Antibacterial Performance of Terpenoids from the Australian Plant Eremophila lucida
Abstract
1. Introduction
2. Experimental Section
2.1. Methods and Instruments
2.2. Plant Material
2.3. Extraction and Isolation
2.4. Antibacterial Assays
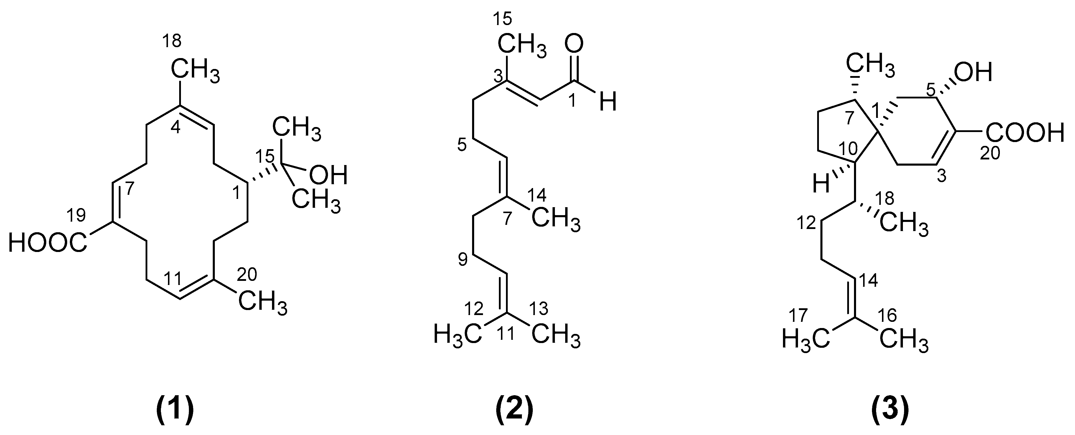
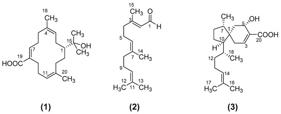
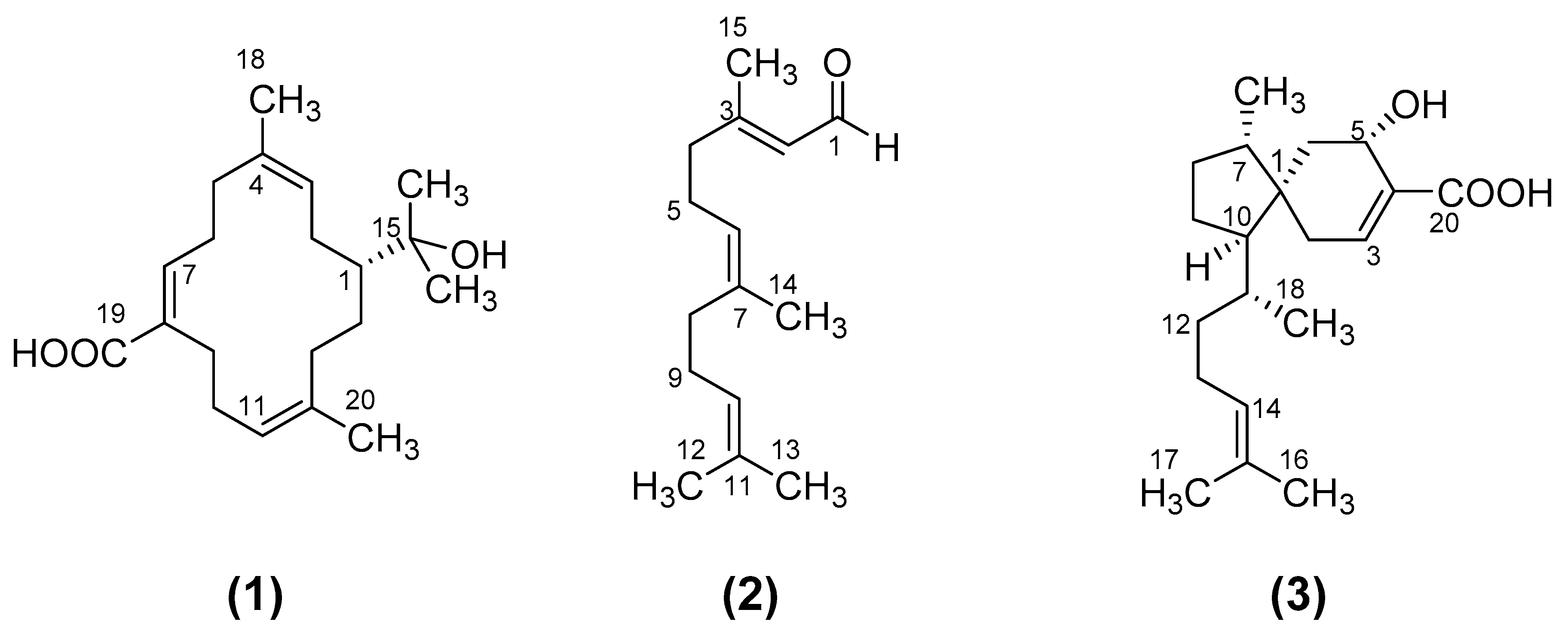
3. Results
4. Discussion
5. Conclusions
Supplementary Materials
Author Contributions
Funding
Acknowledgments
Conflicts of Interest
References
- Chinnock, R.J. Eremophila and Allied Genera: A Monograph of the Plant Family Myoporaceae; Rosenberg Publishing: Dural, Australia, 2007. [Google Scholar]
- Singab, A.N.; Youssef, F.S.; Ashour, M.L.; Wink, M. The genus Eremophila (Scrophulariaceae): An ethnobotanical, biological and phytochemical review. J. Pharm. Pharmacol. 2013, 65, 1239–1279. [Google Scholar] [CrossRef] [PubMed]
- Ghisalberti, E. The ethnopharmacology and phytochemistry of Eremophila species (Myoporaceae). J. Ethnopharmacol. 1994, 44, 1–9. [Google Scholar] [CrossRef]
- Ghisalberti, E.L. The chemistry of unusual terpenoids from the genus Eremophila. In Studies in Natural Products Chemistry; Elsevier: Amsterdam, The Netherlands, 1995; Volume 15, pp. 225–287. [Google Scholar]
- Richmond, G.; Ghisalberti, E. The Australian desert shrub Eremophila (Myoporaceae): Medicinal, cultural, horticultural and phytochemical uses. Econ. Bot. 1994, 48, 35–59. [Google Scholar] [CrossRef]
- Barnes, E.C.; Kavanagh, A.M.; Ramu, S.; Blaskovich, M.A.; Cooper, M.A.; Davis, R.A. Antibacterial serrulatane diterpenes from the Australian native plant Eremophila microtheca. Phytochemistry 2013, 93, 162–169. [Google Scholar] [CrossRef]
- Galappathie, S.; Edwards, D.J.; Elliott, A.G.; Cooper, M.A.; Palombo, E.A.; Butler, M.S.; Mahon, P.J. Antibacterial nerol cinnamates from the Australian plant Eremophila longifolia. J. Nat. Prod. 2017, 80, 1178–1181. [Google Scholar] [CrossRef]
