Caffeine and TiO2 Nanoparticles Treatment of Spruce and Beech Wood for Increasing Transparent Coating Resistance against UV-Radiation and Mould Attacks
Abstract
1. Introduction
2. Material and Methods
2.1. Wood Samples
2.2. Treatments of Samples
2.3. Artificial Accelerated Weathering
2.4. Tested Properties—Colour, Gloss, Surface Wetting, and Visual Evaluation
2.5. Mould Resistance Test
2.6. Statistical Evaluation
3. Results and Discussion
3.1. Visual and Microscopic Evaluation
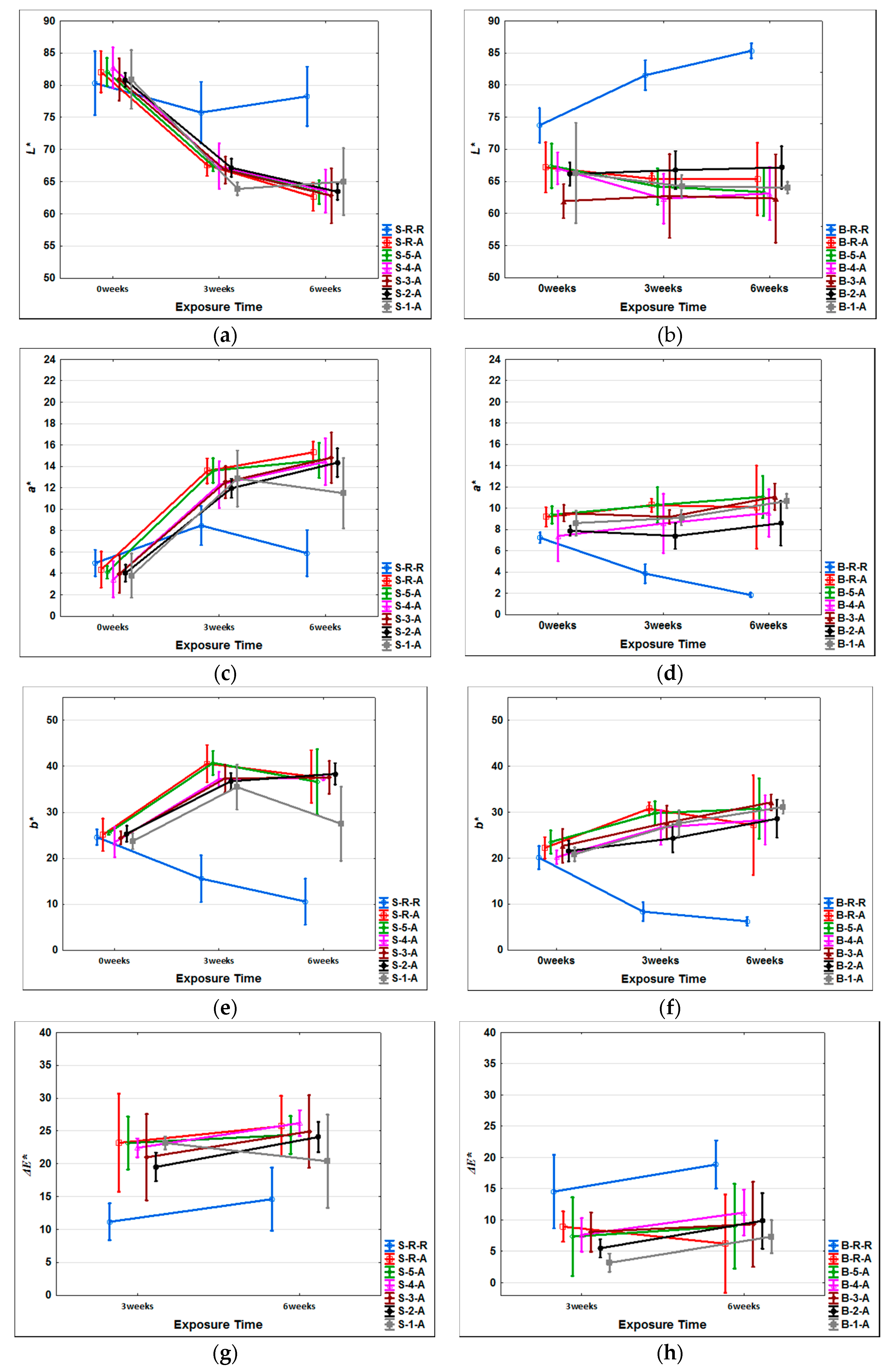
3.2. Colour, Gloss, and Water Contact Angle Changes during AW
3.3. Mould Growth Tests
4. Conclusions
Author Contributions
Funding
Conflicts of Interest
References
- Kržišnik, D.; Lesar, B.; Thaler, N.; Humar, M. Influence of natural and artificial weathering on the colour change of different wood and wood-based materials. Forests 2018, 9, 488. [Google Scholar] [CrossRef]
- Feist, W.C. Weathering and Protection of Wood; American Wood-Preservers’ Association: Kansas City, KS, USA, 1983. [Google Scholar]
- Imken, A.A.P.; Brischke, C.; Kögel, S.; Krause, K.C.; Mai, C. Resistance of different wood-based materials against mould fungi: A comparison of methods. Eur. J. Wood Wood Prod. 2020, 78, 661–671. [Google Scholar] [CrossRef]
- Gobakken, L.R.; Lebow, P.K. Modelling mould growth on coated modified and unmodified wood substrates exposed outdoors. Wood Sci. Technol. 2010, 44, 315–333. [Google Scholar] [CrossRef]
- Gaylarde, C.C.; Morton, L.H.G.; Loh, K.; Shirakawa, M.A. Biodeterioration of extrernal architectural paint films—A review. Int. Biodeterior. Biodegrad. 2011, 65, 1189–1198. [Google Scholar] [CrossRef]
- Cogulet, A.; Blanchet, P.; Landry, V. The multifactorial aspect of wood weathering: A review based on a holistic approach of wood degradation protected by clear coating. BioResources 2018, 13, 2116–2138. [Google Scholar] [CrossRef]
- Evans, P.D.; Vollmer, S.; Kim, J.D.W.; Chan, G.; Gibson, S.K. Improving the performance of clear coatings on wood through the aggregation of marginal gains. Coatings 2016, 6, 66. [Google Scholar] [CrossRef]
