Influence of N-Acetyl-L-Cysteine on the Pharmacokinetics and Antibacterial Activity of Marbofloxacin in Chickens
Abstract
1. Introduction
2. Results
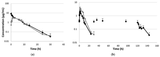
2.1. Pharmacokinetic Analysis of Marbofloxacin with and Without NAC
2.2. Antimicrobial Activity of Marbofloxacin with and Without NAC
3. Discussion
4. Materials and Methods
4.1. Drugs and Reagents
4.2. Animals and Experimental Design
4.3. Determination of Marbofloxacin Concentrations by LC-MS/MS Analysis
4.4. Protein Binding
4.5. Pharmacokinetic Analysis
4.6. Determination of MIC and MBC Values
4.7. Statistical Analysis
5. Conclusions
Supplementary Materials
Author Contributions
Funding
Institutional Review Board Statement
Informed Consent Statement
Data Availability Statement
Conflicts of Interest
Abbreviations
| NAC | N-acetyl-L-cysteine |
| E. coli | Escherichia coli |
| S. aureus | Staphylococcus aureus |
References
- Martinez, M.; McDermott, P.; Walker, R. Pharmacology of the fluoroquinolones: A perspective for the use in domestic animals. Vet. J. 2006, 172, 10–28. [Google Scholar] [CrossRef] [PubMed]
- Singh, R.D.; Vaghela, S.H.; Tukra, S.; Patel, A.R.; Patel, H.B.; Sarvaiya, V.N.; Mody, S.K. Dosage derivation of marbofloxacin in broiler chickens based on pharmacokinetic-pharmacodynamic integration. Indian J. Vet. Sci. Biotechnol. 2023, 19, 7–11. [Google Scholar] [CrossRef]
- Atef, M.; Atta, A.H.; Darwish, A.S.; Mohamed, H. Pharmacokinetics aspects and tissue residues of marbofloxacin in healthy and Mycoplasma gallisepticum-infected chickens. Wulfenia 2017, 24, 80–107. [Google Scholar]
- Urzúa Pizarro, N.F.; Errecalde, C.A.; Prieto, G.F.; Lüders, C.F.; Tonini, M.P.; Picco, E.J. Pharmacokinetic behavior of marbofloxacin in plasma from chickens at different seasons. Mac. Vet. Rev. 2017, 40, 143–147. [Google Scholar] [CrossRef]
- Vaghela, S.H.; Singh, R.D.; Tukra, S.; Patel, A.R.; Patel, H.B.; Sarvaiya, V.N.; Mody, S.K. Disposition kinetic behaviour of marbofloxacin in broiler chickens. Pharm. Innov. J 2022, 11, 2223–2226. [Google Scholar]
- Haritova, A.M.; Rusenova, N.V.; Parvanov, P.R.; Lashev, L.D.; Fink-Gremmels, J. Integration of pharmacokinetic and pharmacodynamic indices of marbofloxacin in turkeys. Antimicrob. Agents Chemother. 2006, 50, 3779–3785. [Google Scholar] [CrossRef]
- Lashev, L.D.; Dimitrova, D.J.; Milanova, A.; Moutafchieva, R.G. Pharmacokinetics of enrofloxacin and marbofloxacin in Japanese quails and common pheasants. Br. Poult. Sci. 2015, 56, 255–261. [Google Scholar] [CrossRef]
- Abo-EL-Sooud, K.; Swielim, G.A.; EL-Gammal, S.M.; Ramsis, M.N. Comparative Pharmacokinetics and bioavailability of marbofloxacin in geese (Anser Anser domesticus) after two sites of intramuscular administrations. J. Vet. Pharmacol. Ther. 2020, 43, 313–318. [Google Scholar] [CrossRef]
- Sartini, I.; Łebkowska-Wieruszewska, B.; Lisowski, A.; Poapolathep, A.; Owen, H.; Giorgi, M. Concentrations in plasma and selected tissues of marbofloxacin after oral and intravenous administration in Bilgorajska geese (Anser anser domesticus). N. Z. Vet. J. 2020, 68, 31–37. [Google Scholar] [CrossRef]
- OIE (World Organisation for Animal Health). OIE List of Antimicrobial Agents of Veterinary Importance. 2019. Available online: https://www.oie.int/fileadmin/Home/eng/Our_scientific_expertise/docs/pdf/AMR/A_OIE_List_antimicrobials_July2019.pdf (accessed on 5 March 2025).
