Impact of the Transcriptional Regulator SCO7424 Overexpression on Antibiotic Production in Streptomyces coelicolor
Abstract
1. Introduction
2. Results
2.1. Three-Dimensional (3D) Model of the SCO7424 Controller
2.2. Determination of the Putative Promoter Region of SCO7424
2.3. sco7424 and sco7425 Are Co-Transcribed from a Promoter Located Upstream of sco7424
2.4. Determination of the Putative SCO7424 Target Genes
2.5. Characterization of the SCO7424 Overexpressed Mutant (OVE) Strain pIJ702/sco7424
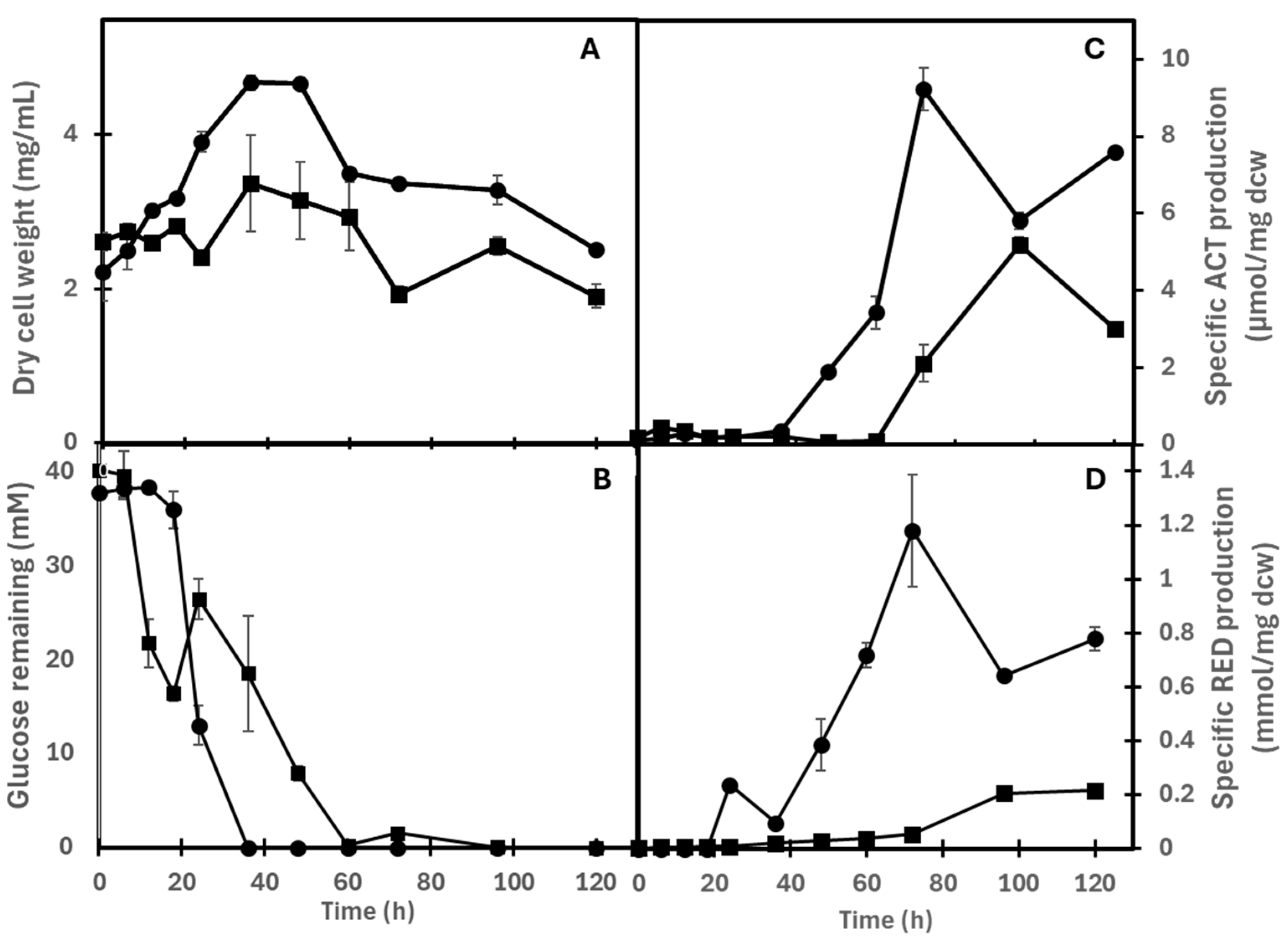
2.5.1. Growth and Glucose Consumption
2.5.2. Production of ACT and RED
2.5.3. Impact of sco7424 Overexpression on Its Transcript Level and on That of sco7423 and sco7425
2.5.4. Impact of sco7424 Overexpression on Transcript Level of Regulatory Genes Belonging to the RED (redD, redL, redZ) and ACT (actII-ORF4) Clusters
3. Discussion
4. Materials and Methods
4.1. Strains, Plasmids, and Growth Conditions
4.2. 3D Model of the SCO7424 Regulator
4.3. Prediction of the DNA Binding Site of SCO7424 and Potential Target Genes
4.4. In Silico Determination of the Promoter Zone of the SCO7424 Regulator
4.5. Operon of the sco7424 and sco7425 Genes
4.6. Determination of Bacterial Growth and Glucose Consumption
4.7. Quantification of ACT and RED
4.8. RNA Isolation
4.9. RT-qPCR
4.10. Statistical Tests
5. Conclusions
Supplementary Materials
Author Contributions
Funding
Institutional Review Board Statement
Informed Consent Statement
Data Availability Statement
Acknowledgments
Conflicts of Interest
Abbreviations
| CCR | Carbon catabolite repression |
| BGCs | Biosynthetic gene clusters |
| ACT | Actinorhodin |
| RED | Undecylprodigiosin |
| CPK | A type I polyketide |
| Glk | Glucokinase |
| 3D | Three-dimensional |
| H2 | Helix 2 |
| OVE | SCO7424 overexpressed mutant |
| WT | Wild-type Streptomyces coelicolor M145 strain |
References
- Law, J.; Tan, K.; Wong, S.; Ab Mutalib, N.; Lee, L.H. Taxonomic and Characterization Methods of Streptomyces: A Review. Prog. Microbes Mol. Biol. 2018, 1, a0000009. [Google Scholar] [CrossRef]
- Ramírez-Rendón, D.; Passari, A.K.; Ruiz-Villafán, B.; Rodríguez-Sanoja, R.; Sánchez, S.; Demain, A.L. Impact of Novel Microbial Secondary Metabolites on the Pharma Industry. Appl. Microbiol. Biotechnol. 2022, 106, 1855–1878. [Google Scholar] [CrossRef]
- Romero-Rodríguez, A.; Maldonado-Carmona, N.; Ruiz-Villafán, B.; Koirala, N.; Rocha, D.; Sánchez, S. The Interplay Between Carbon, Nitrogen and Phosphate Utilization in the Control of Secondary Metabolites Production in Streptomyces Species. Antonie Van Leeuwenhoek 2018, 111, 761–781. [Google Scholar] [CrossRef]