- Gobakken, L.R.; Westin, M. Surface mould growth on five modified wood substrates coated with three different coating systems when exposed outdoors. Int. Biodeterior. Biodegrad. 2008, 62, 397–402. [Google Scholar] [CrossRef]
- Evans, P.D.; Haase, J.G.; Shakri, A.; Seman, B.M.; Kiguchi, M. The search for durable exterior clear coatings for wood. Coatings 2015, 5, 830–864. [Google Scholar] [CrossRef]
- Cristea, M.V.; Riedl, B.; Blanchet, P. Enhancing the performance of exterior waterborne coatings for wood by inorganic nanosized UV absorbers. Prog. Org. Coat. 2010, 69, 432–441. [Google Scholar] [CrossRef]
- George, B.; Suttie, E.; Merlin, A.; Deglise, X. Photodegradation and photostabilisation of wood—The state of the art. Polym. Degrad. Stab. 2005, 88, 268–274. [Google Scholar] [CrossRef]
- Forsthuber, B.; Schaller, C.; Grüll, G. Evaluation of the photo stabilising efficiency of clear coatings comprising organic UV absorbers and mineral UV screeners on wood surfaces. Wood Sci. Technol. 2013, 2, 281–297. [Google Scholar] [CrossRef]
- Wang, X.; Liu, S.; Chang, H.; Liu, J. Sol-gel deposition of TiO2 nanocoatings on wood surfaces with enhanced hydrophobicity and photostability. Wood Fiber Sci. 2014, 46, 109–117. [Google Scholar]
- Sandberg, D. Additives in Wood Products—Today and Future Development. In Environmental Impacts of Traditional and Innovative Forest-Based Bioproducts, Environmental Footprints and Eco-Design of Products and Processes; Springer Science + Business Media Singapore: Singapore, 2016; pp. 105–172. [Google Scholar] [CrossRef]
- Reinprecht, L. Wood Deterioration, Protection and Maintenance, 1st ed.; John Wiley & Sons: Hoboken, NJ, USA, 2016; p. 376. [Google Scholar]
- Verdier, T.; Coutand, M.; Bertron, A.; Roques, C. Antibacterial Activity of TiO2 photocatalyst alone or in coatings on E. coli: The influence of methodological aspects. Coatings 2014, 4, 670–686. [Google Scholar] [CrossRef]
- Guo, H.; Michen, B.; Burgert, I. Real test-bed studies at the ETH House of Natural Resources–wood surface protection for outdoor applications. Inf. Constr. 2017, 69, 9. [Google Scholar] [CrossRef]