- Soh, H.Y.; Tan, P.X.Y.; Ng, T.T.M.; Chng, H.T.; Xie, S. A critical review of the pharmacokinetics, pharmacodynamics, and safety data of antibiotics in avian species. Antibiotics 2022, 11, 741. [Google Scholar] [CrossRef]
- Roth, N.; Käsbohrer, A.; Mayrhofer, S.; Zitz, U.; Hofacre, C.; Domig, K.J. The application of antibiotics in broiler production and the resulting antibiotic resistance in Escherichia coli: A global overview. Poult. Sci. 2019, 98, 1791–1804. [Google Scholar] [CrossRef]
- Prandi, I.; Bellato, A.; Nebbia, P.; Stella, M.C.; Ala, U.; von Degerfeld, M.M.; Quaranta, G.; Robino, P. Antibiotic resistant Escherichia coli in wild birds hospitalised in a wildlife rescue centre. Comp. Immunol. Microbiol. Infect. Dis. 2023, 93, 101945. [Google Scholar] [CrossRef] [PubMed]
- Shaheen, R.; El-Abasy, M.; El-Sharkawy, H.; Ismail, M.M. Prevalence, molecular characterization, and antimicrobial resistance among Escherichia coli, Salmonella spp., and Staphylococcus aureus strains isolated from Egyptian broiler chicken flocks with omphalitis. Open Vet. J. 2024, 14, 284–291. [Google Scholar] [CrossRef]
- European Medicines Agency. Committee for Medicinal Products for Veterinary Use (CVMP). EMA/CVMP/CHMP/682198/2017. Categorisation of Antibiotics in the European Union. 2020. Available online: https://www.ema.europa.eu/en/documents/report/categorisation-antibiotics-european-union-answer-request-european-commission-updating-scientific-advice-impact-public-health-and-animal-health-use-antibiotics-animals_en.pdf (accessed on 6 March 2025).
- de Mesquita Souza Saraiva, M.; Lim, K.; do Monte, D.F.M.; Givisiez, P.E.N.; Alves, L.B.R.; de Freitas Neto, O.C.; Gebreyes, W.A. Antimicrobial resistance in the globalized food chain: A One Health perspective applied to the poultry industry. Braz. J. Microbiol. 2022, 53, 465–486. [Google Scholar] [CrossRef]
- Worthington, R.J.; Melander, C. Combination approaches to combat multidrug-resistant bacteria. Trends Biotechnol. 2013, 31, 177–184. [Google Scholar] [CrossRef] [PubMed]
- Pinto, R.M.; Soares, F.A.; Reis, S.; Nunes, C.; Van Dijck, P. Innovative strategies toward the disassembly of the EPS matrix in bacterial biofilms. Front. Microbiol. 2020, 11, 952. [Google Scholar] [CrossRef] [PubMed]
- Shariati, A.; Kashi, M.; Chegini, Z.; Hosseini, S.M. Antibiotics-free compounds for managing carbapenem-resistant bacteria: A narrative review. Front. Pharmacol. 2024, 15, 1467086. [Google Scholar] [CrossRef]
- Yi, D.; Hou, Y.; Tan, L.; Liao, M.; Xie, J.; Wang, L.; Ding, B.; Yang, Y.; Gong, J. N-acetylcysteine improves the growth performance and intestinal function in the heat-stressed broilers. Anim. Feed Sci. Tech. 2016, 220, 83–92. [Google Scholar] [CrossRef]
- Mishra, B.; Jha, R. Oxidative stress in the poultry gut: Potential challenges and interventions. Front. Vet. Sci. 2019, 6, 60. [Google Scholar] [CrossRef]