- Ruíz-Villafán, B.; Cruz-Bautista, R.; Manzo-Ruiz, M.; Passari, A.K.; Villarreal-Gómez, K.; Rodríguez-Sanoja, R.; Sánchez, S. Carbon Catabolite Regulation of Secondary Metabolite Formation, an Old But Not Well-Established Regulatory System. Microb. Biotechnol. 2022, 15, 1058–1072. [Google Scholar] [CrossRef] [PubMed]
- Romero-Rodríguez, A.; Rocha, D.; Ruiz-Villafán, B.; Guzmán-Trampe, S.; Maldonado-Carmona, N.; Vázquez-Hernández, M.; Zelarayán A: Rodríguez-Sanoja, R.; Sánchez, S. Carbon Catabolite Regulation in Streptomyces: New Insights and Lessons Learned. World J. Microbiol. Biotechnol. 2017, 33, 162–173. [Google Scholar] [CrossRef]
- Tyagi, S.; Tyagi, V. Impact of Various Carbon and Nitrogen Sources on Growth and Production of Antibacterial Agent by Streptomyces coelicolor. Biochem. Cell. Arch. 2017, 17, 45–47. [Google Scholar]
- Romero-Rodríguez, A.; Rocha, D.; Ruiz-Villafan, B.; Tierrafría, V.; Rodríguez-Sanoja, R.; Segura-González, D.; Sánchez, S. Transcriptomic Analysis of a Classical Model of Carbon Catabolite Regulation in Streptomyces coelicolor. BMC Microbiol. 2016, 16, 77. [Google Scholar] [CrossRef]
- Romero-Rodríguez, A.; Ruiz-Villafán, B.; Tierrafría, V.H.; Rodríguez-Sanoja, R.; Sánchez, S. Carbon Catabolite Regulation of Secondary Metabolite Formation and Morphological Differentiation in Streptomyces coelicolor. Appl. Biochem. Biotechnol. 2016, 180, 1152–1166. [Google Scholar] [CrossRef] [PubMed]
- Kotecka, K.; Kawalek, A.; Kobylecki, K.; Bartosik, A.A. The MarR-Type Regulator PA3458 is Involved in Osmoadaptation Control in Pseudomonas aeruginosa. Int. J. Mol. Sci. 2021, 22, 3982. [Google Scholar] [CrossRef]
- Xu, Z.; Li, Y. A MarR-Family Transcriptional Factor MapR Positively Regulates Actinorhodin Production in Streptomyces coelicolor. FEMS Microbiol. Lett. 2020, 367, fnaa140. [Google Scholar] [CrossRef]
- Perera, I.; Grove, A. Urate Is a Ligand for the Transcriptional Regulator PecS. J. Mol. Biol. 2010, 402, 539–551. [Google Scholar] [CrossRef]
- Deochand, D.K.; Grove, A. MarR Family Transcription Factors: Dynamic Variations on a Common Scaffold. Crit. Rev. Biochem. Mol. Biol. 2017, 52, 595–613. [Google Scholar] [CrossRef] [PubMed]
- Wang, R.; Chen, L.; Zhao, J.; Gao, Y.; Zhou, T.; Ye, J.; Wu, H.; Zhang, H. MarR Family RegulatorLcbR2Activates Lincomycin Biosynthesis in Multiple Ways. Int. J. Biol. Macromol. 2025, 300, 140292. [Google Scholar] [CrossRef] [PubMed]