- Mon, H.H.; Christo, S.N.; Ndi, C.P.; Jasieniak, M.; Rickard, H.; Hayball, J.D.; Griesser, H.J.; Semple, S.J. Serrulatane Diterpenoid from Eremophila neglecta Exhibits Bacterial Biofilm Dispersion and Inhibits Release of Pro-inflammatory Cytokines from Activated Macrophages. J. Nat. Prod. 2015, 78, 3031–3040. [Google Scholar] [CrossRef]
- Anakok, O.F.; Ndi, C.P.; Barton, M.D.; Griesser, H.J.; Semple, S.J. Antibacterial spectrum and cytotoxic activities of serrulatane compounds from the Australian medicinal plant Eremophila neglecta. J. Appl. Microbiol. 2012, 112, 197–204. [Google Scholar] [CrossRef] [PubMed]
- Lyddiard, D.; Greatrex, B.W. Serrulatic acid diastereomers identified from an antibacterial survey of Eremophila. Fitoterapia 2018, 126, 29–34. [Google Scholar] [CrossRef]
- Ndi, C.P.; Semple, S.J.; Griesser, H.J.; Pyke, S.M.; Barton, M.D. Antimicrobial compounds from Eremophila serrulata. Phytochemistry 2007, 68, 2684–2690. [Google Scholar] [CrossRef]
- Ndi, C.P.; Semple, S.J.; Griesser, H.J.; Barton, M.D. Antimicrobial activity of some Australian plant species from the genus Eremophila. J. Basic Microbiol. 2007, 47, 158–164. [Google Scholar] [CrossRef] [PubMed]
- Ndi, C.P.; Semple, S.J.; Griesser, H.J.; Pyke, S.M.; Barton, M.D. Antimicrobial Compounds from the Australian Desert Plant Eremophila neglecta. J. Nat. Prod. 2007, 70, 1439–1443. [Google Scholar] [CrossRef] [PubMed]
- Biva, I.J.; Ndi, C.P.; Griesser, H.J.; Semple, S.J. Antibacterial constituents of Eremophila alternifolia: An Australian aboriginal traditional medicinal plant. J. Ethnopharmacol. 2016, 182, 1–9. [Google Scholar] [CrossRef] [PubMed]
- Tahtah, Y.; Wubshet, S.G.; Kongstad, K.T.; Heskes, A.M.; Pateraki, I.; Møller, B.L.; Jäger, A.K.; Staerk, D. High-resolution PTP1B inhibition profiling combined with high-performance liquid chromatography-high-resolution mass spectrometry-solid-phase extraction-nuclear magnetic resonance spectroscopy: Proof-of-concept and antidiabetic constituents in crude extract of Eremophila lucida. Fitoterapia 2016, 110, 52–58. [Google Scholar] [PubMed]