- Allam, A.; Abdeen, A.; Devkota, H.P.; Ibrahim, S.S.; Youssef, G.; Soliman, A.; Abdel-Daim, M.M.; Alzahrani, K.J.; Shoghy, K.; Ibrahim, S.F.; et al. N-acetylcysteine alleviated the deltamethrin-induced oxidative cascade and apoptosis in liver and kidney tissues. Int. J. Environ. Res. Public Health 2022, 19, 638. [Google Scholar] [CrossRef]
- Wang, L.; Xu, Y.; Zhao, X.; Zhu, X.; He, X.; Sun, A.; Zhuang, G. Antagonistic effects of N-acetylcysteine on lead-induced apoptosis and oxidative stress in chicken embryo fibroblast cells. Heliyon 2023, e21847. [Google Scholar] [CrossRef] [PubMed]
- Blasi, F.; Page, C.; Rossolini, G.M.; Pallecchi, L.; Matera, M.G.; Rogliani, P.; Cazzola, M. The effect of N-acetylcysteine on biofilms: Implications for the treatment of respiratory tract infections. Respir. Med. 2016, 117, 190–197. [Google Scholar] [CrossRef] [PubMed]
- Rodríguez-Rosado, A.I.; Valencia, E.Y.; Rodríguez-Rojas, A.; Costas, C.; Galhardo, R.S.; Rodríguez-Beltrán, J.; Blázquez, J. N-acetylcysteine blocks SOS induction and mutagenesis produced by fluoroquinolones in Escherichia coli. J. Antimicrob. Chemother. 2019, 74, 2188–2196. [Google Scholar] [CrossRef]
- Hamed, S.; Emara, M.; Tohidifar, P.; Rao, C.V. N-Acetyl cysteine exhibits antimicrobial and anti-virulence activity against Salmonella enterica. PLoS ONE 2025, 20, e0313508. [Google Scholar] [CrossRef] [PubMed]
- Goswami, M.; Jawali, N. N-acetylcysteine-mediated modulation of bacterial antibiotic susceptibility. Antimicrob. Agents Chemother. 2010, 54, 3529–3530. [Google Scholar] [CrossRef]
- Landini, G.; Di Maggio, T.; Sergio, F.; Docquier, J.D.; Rossolini, G.M.; Pallecchi, L. Effect of high N-acetylcysteine concentrations on antibiotic activity against a large collection of respiratory pathogens. Antimicrob. Agents Chemother. 2016, 60, 7513–7517. [Google Scholar] [CrossRef]
- De Angelis, M.; Mascellino, M.T.; Miele, M.C.; Al Ismail, D.; Colone, M.; Stringaro, A.; Vullo, V.; Venditti, M.; Mastroianni, C.M.; Oliva, A. High Activity of N-Acetylcysteine in Combination with Beta-Lactams against Carbapenem-Resistant Klebsiella pneumoniae and Acinetobacter baumannii. Antibiotics 2022, 11, 225. [Google Scholar] [CrossRef]
- Petkova, T.; Rusenova, N.; Danova, S.; Milanova, A. Effect of N-Acetyl-L-cysteine on Activity of Doxycycline against Biofilm-Forming Bacterial Strains. Antibiotics 2023, 12, 1187. [Google Scholar] [CrossRef]
- Valdivia, A.G.; Martinez, A.; Damian, F.J.; Quezada, T.; Ortiz, R.; Martinez, C.; Llamas, J.; Rodríguez, M.L.; Yamamoto, L.; Jaramillo, F.; et al. Efficacy of N-acetylcysteine to reduce the effects of aflatoxin B1 intoxication in broiler chickens. Poult. Sci. 2001, 80, 727–734. [Google Scholar] [CrossRef]