- Zhang, Q.; Chen, Q.; Zhuang, S.; Chen, Z.; Wen, Y.; Li, J. A MarR Family Transcriptional Regulator, DptR3, Activates Daptomycin Biosynthesis and Morphological Differentiation in Streptomyces roseosporus. Appl. Environ. Microbiol. 2015, 81, 3753–3765. [Google Scholar] [CrossRef]
- Guo, J.; Zhang, X.; Lu, X.; Liu, W.; Chen, Z.; Li, J.; Deng, L.; Wen, Y. SAV4189, a MarR-Family Regulator in Streptomyces avermitilis, Activates Avermectin Biosynthesis. Front. Microbiol. 2018, 9, 1358. [Google Scholar] [CrossRef]
- Kong, L.; Liu, J.; Zheng, X.; Deng, Z.; You, D. CtcS, a MarR Family Regulator, Regulates Chlortetracycline Biosynthesis. BMC Microbiol. 2019, 19, 279. [Google Scholar] [CrossRef] [PubMed]
- Zhu, D.; Wang, Y.; Zhang, M.; Ikeda, H.; Deng, Z.; Cane, D.E. Product-Mediated Regulation of Pentalenolactone Biosynthesis in Streptomyces Species by the MarR/SlyA Family Activators PenR and PntR. J. Bacteriol. 2013, 195, 1255–1266. [Google Scholar] [CrossRef]
- Le, S.Q.; Gascuel, O. An Improved General Amino Acid Replacement Matrix. Mol. Biol. Evol. 2008, 25, 1307–1320. [Google Scholar] [CrossRef]
- Kumar, S.; Stecher, G.; Li, M.; Knyaz, C.; Tamura, K. MEGA X: Molecular Evolutionary Genetics Analysis across Computing Platforms. Mol. Biol. Evol. 2018, 35, 1547–1549. [Google Scholar] [CrossRef]
- Ji, C.H.; Kim, J.P.; Kang, H.S. Library of Synthetic Streptomyces Regulatory Sequences for Use in Promoter Engineering of Natural Product Biosynthetic Gene Clusters. ACS Synth. Biol. 2018, 7, 1946–1955. [Google Scholar] [CrossRef]
- Lee, Y.; Lee, N.; Hwang, S.; Kim, W.; Cho, S.; Palsson, B.O.; Cho, B.K. Genome-scale analysis of genetic regulatory elements in Streptomyces avermitilis MA-4680 using transcript boundary information. BMC Genom. 2022, 23, 68. [Google Scholar] [CrossRef]
- Romero-Rodríguez, A.; Robledo-Casados, I.; Sánchez, S. An Overview on Transcriptional Regulators in Streptomyces. Biochip. Biophy. Acta 2015, 1849, 1017–1039. [Google Scholar] [CrossRef]
- Wilkinson, S.P.; Grove, A. Ligand-Responsive Transcriptional Regulation by Members of the MarR Family of Winged Helix Proteins. Curr. Issues Mol. Biol. 2006, 8, 51–62. [Google Scholar]
- Nazaret, F.; Alloing, G.; Mandon, K.; Frendo, P. MarR Family Transcriptional Regulators and Their Roles in Plant-Interacting Bacteria. Microorganisms 2023, 11, 1936. [Google Scholar] [CrossRef]
- Ramesh, A.; DebRoy, S.; Goodson, J.R.; Fox, K.A.; Faz, H.; Garsin, D.A.; Winkler, W.C. The Mechanism for RNA Recognition by ANTAR Regulators of Gene Expression. PLoS Genet. 2012, 8, e1002666. [Google Scholar] [CrossRef] [PubMed]
- Walshe, J.L.; Siddiquee, R.; Patel, K.; Ataide, S.F. Structural Characterization of the ANTAR Antiterminator Domain Bound to RNA. Nucleic Acids Res. 2022, 50, 2889–2904. [Google Scholar] [CrossRef]