- Salem, M.Z.M.; Mansour, M.M.A.; Mohamed, W.S.; Ali, H.M.; Hatamleh, A.A. Evaluation of the antifungal activity of treated Acacia saligna wood with Paraloid B-72/TiO2 nanocomposites against the growth of Alternaria tenuissima, Trichoderma harzianum and Fusarium culmorum. BioResources 2017, 12, 7615–7627. [Google Scholar] [CrossRef]
- Singh, T.; Singh, A.P. A review on natural products as wood protectant. Wood Sci. Technol. 2012, 46, 851–870. [Google Scholar] [CrossRef]
- Arora, D.S.; Ohlan, D. In vitro studies on antifungal activity of tea (Camellia sinensis) and coffee (Coffea arabica) against wood-rotting fungi. J. Basic Microbiol. 1997, 37, 159–165. [Google Scholar] [CrossRef]
- Kwaśniewska-Sip, P.; Cofta, G.; Nowak, P.B. Resistance of fungal growth on Scots pine treated with caffeine. Int. Biodeterior. Biodegrad. 2018, 132, 178–184. [Google Scholar] [CrossRef]
- Kobetičová, K.; Nábělková, J.; Ďurišová, K.; Šimůnková, K.; Černý, R. Antifungal activity of methylxanthines based on their properties. BioResources 2020, 15, 8110–8120. [Google Scholar] [CrossRef]
- Broda, M.; Mazela, B.; Frankowski, M. Durability of wood treated with AATMOS and caffeine—Towards the long-term carbon storage. Maderas Cienc. Tecnol. 2018, 20, 455–468. [Google Scholar] [CrossRef]
- Moya, R.; Rodríguez-Zuniga, A.; Vega-Baudrit, J.; Puente-Urbina, A. Effects of adding TiO2 nanoparticles to a water-based varnish for wood applied to nine tropical woods of Costa Rica exposed to natural and accelerated weathering. J. Coat. Technol. Res. 2016, 14, 141–152. [Google Scholar] [CrossRef]
- Pánek, M.; Hýsek, Š.; Dvořák, O.; Zeidler, A.; Oberhofnerová, E.; Šimůnková, K.; Šedivka, P. Durability of the exterior transparent coatings on nano-photostabilized English oak wood and possibility of its prediction before artificial accelerated weathering. Nanomaterials 2019, 9, 1568. [Google Scholar] [CrossRef] [PubMed]
- EN 335:2013 Durability of Wood and Wood-Based Products—Use Classes: Definitions, Application to Solid Wood and Wood-Based Products; European Committee for Standardization: Brussels, Belgium, 2013.
- EN 350:2016 Durability of Wood and Wood-Based Products—Testing and Classification of the Durability to Biological Agents of Wood and Wood-Based Materials; European Committee for Standardization: Brussels, Belgium, 2016.