- Patel, A.R.; Patel, H.B.; Sarvaiya, V.N.; Singh, R.D.; Patel, H.A.; Vaghela, S.H.; Tukra, S.; Mody, S.K. Pharmacokinetic profile of marbofloxacin following oral administration in broiler chickens. Pharm. Innov. 2022, 11, 22–25. [Google Scholar]
- Patel, H.B.; Patel, U.D.; Modi, C.M.; Bhadarka, D.H. Pharmacokinetics of Marbofloxacin Following Single and Repeated Dose Intravenous Administration in Broiler Chickens. Int. J. Curr. Microbiol. Appl. Sci. 2018, 7, 2344–2351. [Google Scholar] [CrossRef]
- Patel, H.B.; Patel, U.D.; Modi, C.M.; Ahmed, S.; Solanki, S.L. Pharmacokinetic profiles of marbofloxacin following single and repeated oral administration in broiler chickens. Ann. Phytomed. 2018, 7, 174–179. [Google Scholar] [CrossRef]
- Yang, F.; Yang, Y.R.; Wang, L.; Huang, X.H.; Qiao, G.; Zeng, Z.L. Estimating marbofloxacin withdrawal time in broiler chickens using a population physiologically based pharmacokinetics model. J. Vet. Pharmacol. Ther. 2014, 37, 579–588. [Google Scholar] [CrossRef] [PubMed]
- Toutain, P.L.; Bousquet-Mélou, A. Plasma terminal half-life. J. Vet. Pharmacol. Ther. 2004, 27, 427–439. [Google Scholar] [CrossRef] [PubMed]
- Kłosińska-Szmurło, E.; Pluciński, F.A.; Grudzień, M.; Betlejewska-Kielak, K.; Biernacka, J.; Mazurek, A. Experimental and theoretical studies on the molecular properties of ciprofloxacin, norfloxacin, pefloxacin, sparfloxacin, and gatifloxacin in determining bioavailability. J. Biol. Phys. 2014, 40, 335–345. [Google Scholar] [CrossRef]
- Li, X.; Kim, J.; Wu, J.; Ahamed, A.I.; Wang, Y.; Martins-Green, M. N-Acetyl-cysteine and Mechanisms Involved in Resolution of Chronic Wound Biofilm. J. Diabetes Res. 2020, 2020, 9589507. [Google Scholar] [CrossRef]
- Patel, A.; Patel, H.B.; Sarvaiya, V.N.; Singh, R.D.; Patel, H.A.; Vaghela, S.; Tukra, S.; Mody, S.K. Pharmacokinetics of marbofloxacin following oral administration in lactic acid pretreated broiler chickens. Asian J. Dairy Food Res. 2023, 10, 1–6. [Google Scholar] [CrossRef]
- Roydeva, A.; Beleva, G.; Gadzhakov, D.; Milanova, A. Pharmacokinetics of N-acetyl-l-cysteine in chickens. J. Vet. Pharmacol. Ther. 2024, 47, 403–415. [Google Scholar] [CrossRef]
- Aslam, S.; Trautner, B.W.; Ramanathan, V.; Darouiche, R.O. Combination of tigecycline and N-acetylcysteine reduces biofilm-embedded bacteria on vascular catheters. Antimicrob. Agents Chemother. 2007, 51, 1556–1558. [Google Scholar] [CrossRef]
- Attili, A.; Cerquetella, M.; Pampurini, F.; Laus, F.; Spaterna, A.; Cuteri, V. Association between enrofloxacin and N-acetylcysteine in recurrent bronchopneumopathies in dogs caused by biofilm producer bacteria. J. Anim. Vet. Adv. 2012, 11, 462–469. [Google Scholar] [CrossRef][Green Version]
- Sun, J.-L.; Liu, C.; Song, Y. Screening 36 Veterinary Drugs in Animal Origin Food by LC/MS/MS Combined with Modified QuEChERS Method. 2012. Available online: https://www.agilent.com/cs/library/applications/5991-0013EN.pdf (accessed on 6 March 2025).