- Sulavik, M.C.; Gambino, L.F.; Miller, P.F. The MarR Repressor of the Multiple Antibiotic Resistance (mar) Operon in Escherichia coli: Prototypic Member of a Family of Bacterial Regulatory Proteins Involved in Sensing Phenolic Compounds. Mol. Med. 1995, 1, 436–446. [Google Scholar] [CrossRef]
- Si, M.; Chen, C.; Wei, Z.; Gong, Z.; Li, G.; Yao, S. CarR, a MarR-Family Regulator from Corynebacterium glutamicum, Modulated Antibiotic and Aromatic Compound Resistance. Biochem. J. 2019, 476, 3141–3159. [Google Scholar] [CrossRef]
- Tung, Q.N.; Busche, T.; Van Loi, V.; Kalinowski, J.; Antelmann, H. The Redox-Sensing MarR-type Repressor HypS Controls Hypochlorite and Antimicrobial Resistance in Mycobacterium smegmatis. Free Radic. Biol. Med. 2020, 147, 252–261. [Google Scholar] [CrossRef] [PubMed]
- Xu, Q.; Zhai, Z.; An, H.; Yang, Y.; Yin, J.; Wang, G.; Ren, F.; Hao, Y. The MarR Family Regulator BmrR is Involved in Bile Tolerance of Bifidobacterium longum BBMN68 Via Controlling the Expression of an ABC transporter. Appl. Environ. Microbiol. 2019, 85, e02453-18. [Google Scholar] [CrossRef] [PubMed]
- Raghava-Rao, K.V.; Bhaskara-Rao, D.; Satyanarayana, B.; Raghava-Rao, T. Optimization of Cultural Conditions for Production of Antibacterial Metabolites from Streptomyces coelicoflavus BC 01. Not. Sci. Biol. 2015, 7, 151–159. [Google Scholar] [CrossRef][Green Version]
- van Wezel, G.P.; Mahr, K.; König, M.; Traag, B.A.; Pimentel-Schmitt, E.F.; Willimek, A.; Titgemeyer, F. GlcP Constitutes the Major Glucose Uptake System of Streptomyces coelicolor A3(2). Mol. Microbiol. 2005, 55, 624–636. [Google Scholar] [CrossRef] [PubMed]
- Rocha-Mendoza, D.; Manzo-Ruiz, M.; Romero-Rodríguez, A.; Ruiz-Villafán, B.; Rodrígez-Sanoja, R.; Sánchez, S. Dissecting the Role of the Two Streptomyces peucetius var. caesius Glucokinases in the Sensitivity to Carbon Catabolite Repression. J. Ind. Microbiol. Biotechnol. 2021, 48, kuab047. [Google Scholar] [CrossRef]
- Kieser, T.; Bibb, M.J.; Buttner, M.J.; Chater, K.F.; Hopwood, D.A. Practical Streptomyces Genetics; The John Innes Foundation: Norwich, UK, 2000. [Google Scholar]
- Green, M.R.; Sambrook, J. Preparation of Plasmid DNA by Alkaline Lysis with Sodium Dodecyl Sulfate: Minipreps. Cold Spring Harb. Protoc. 2016, 2016. [Google Scholar] [CrossRef]
- Bentley, S.D.; Chater, K.F.; Cerdeño-Tárraga, A.M.; Challis, G.L.; Thomson, N.R.; James, K.D.; Harris, D.E.; Quail, M.A.; Kieser, H.; Harper, D.; et al. Complete Genome Sequence of the Model Actinomycete Streptomyces coelicolor A3(2). Nature 2002, 417, 141–147. [Google Scholar] [CrossRef] [PubMed]