- Pánek, M.; Reinprecht, L. Colour stability and surface defects of naturally aged wood treated with transparent paints for exterior constructions. Wood Res. 2014, 59, 421–430. [Google Scholar]
- Reinprecht, L.; Pánek, M. Effects of wood roughness, light pigments, and water repellent on the color stability of painted spruce subjected to natural and accelerated weathering. BioResources 2015, 10, 7203–7219. [Google Scholar] [CrossRef]
- Gejdoš, M.; Lieskovský, M.; Potkány, M.; Nozdrovický, L. The future perspectives of spruce and fir wood use in selected countries of the Central Europe for wooden constructions. In Increasing the Use of Wood in the Global Bio-Economy 2018; Proceeding paper; University of Belgrade: Belgrade, Serbia; WoodEMA: Zagreb, Croatia, 2018; pp. 160–167. [Google Scholar]
- Burri, S.; Haeler, E.; Eugster, W.; Haeni, M.; Etzold, S.; Walthert, L.; Braun, S.; Zweifel, R. How did Swiss forest trees respond to the hot summer 2015? Erde 2019, 150, 214–229. [Google Scholar] [CrossRef]
- EN 927-6:2008 Paints and Varnishes. Coating Materials and Coating Systems for Exterior Wood. Exposure of Wood Coatings to Artificial Weathering Using Fluorescent UV Lamps and Water; European Committee for Standardization: Brussels, Belgium, 2008.
- Stearns, E.I. Colorimetry, 2nd ed.; Commission Internationale de l’Eclairage: Vienna, Austria, 1986; p. 74. [Google Scholar]
- EN ISO 2813:2015 Paints and Varnishes, Determination of Gloss Value at 20°, 60° and 85°; European Committee for Standardization: Brussels, Belgium, 2015.
- ČSN 49 0604:1982 Protection of Wood. In Methods for Determining the Biocidal Properties of Wood Preservatives; Office for Standardization and Measurement: Prague, Czech Republic, 1982.
- Ziglio, A.C.; Sardela, M.R.; Goncalves, D. Wettability, surface free energy and cellulose crystallinity for pine wood (Pinus sp.) modified with chili pepper extracts as natural preservatives. Cellulose 2018, 25, 6151–6160. [Google Scholar] [CrossRef]
- Bulian, F.; Graystone, J. Wood Coatings—Theory and Practice; Elsevier Science: Amsterdam, The Netherlands, 2009; p. 320. ISBN 978-0444528407. [Google Scholar]
- de Meier, M. A Review of Interfacial Aspects in Wood Coatings: Wetting, Surface Energy, Substrate Penetration and Adhesion. COST E18 Final Seminar 2005 16pp. Available online: https://www.researchgate.net/publication/260601859 (accessed on 9 March 2014).
- Šimůnková, K.; Reinprecht, L.; Nábělková, J.; Kindl, J.; Borůvka, V.; Šobotník, J.; Lišková, T.; Pánek, M. Caffeine—Perspective natural biocide for wood protection in interiors against decaying fungi and termites. 2020. Prepared for publication. [Google Scholar]
- Šimůnková, K.; Zeidler, A.; Schönfelder, O.; Pánek, M. Impact of modification by caffeine on some surface properties of beech wood. In Proceedings of the 9th Hardwood Conference, Sopron, Hungary, 21–22 October 2020; (moved due to pandemic to 2021). 4p. [Google Scholar]
- Volkmer, T.; Noël, M.; Arnold, M.; Strautmann, J. Analysis of lignin degradation on wood surfaces to create a UV-protecting cellulose rich layer. Int.. Wood Prod. J. 2016, 7, 156–164. [Google Scholar] [CrossRef]
