Survival of Bacterial Strains on Wood (Quercus petraea) Compared to Polycarbonate, Aluminum and Stainless Steel
Abstract
1. Introduction
2. Material and Methods
2.1. Material Preparation
2.2. Bacterial Strains
2.3. Survival Assay
2.4. Determination of the Viable Bacteria Counts
2.5. Statistical Analysis
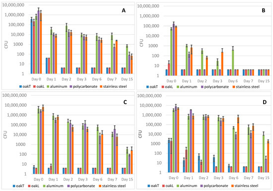
3. Results
4. Discussion and Conclusions
Author Contributions
Funding
Conflicts of Interest
References
- Cassini, A.; Plachouras, D.; Eckmanns, T.; Sin, M.A.; Blank, H.-P.; Ducomble, T.; Haller, S.; Harder, T.; Klingeberg, A.; Sixtensson, M.; et al. Burden of Six Healthcare-Associated Infections on European Population Health: Estimating Incidence-Based Disability-Adjusted Life Years through a Population Prevalence-Based Modelling Study. PLoS Med. 2016, 13, e1002150. [Google Scholar] [CrossRef] [PubMed]
- Suetens, C.; Latour, K.; Kärki, T.; Ricchizzi, E.; Kinross, P.; Moro, M.L.; Jans, B.; Hopkins, S.; Hansen, S.; Lyytikäinen, O.; et al. Prevalence of healthcare-associated infections, estimated incidence and composite antimicrobial resistance index in acute care hospitals and long-term care facilities: Results from two European point prevalence surveys, 2016 to 2017. Eurosurveillance 2018, 23, 1800516. [Google Scholar] [CrossRef] [PubMed]
- Kramer, A.; Schwebke, I.; Kampf, G. How long do nosocomial pathogens persist on inanimate surfaces? A systematic review. BMC Infect. Dis. 2006, 6, 130. [Google Scholar] [CrossRef] [PubMed]
- Jawad, A.; Seifert, H.; Snelling, A.M.; Heritage, J.; Hawkey, P.M. Survival of Acinetobacter baumannii on dry surfaces: Comparison of outbreak and sporadic isolates. J. Clin. Microbiol. 1998, 36, 1938–1941. [Google Scholar] [CrossRef] [PubMed]
- Weber, D.J.; Anderson, D.; Rutala, W.A. The role of the surface environment in healthcare-associated infections. Curr. Opin. Infect. Dis. 2013, 26, 338–344. [Google Scholar] [CrossRef] [PubMed]
- Burnard, M.D.; Kutnar, A. Wood and human stress in the built indoor environment: A review. Wood Sci. Technol. 2015, 49, 969–986. [Google Scholar] [CrossRef]
- Kotradyova, V.; Vavrinsky, E.; Kalinakova, B.; Petro, D.; Jansakova, K.; Boles, M.; Svobodova, H. Wood and Its Impact on Humans and Environment Quality in Health Care Facilities. Int. J. Environ. Res. Public Health. 2019, 16, 3496. [Google Scholar] [CrossRef] [PubMed]
- Bahar, Z.; Ghotaslou, R.; Taheri, S. In vitro anti-biofilm activity of Quercus brantii subsp. persica on human pathogenic bacteria. Res. J. Pharmacogn. 2017, 4, 67–73. [Google Scholar]
- Munir, M.T.; Pailhories, H.; Eveillard, M.; Irle, M.; Aviat, F.; Federighi, M.; Belloncle, C. Experimental Parameters Influence the Observed Antimicrobial Response of Oak Wood (Quercus petraea). Antibiotics 2020, 9, 535. [Google Scholar] [CrossRef] [PubMed]