- Homma, S.; Ito, S.; Yajima, S.; Sasaki, Y. Nitric Oxide Signaling for Actinorhodin Production in Streptomyces coelicolor A3(2) Via the DevS/R Two-Component System. Appl. Environ. Microbiol. 2021, 87, e00480-21. [Google Scholar] [CrossRef]
- Bailey, T.L.; Johnson, J.; Grant, C.E.; Noble, W.S. The MEME Suite. Nucleic Acids Res. 2015, 43, W39–W49. [Google Scholar] [CrossRef]
- Solovyev, V.; Salamov, A. Automatic Annotation of Microbial Genomes and Metagenomic Sequences. In Metagenomics and Its Applications in Agriculture, Biomedicine, and Environmental Studies; Li, R.W., Ed.; Nova Science Publishers: New York, NY, USA, 2011; pp. 61–78. [Google Scholar]
- Taboada, B.; Estrada, K.; Ciria, R.; Merino, E. Operon-Mapper: A Web Server for Precise Operon Identification in Bacterial and Archaeal Genomes. Bioinformatics 2018, 34, 4118–4120. [Google Scholar] [CrossRef]
- Hernández-Cordero, B. Evaluación de la Participación del Regulador Transcripcional sco3986 Sobre el Proceso de Represión Catabólica. Master’s Thesis, Universidad Nacional Autónoma de México, Mexico City, Mexico, November 2022. Available online: http://132.248.9.195/ptd2022/noviembre/0833533/Index.html (accessed on 12 June 2023).
- Cruz-Bautista, R.; Romero-Rodríguez, A.; Sánchez, S. An Overview of the Two-Component System GarR/GarS Role on Antibiotic Production in Streptomyces coelicolor. Appl. Microbiol. Biotechnol. 2024, 108, 2111–2123. [Google Scholar] [CrossRef]
- Kelley, L.; Mezulis, S.; Yates, C.; Wass, M.; Sternberg, M. The Phyre2 Web Portal for Protein Modeling, Prediction and Analysis. Nat. Protoc. 2015, 10, 845–858. [Google Scholar] [CrossRef]
- Studholme, D.J.; Bentley, S.D.; Kormanec, J. Bioinformatic Identification of Novel Regulatory DNA Sequence Motifs in Streptomyces coelicolor. BMC Microbiol. 2004, 4, 14. [Google Scholar] [CrossRef] [PubMed][Green Version]








| Bacterial Strain | μ (h−1) | Dt (h) | Yx/s (g Biomass/g Glc) | PGP (mg Biomass/mL) | YACT/s YRED/s (g/g Glc) | MPPACT MPPRED (µmol/g Biomass) | ||
|---|---|---|---|---|---|---|---|---|
| S. coelicolor M145 (WT) | 0.0211 ± 0.001 | 32.8 ± 2.14 | 0.686 ± 0.018 | 4.6775 ± 0.095 | 0.003 ± 0.0003 | 0.0002 ± 4.87866 × 10−5 | 9.22 ± 0.553 | 1.17 ± 0.207 |
| SpSCO7424 (SE) | 0.007 ± 0.001 | 99.02 ± 23.53 | 0.406 ± 0.062 | 3.3675 ± 0.625 | 0.001 ± 0.0001 | 0.00002 ± 2.40529 × 10−6 | 5.18 ± 0.209 | 0.21 ± 0.010 |
| Repressive Condition (With Glucose) OVE vs. WT Strain | |||
|---|---|---|---|
| Gene | Normalized Expression (OVE) | Normalized Expression (WT) | Expression Change (OVE/WT) |