- Müller, U.; Ratzsch, M.; Schwanninger, M.; Steiner, M.; Zobl, H. Yellowing and IR-changes of spruce wood as result of UV-irradiation. J. Photochem. Photobiol. B Biol. 2003, 69, 97–105. [Google Scholar] [CrossRef]
- Sudiyani, Y. Chemical characteristics of surfaces of hardwood and softwood deteriorated by weathering. J. Wood Sci. 1999, 45, 348–353. [Google Scholar] [CrossRef]
- Pánek, M.; Oberhofnerová, E.; Hýsek, Š.; Šedivka, P.; Zeidler, A. Colour stabilization of oak, spruce, larch and Douglas fir heartwood treated with mixtures of nanoparticles dispersions and UV-stabilizers after exposure to UV and VIS-radiation. Materials 2018, 11, 1653. [Google Scholar] [CrossRef] [PubMed]
- Ghosh, M.; Gupta, S.; Kumar, V.S.K. Studies on the loss of gloss of shellac and polyurethane finishes exposed to UV. Maderas Cienc. Technol. 2015, 17, 39–44. [Google Scholar] [CrossRef]
- Pánek, M.; Oberhofnerová, E.; Zeidler, A.; Šedivka, P. Efficacy of hydrophobic coatings in protecting oak wood surfaces during accelerated weathering. Coatings 2017, 7, 172. [Google Scholar] [CrossRef]
- Lie, S.K.; Thiis, T.K.; Vestol, G.I.; Hoibo, O.; Gobakken, L.R. Can existing mould growth models be used to predict mould growth on wooden claddings exposed to transient wetting? Build. Environ. 2019, 152, 192–203. [Google Scholar] [CrossRef]
- Wasserbauer, R. Microbial biodeterioration of electrotechnical insulation materials. Int. Biodeterior. Biodegrad. 2004, 53, 171–176. [Google Scholar] [CrossRef]
- Kwaśniewska-Sip, P.; Bartkowiak, M.; Cofta, G.; Nowak, P.B. Resistance of scots pine (Pinus sylvestris L.) after treatment with caffeine and thermal modification against Aspergillus niger. BioResources 2019, 14, 1890–1898. [Google Scholar] [CrossRef]
- Fonseca, C.; Ochoa, A.; Ulloa, M.T.; Alvarez, E.; Canales, D.; Zapata, P.A. Poly(lactic acid)/TiO2 nanocomposites as alternative biocidal and antifungal materials. Mat. Sci. Eng. C-Biomim. 2015, 57, 314–320. [Google Scholar] [CrossRef]
- Požgaj, A.; Chovanec, D.; Kurjatko, S.; Babiak, M. Štruktúra a Vlastnosti Dreva. (Structure and Properties of Wood), 1st ed.; Príroda a.s.: Bratislava, Slovakia, 1993; p. 485. [Google Scholar]






| Types of Samples | Solution of FN-NANO® Dispersion (Concentration) | Caffeine Solution (Concentration) | Acrylic Coating (AC) | Oil-Based Coating (OL) |
|---|---|---|---|---|
| R-R | – | – | – | – |
| R-A | – | – | 2 layers | – |
| 1-A | 10% | – | 2 layers | – |
| 2-A | 15% | – | 2 layers | – |
| 3-A | 10% | 1% | 2 layers | – |
| 4-A | 15% | 1% | 2 layers | – |
| 5-A | – | 2% | 2 layers | – |
| R-O | – | – | – | 2 layers |
| 1-O | 10% | – | – | 2 layers |
| 2-O | 15% | – | – | 2 layers |
| 3-O | 10% | 1% | – | 2 layers |
| 4-O | 15% | 1% | – | 2 layers |
| 5-O | – | 2% | – | 2 layers |
| Beech | Degree of Moulds Growth (% of Surface Covered by Moulds in Parenthesis) | Spruce | Degree of Moulds Growth (% of Surface Covered by Moulds in Parenthesis) | ||||||
|---|---|---|---|---|---|---|---|---|---|