- Ghisalberti, E.; Jefferies, P.; Mori, T. The Chemistry of Eremophila Spp. XXV. New Cembrene Derivatives from E. dempsteri, E. platycalyx and E. fraseri. Aust. J. Chem. 1986, 39, 1703–1710. [Google Scholar] [CrossRef]
- Leal, W.S.; Kuwahara, Y.; Suzuki, T.; Kurosa, K. The alarm pheromone of the mite Suidasia medanensis Oudemans, 1924 (Acariformes, Suidasiidae). Agric. Biol. Chem. 1989, 53, 2703–2709. [Google Scholar]
- Ghisalberti, E.L.; Hocart, C.H.; Jefferies, P.R.; Proudfoot, G.M.; Skelton, B.W.; White, A.H. The chemistry of Eremophila spp. XVIII. A new class of diterpenes from Eremophila viscida. Aust. J. Chem. 1983, 36, 993–1000. [Google Scholar] [CrossRef]
- Ghisalberti, E.L.; Jefferies, P.; Mori, T. The chemistry of Eremophila spp. XX. The absolute stereochemistry of the viscidane diterpenes. Aust. J. Chem. 1984, 37, 635–647. [Google Scholar] [CrossRef]
- Forster, P.; Ghisalberti, E.; Jefferies, P. Viscidane diterpenes from Eremophila species. Phytochemistry 1993, 32, 1225–1228. [Google Scholar] [CrossRef]
- Ghisalberti, E. The phytochemistry of the Myoporaceae. Phytochemistry 1993, 35, 7–33. [Google Scholar] [CrossRef]
- Brophy, J.J.; Goldsack, R.J.; Bean, A.R.; Forster, P.I.; Lepschi, B.J. Leaf essential oils of the genus Leptospermum (Myrtaceae) in Eastern Australia. Part 5. Leptospermum continentale and allies. Flavour Fragr. J. 1999, 14, 98–104. [Google Scholar] [CrossRef]
- Nagaki, M.; Narita, T.; Ichikawa, H.; Kawakami, J.; Nakane, A. Antibacterial and antifungal activities of isoprenoids. TMRSJ 2011, 36, 55–58. [Google Scholar] [CrossRef]
- Gomes, F.; Teixeira, P.; Cerca, N.; Azeredo, J.; Oliveira, R. Effect of farnesol on structure and composition of Staphylococcus epidermidis biofilm matrix. Curr. Microbiol. 2011, 63, 354–359. [Google Scholar] [CrossRef] [PubMed]
- Jabra-Rizk, M.A.; Meiller, T.F.; James, C.E.; Shirtliff, M.E. Effect of farnesol on Staphylococcus aureus biofilm formation and antimicrobial susceptibility. Antimicrob. Agents Chemother. 2006, 50, 1463–1469. [Google Scholar] [CrossRef] [PubMed]