- Pailhoriès, H.; Munir, M.T.; Aviat, F.; Federighi, M.; Belloncle, C.; Eveillard, M. Oak in Hospitals, the Worst Enemy of Staphylococcus aureus? Infect. Control Hosp. Epidemiol. 2017, 38, 382–384. [Google Scholar] [CrossRef] [PubMed]
- Safary, A.; Motamedi, H.; Maleki, S.; Seyyednejad, S.M. A Preliminary Study on the Antibacterial Activity of Quercus brantii Against Bacterial Pathogens, Particularly Enteric Pathogens. Int. J. Bot. 2009, 5, 176–180. [Google Scholar] [CrossRef]
- Munir, M.T.; Aviat, F.; Pailhories, H.; Eveillard, M.; Irle, M.; Federighi, M.; Belloncle, C. Direct screening method to assess antimicrobial behavior of untreated wood. Eur. J. Wood Wood Prod. 2019, 77, 319–322. [Google Scholar] [CrossRef]
- Munir, M.T.; Pailhories, H.; Eveillard, M.; Aviat, F.; Lepelletier, D.; Belloncle, C.; Federighi, M. Antimicrobial Characteristics of Untreated Wood: Towards a Hygienic Environment. Health 2019, 11, 152–170. [Google Scholar] [CrossRef][Green Version]
- Basri, D.F.; Fan, S.H. The potential of aqueous and acetone extracts of galls of Quercus infectoria as antibacterial agents. Indian J. Pharmacol. 2005, 37, 26. [Google Scholar] [CrossRef]
- Omar, S.; Lemonnier, B.; Jones, N.; Ficker, C.; Smith, M.L.; Neema, C.; Towers, G.H.N.; Goel, K.; Arnason, J.T. Antimicrobial activity of extracts of eastern North American hardwood trees and relation to traditional medicine. J. Ethnopharmacol. 2000, 73, 161–170. [Google Scholar] [CrossRef]
- Milling, A.; Kehr, R.; Wulf, A.; Smalla, K. Survival of bacteria on wood and plastic particles: Dependence on wood species and environmental conditions. Holzforschung 2005, 59, 72–81. [Google Scholar] [CrossRef]
- Ismail, R.; Bayon, I.L.; Michel, V.; Jequel, M.; Kutnik, M.; Aviat, F.; Federighi, M. Comparative study of three methods for recovering microorganisms from wooden surfaces in the food industry. Food Anal. Methods 2015, 8, 1238–1247. [Google Scholar] [CrossRef]
- Vainio-Kaila, T.; Kyyhkynen, A.; Viitaniemi, P.; Siitonen, A. Pine heartwood and glass surfaces: Easy method to test the fate of bacterial contamination. Eur. J. Wood Wood Prod. 2010, 69, 391–395. [Google Scholar] [CrossRef]


| Bacteria | Material | Initial Suspension (CFU/20 μL) | Day 0 (CFU) | Day 1 (CFU) | Day 2 (CFU) | Day 3 (CFU) | Day 6 (CFU) | Day 7 (CFU) | Day 15 (CFU) |
|---|---|---|---|---|---|---|---|---|---|
| Klebsiella pneumoniae ATCC 700603 | Oak T | 1.6 × 107 | 3.8 × 105 | 4.0 × 101 | ≤4 | ≤4 | ≤4 | ≤4 | ≤4 |
| Oak L | 2.2 × 105 | 4.0 × 101 | ≤4 | ≤4 | ≤4 | ≤4 | ≤4 | ||
| Aluminum | 7.5 × 105 | 3.2 × 104 | 7.7 × 104 | 9.8 × 103 | 7.5 ×103 | 8.6 × 103 | 7.1 × 102 | ||
| Polycarbonate | 2.5 × 106 | 1.1 × 104 | 1.8 × 104 | 6.4 × 103 | 2.5 × 103 | 4.8 × 102 | 7.6 × 101 | ||
| Stainless steel | 1.5 × 106 | 8 × 103 | 1.7 × 104 | 5.7 × 103 | 2.9 × 103 | 2.4 × 103 | 6.8 × 101 | ||
| Staphylococcus aureus KSKS7326 | Oak T | 2.4 × 107 | 2.5 × 103 | 8 | 5.4 × 101 | 3.8 × 101 | 5 | ≤4 | ≤4 |
| Oak L | 2.9 × 103 | 2.3 × 102 | 1.3 × 101 | ≤4 | ≤4 | ≤4 | ≤4 | ||