| Time of Moulds Exposure | Time of Moulds Exposure | ||||||||
| 1 week | 2 weeks | 3 weeks | 4 weeks | 1 week | 2 weeks | 3 weeks | 4 weeks | ||
| B-R-R-R | 0 (0) | 4 (80) | 4 (90) | 4 (90) | S-R-R-R | 0 (0) | 3 (50) | 4 (65) | 4 (60) |
| B-R-R-W | 0 (0) | 3 (50) | 4 (60) | 4 (75) | S-R-R-W | 0 (0) | 3 (50) | 4 (60) | 4 (90) |
| B-R-A-R | 0 (0) | 3 (50) | 3 (50) | 4 (75) | S-R-A-R | 0 (0) | 3 (40) | 4 (55) | 4 (65) |
| B-R-A-W | 0 (0) | 4 (75) | 4 (75) | 4 (75) | S-R-A-W | 0 (0) | 4 (75) | 4 (80) | 4 (95) |
| B-5-A-R | 0 (0) | 1 (5) | 1 (5) | 2 (10) | S-5-A-R | 0 (0) | 0 (0) | 0 (0) | 1 (5) |
| B-5-A-W | 0 (0) | 0 (0) | 0 (0) | 2 (25) | S-5-A-W | 0 (0) | 0 (0) | 0 (0) | 0 (0) |
| B-4-A-R | 0 (0) | 0 (0) | 0 (0) | 2 (25) | S-4-A-R | 0 (0) | 0 (0) | 0 (0) | 2 (10) |
| B-4-A-W | 0 (0) | 0 (0) | 0 (0) | 1 (5) | S-4-A-W | 0 (0) | 0 (0) | 0 (0) | 1 (1) |
| B-3-A-R | 0 (0) | 4 (75) | 4 (85) | 4 (100) | S-3-A-R | 0 (0) | 0 (0) | 0 (0) | 2 (10) |
| B-3-A-W | 0 (0) | 0 (0) | 0 (0) | 2 (25) | S-3-A-W | 0 (0) | 0 (0) | 0 (0) | 1 (1) |
| B-2-A-R | 0 (0) | 4 (75) | 4 (75) | 4 (100) | S-2-A-R | 0 (0) | 0 (0) | 0 (0) | 3 (35) |
| B-2-A-W | 0 (0) | 0 (0) | 0 (0) | 1 (5) | S-2-A-W | 0 (0) | 0 (0) | 0 (0) | 1 (1) |
| B-1-A-R | 0 (0) | 4 (75) | 4 (75) | 4 (100) | S-1-A-R | 0 (0) | 0 (0) | 0 (0) | 1 (5) |
| B-1-A-W | 0 (0) | 0 (0) | 0 (0) | 2 (25) | S-1-A-W | 0 (0) | 1 (5) | 1 (5) | 1 (5) |
Publisher’s Note: MDPI stays neutral with regard to jurisdictional claims in published maps and institutional affiliations. |
© 2020 by the authors. Licensee MDPI, Basel, Switzerland. This article is an open access article distributed under the terms and conditions of the Creative Commons Attribution (CC BY) license (http://creativecommons.org/licenses/by/4.0/).
Share and Cite
Pánek, M.; Šimůnková, K.; Novák, D.; Dvořák, O.; Schönfelder, O.; Šedivka, P.; Kobetičová, K. Caffeine and TiO2 Nanoparticles Treatment of Spruce and Beech Wood for Increasing Transparent Coating Resistance against UV-Radiation and Mould Attacks. Coatings 2020, 10, 1141. https://doi.org/10.3390/coatings10121141
Pánek M, Šimůnková K, Novák D, Dvořák O, Schönfelder O, Šedivka P, Kobetičová K. Caffeine and TiO2 Nanoparticles Treatment of Spruce and Beech Wood for Increasing Transparent Coating Resistance against UV-Radiation and Mould Attacks. Coatings. 2020; 10(12):1141. https://doi.org/10.3390/coatings10121141
Chicago/Turabian StylePánek, Miloš, Kristýna Šimůnková, David Novák, Ondřej Dvořák, Ondřej Schönfelder, Přemysl Šedivka, and Klára Kobetičová. 2020. "Caffeine and TiO2 Nanoparticles Treatment of Spruce and Beech Wood for Increasing Transparent Coating Resistance against UV-Radiation and Mould Attacks" Coatings 10, no. 12: 1141. https://doi.org/10.3390/coatings10121141
APA StylePánek, M., Šimůnková, K., Novák, D., Dvořák, O., Schönfelder, O., Šedivka, P., & Kobetičová, K. (2020). Caffeine and TiO2 Nanoparticles Treatment of Spruce and Beech Wood for Increasing Transparent Coating Resistance against UV-Radiation and Mould Attacks. Coatings, 10(12), 1141. https://doi.org/10.3390/coatings10121141