- Liu, Q.; Harrington, D.; Kohen, J.L.; Vemulpad, S.; Jamie, J.F. Bactericidal and cyclooxygenase inhibitory diterpenes from Eremophila sturtii. Phytochemistry 2006, 67, 1256–1261. [Google Scholar] [CrossRef] [PubMed]
- Nowakowska, J.; Griesser, H.J.; Textor, M.; Landmann, R.; Khanna, N. Antimicrobial properties of 8-hydroxyserrulat-14-en-19-oic acid for treatment of implant-associated infections. Antimicrob. Agents Chemother. 2013, 57, 333–342. [Google Scholar] [CrossRef]
- Yang, B.; Zhou, X.-F.; Lin, X.-P.; Liu, J.; Peng, Y.; Yang, X.-W.; Liu, Y. Cembrane diterpenes chemistry and biological properties. Curr. Org. Chem. 2012, 16, 1512–1539. [Google Scholar] [CrossRef]
- Ishii, T.; Zhaoqi, Z.; Vairappan, C.S. A new cembrane diterpene from the Bornean soft coral Nephthea sp. Molecules 2010, 15, 3857–3862. [Google Scholar] [CrossRef]
- Lin, Y.-S.; Lee, N.L.; Lu, M.C.; Su, J.H. Two new cembrane-based diterpenoids from the marine soft coral Sinularia crassa. Molecules 2012, 17, 5422–5429. [Google Scholar] [CrossRef]

© 2019 by the authors. Licensee MDPI, Basel, Switzerland. This article is an open access article distributed under the terms and conditions of the Creative Commons Attribution (CC BY) license (http://creativecommons.org/licenses/by/4.0/).
Share and Cite
Biva, I.J.; Ndi, C.P.; Semple, S.J.; Griesser, H.J. Antibacterial Performance of Terpenoids from the Australian Plant Eremophila lucida. Antibiotics 2019, 8, 63. https://doi.org/10.3390/antibiotics8020063
Biva IJ, Ndi CP, Semple SJ, Griesser HJ. Antibacterial Performance of Terpenoids from the Australian Plant Eremophila lucida. Antibiotics. 2019; 8(2):63. https://doi.org/10.3390/antibiotics8020063
Chicago/Turabian StyleBiva, Israt J., Chi P. Ndi, Susan J. Semple, and Hans J. Griesser. 2019. "Antibacterial Performance of Terpenoids from the Australian Plant Eremophila lucida" Antibiotics 8, no. 2: 63. https://doi.org/10.3390/antibiotics8020063
APA StyleBiva, I. J., Ndi, C. P., Semple, S. J., & Griesser, H. J. (2019). Antibacterial Performance of Terpenoids from the Australian Plant Eremophila lucida. Antibiotics, 8(2), 63. https://doi.org/10.3390/antibiotics8020063

