 2020; 10(5):431. https://doi.org/10.3390/coatings10050431
Chicago/Turabian StyleZhang, Bohan, Kaili Xu, Xin Zheng, Xiwen Yao, Yantong Wang, and Ji Ge. 2020. "Study of a Hydrogen Inhibition Method with Sodium Tungstate for Wet Aluminum Dust Removal Systems" Coatings 10, no. 5: 431. https://doi.org/10.3390/coatings10050431
APA StyleZhang, B., Xu, K., Zheng, X., Yao, X., Wang, Y., & Ge, J. (2020). Study of a Hydrogen Inhibition Method with Sodium Tungstate for Wet Aluminum Dust Removal Systems. Coatings, 10(5), 431. https://doi.org/10.3390/coatings10050431