| Aluminum | 3.4 × 106 | 7.7 × 105 | 6.7 × 105 | 5.8 × 105 | 4.8 × 104 | 5.1 × 104 | 7.6 × 103 | ||
| Polycarbonate | 7.9 × 106 | 3.5 × 106 | 7.2 × 105 | 2.7 × 105 | 9.8 × 103 | 1.4 × 104 | 2.4 × 101 | ||
| Stainless steel | 4.9 × 106 | 8.5 × 105 | 7.4 × 105 | 4.6 × 105 | 5.6 × 105 | 7.4 × 104 | 1.9 × 103 | ||
| Acinetobacter baumannii ATCC 19606 | Oak T | 1.4 × 106 | ≤4 | ≤4 | ≤4 | ≤4 | ≤4 | ≤4 | ≤4 |
| Oak L | 1.6 × 101 | ≤4 | ≤4 | ≤4 | ≤4 | ≤4 | ≤4 | ||
| Aluminum | 5.3 × 104 | 1.1 × 103 | 3.4 × 102 | 3.0 × 101 | 3.7 × 102 | ≤4 | ≤4 | ||
| Polycarbonate | 1.6 × 105 | 1.5 × 102 | ≤4 | ≤4 | ≤4 | ≤4 | ≤4 | ||
| Stainless steel | 7.8 × 104 | 9.1 × 102 | 6.0 × 101 | 3.4 × 102 | ≤4 | ≤4 | ≤4 | ||
| Enterococcus faecalis ATCC 51299 | Oak T | 2.1 × 107 | 5 | ≤4 | ≤4 | ≤4 | ≤4 | ≤4 | ≤4 |
| Oak L | ≤4 | 6 | ≤4 | ≤4 | ≤4 | ≤4 | ≤4 | ||
| Aluminum | 4.5 × 106 | 8.6 × 105 | 1.8 × 105 | 8.4 × 104 | 6.2 × 104 | 1.2 × 104 | 3.3 × 102 | ||
| Polycarbonate | 2.7 × 106 | 3.3 × 105 | 1.3 × 105 | 1.3 × 105 | 7.8 × 103 | 3.5 × 104 | 4.6 × 102 | ||
| Stainless steel | 6.5 × 106 | 6.5 × 105 | 5.9 × 104 | 3.9 × 104 | 1.1 × 104 | 6.2 × 103 | 2.6 × 102 |
Publisher’s Note: MDPI stays neutral with regard to jurisdictional claims in published maps and institutional affiliations. |
© 2020 by the authors. Licensee MDPI, Basel, Switzerland. This article is an open access article distributed under the terms and conditions of the Creative Commons Attribution (CC BY) license (http://creativecommons.org/licenses/by/4.0/).
Share and Cite
Chen, J.-C.; Munir, M.T.; Aviat, F.; Lepelletier, D.; Le Pape, P.; Dubreil, L.; Irle, M.; Federighi, M.; Belloncle, C.; Eveillard, M.; et al. Survival of Bacterial Strains on Wood (Quercus petraea) Compared to Polycarbonate, Aluminum and Stainless Steel. Antibiotics 2020, 9, 804. https://doi.org/10.3390/antibiotics9110804
Chen J-C, Munir MT, Aviat F, Lepelletier D, Le Pape P, Dubreil L, Irle M, Federighi M, Belloncle C, Eveillard M, et al. Survival of Bacterial Strains on Wood (Quercus petraea) Compared to Polycarbonate, Aluminum and Stainless Steel. Antibiotics. 2020; 9(11):804. https://doi.org/10.3390/antibiotics9110804
Chicago/Turabian StyleChen, Ju-Chi, Muhammad Tanveer Munir, Florence Aviat, Didier Lepelletier, Patrice Le Pape, Laurence Dubreil, Mark Irle, Michel Federighi, Christophe Belloncle, Matthieu Eveillard, and et al. 2020. "Survival of Bacterial Strains on Wood (Quercus petraea) Compared to Polycarbonate, Aluminum and Stainless Steel" Antibiotics 9, no. 11: 804. https://doi.org/10.3390/antibiotics9110804
APA StyleChen, J.-C., Munir, M. T., Aviat, F., Lepelletier, D., Le Pape, P., Dubreil, L., Irle, M., Federighi, M., Belloncle, C., Eveillard, M., & Pailhoriès, H. (2020). Survival of Bacterial Strains on Wood (Quercus petraea) Compared to Polycarbonate, Aluminum and Stainless Steel. Antibiotics, 9(11), 804. https://doi.org/10.3390/antibiotics9110804