- Barre, J.; Chamouard, J.M.; Houin, G.; Tillement, J.P. Equilibrium dialysis, ultrafiltration, and ultracentrifugation compared for determining the plasma-protein-binding characteristics of valproic acid. Clin. Chem. 1985, 31, 60–64. [Google Scholar] [CrossRef] [PubMed]


| Parameter (Unit) | Marbofloxacin | Marbofloxacin + N-Acetylcysteine | ||
|---|---|---|---|---|
| i.v. | p.o. into the Crop | p.o. into the Crop | p.o. (Multiple Doses) | |
| λ (1/h) | 0.174 (0.159–0.199) | 0.17 (0.114–0.252) | 0.213 (0.111–0.316) * | 0.084 (0.046–0.179) *,▲,■ |
| t1/2el (h) | 3.98 (3.48–4.35) | 3.99 (2.75–6.10) | 3.13 (2.20–6.22) | 8.26 (3.87–15.02) *,▲,■ |
| Tmax (h) | - | 1.99 (1.0–6.0) | 1.97 (1.0–8.0) | - |
| Cmax (μg/mL) | - | 3.10 (1.95–5.01) | 2.0 (1.03–2.82) ▲ | - |
| Cavg (μg/mL) | - | - | - | 0.41 (0.26–0.81) |
| AUC0-∞ (μg×h/mL) | 33.02 (24.54–42.96) | 23.99 (19.47–31.02) * | 12.22 (8.35–15.62) *,▲ | - |
| AUC0-τ (μg×h/mL) | - | - | - | 9.09 (6.0–17.95) |
| AUCextrap (%) | 0.67 (0.23–2.19) | 0.59 (0.16–2.26) | 3.85 (0.65–18.68) | - |
| CL (mL/h/kg) | 151.45 (116.4–203.76) | - | - | - |
| Vss (L/kg) | 0.753 (0.624–0.955) | - | - | - |
| Vz (L/kg) | 0.872 (0.662–1.118) | - | - | - |
| MRT (h) | 4.98 (3.25–6.12) | 6.67 (5.50–7.83) * | 5.49 (3.91–9.33) | - |
| MAT (h) | - | 1.53 (0.68–3.07) | 0.44 (0.05–3.44) ▲ | - |
| F (%) | - | 72.66 (50.84–106.47) | 37.0 (19.45–63.65) ▲ | |
| Bacterial Strain | Marbofloxacin (μg/mL) | MIC of Marbofloxacin + N-acetyl-L-Cysteine (μg/mL) | |||||
|---|---|---|---|---|---|---|---|
| MIC | MBC | NAC 20 μg/mL | NAC 6 μg/mL | NAC 4 μg/mL | NAC 2 μg/mL | NAC 1 μg/mL | |
| E. coli ATCC 25922 | 0.0156 | 0.0156 | 0.0039 | 0.008 | 0.008 | 0.008 | 0.008 |
| S. aureus ATCC 25923 | 0.25 | 0.5 | 0.25 | 0.25 | 0.25 | 0.25 | 0.25 |
Disclaimer/Publisher’s Note: The statements, opinions and data contained in all publications are solely those of the individual author(s) and contributor(s) and not of MDPI and/or the editor(s). MDPI and/or the editor(s) disclaim responsibility for any injury to people or property resulting from any ideas, methods, instructions or products referred to in the content. |
© 2025 by the authors. Licensee MDPI, Basel, Switzerland. This article is an open access article distributed under the terms and conditions of the Creative Commons Attribution (CC BY) license (https://creativecommons.org/licenses/by/4.0/).
Share and Cite
Roydeva, A.; Rusenova, N.; Milanova, A. Influence of N-Acetyl-L-Cysteine on the Pharmacokinetics and Antibacterial Activity of Marbofloxacin in Chickens. Antibiotics 2025, 14, 393. https://doi.org/10.3390/antibiotics14040393
Roydeva A, Rusenova N, Milanova A. Influence of N-Acetyl-L-Cysteine on the Pharmacokinetics and Antibacterial Activity of Marbofloxacin in Chickens. Antibiotics. 2025; 14(4):393. https://doi.org/10.3390/antibiotics14040393
Chicago/Turabian StyleRoydeva, Albena, Nikolina Rusenova, and Aneliya Milanova. 2025. "Influence of N-Acetyl-L-Cysteine on the Pharmacokinetics and Antibacterial Activity of Marbofloxacin in Chickens" Antibiotics 14, no. 4: 393. https://doi.org/10.3390/antibiotics14040393
APA StyleRoydeva, A., Rusenova, N., & Milanova, A. (2025). Influence of N-Acetyl-L-Cysteine on the Pharmacokinetics and Antibacterial Activity of Marbofloxacin in Chickens. Antibiotics, 14(4), 393. https://doi.org/10.3390/antibiotics14040393