| redZ (sco5881) | 10.76234 ± 0.60708 | 0.56775 ± 0.02621 | 18.95 |
| redD (sco5877) | 0.02128 ± 0.00112 | 0.20581 ± 0.00854 | −9.67 |
| redL (sco5892) | 0.00017 ± 6.6 × 10−5 | 0.00298 ± 0.00012 | −17.53 |
| actII-ORF4 (sco5085) | 0.57909 ± 0.05157 | 1.50875 ± 0.01327 | −2.60 |
| sco7423 | 0.03138 ± 0.00163 | 0.01416 ± 0.00111 | 2.21 |
| sco7424 | 1.53827 ± 0.02869 | 0.12782 ± 0.00505 | 12.03 |
| Condition without glucose OVE vs. WT strain | |||
| redZ (sco5881) | 1.93013 ± 0.08816 | 3.03386 ± 0.03936 | −1.57 |
| redD (sco5877) | 0.05323 ± 0.00603 | 0.23275 ± 0.02604 | −4.37 |
| redL (sco5892) | 0.00034 ± 7.2 × 10−5 | 0.00107 ± 0.00028 | −3.14 |
| actII-ORF4 (sco5085) | 2.15604 ± 0.67115 | 33.28908 ± 0.80579 | −15.44 |
| sco7423 | 0.00502 ± 0.00016 | 0.01302 ± 0.00104 | −2.59 |
| sco7424 | 0.63700 ± 0.06162 | 0.15240 ± 0.00471 | 4.18 |
Disclaimer/Publisher’s Note: The statements, opinions and data contained in all publications are solely those of the individual author(s) and contributor(s) and not of MDPI and/or the editor(s). MDPI and/or the editor(s) disclaim responsibility for any injury to people or property resulting from any ideas, methods, instructions or products referred to in the content. |
© 2026 by the authors. Licensee MDPI, Basel, Switzerland. This article is an open access article distributed under the terms and conditions of the Creative Commons Attribution (CC BY) license.
Share and Cite
Vega-Sauceda, G.; Villarreal-Gómez, K.; Ruiz-Villafán, B.; Rodríguez-Sanoja, R.; Sánchez, S. Impact of the Transcriptional Regulator SCO7424 Overexpression on Antibiotic Production in Streptomyces coelicolor. Antibiotics 2026, 15, 70. https://doi.org/10.3390/antibiotics15010070
Vega-Sauceda G, Villarreal-Gómez K, Ruiz-Villafán B, Rodríguez-Sanoja R, Sánchez S. Impact of the Transcriptional Regulator SCO7424 Overexpression on Antibiotic Production in Streptomyces coelicolor. Antibiotics. 2026; 15(1):70. https://doi.org/10.3390/antibiotics15010070
Chicago/Turabian StyleVega-Sauceda, Gladys, Karen Villarreal-Gómez, Beatriz Ruiz-Villafán, Romina Rodríguez-Sanoja, and Sergio Sánchez. 2026. "Impact of the Transcriptional Regulator SCO7424 Overexpression on Antibiotic Production in Streptomyces coelicolor" Antibiotics 15, no. 1: 70. https://doi.org/10.3390/antibiotics15010070
APA StyleVega-Sauceda, G., Villarreal-Gómez, K., Ruiz-Villafán, B., Rodríguez-Sanoja, R., & Sánchez, S. (2026). Impact of the Transcriptional Regulator SCO7424 Overexpression on Antibiotic Production in Streptomyces coelicolor. Antibiotics, 15(1), 70. https://doi.org/10.3390/antibiotics15010070

