From Shadows to Spotlight: Enhancing Bacterial DNA Detection in Blood Samples through Cutting-Edge Molecular Pre-Amplification
Abstract
1. Introduction
2. Results
2.1. Pre-Amplification Procedure
2.2. Multitarget Pre-Amplification
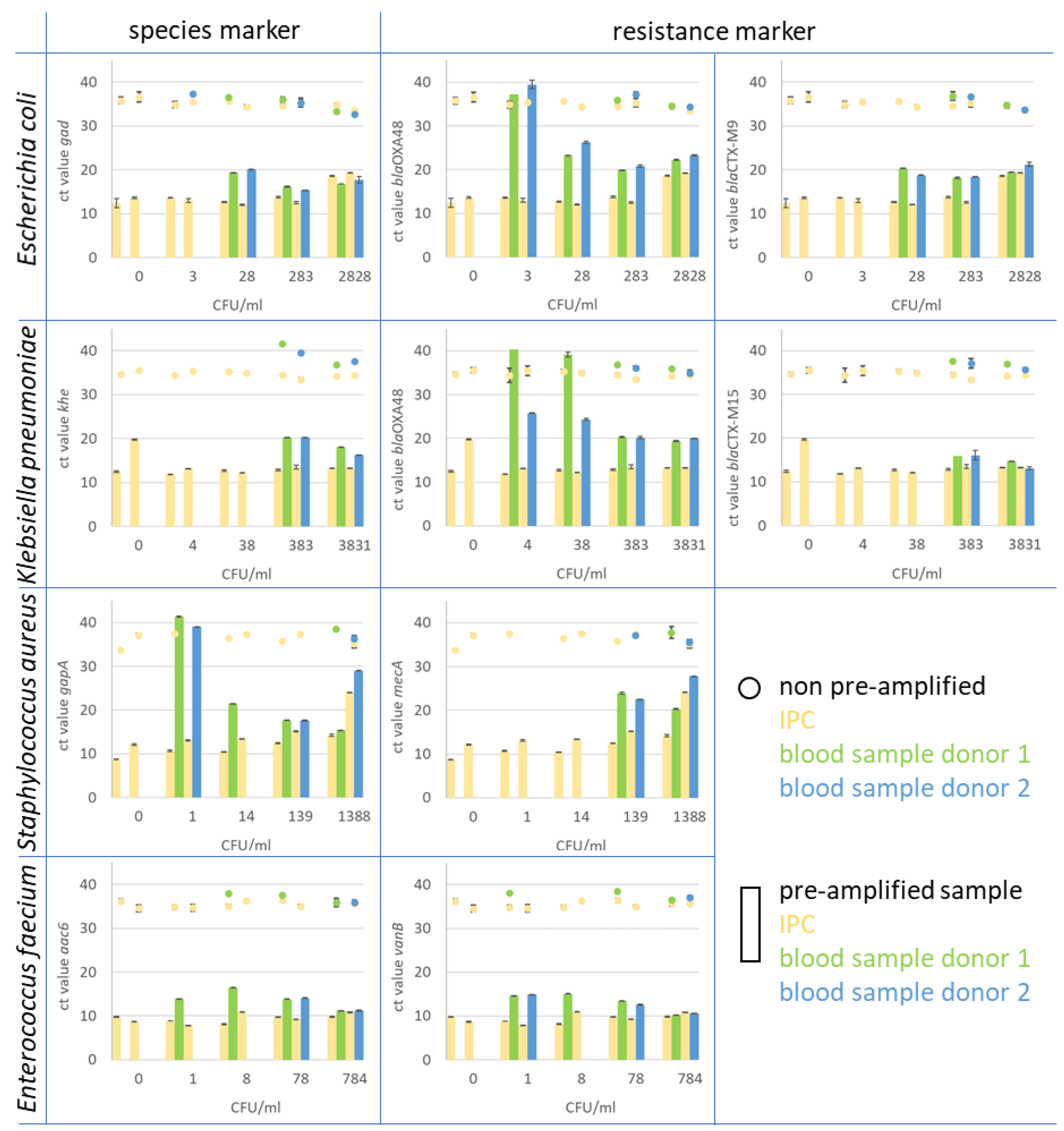
2.3. Blood Sample Spiking Experiments
3. Discussion
3.1. Sample Preparation for Improved Sensitivity
3.2. Advantages of the Pre-Amplification Method
3.3. Considerations for Contamination and Closed Systems
3.4. Clinical Relevance: Achieving a Critical Detection Level
4. Materials and Methods
4.1. Species and Resistance Marker Panel
4.2. Bioinformatics for Oligonucleotide Design
4.3. Bacterial Strains and Growth Conditions
4.4. Nucleic Acid Preparation and Sequencing
4.5. Genomic DNA Dilution
4.6. DNA Pre-Amplification
4.7. qPCR Assays
4.8. Multitarget Pre-Amplification
4.9. Blood Sample Preparation
4.10. Data Analysis Spiked Blood Samples
5. Conclusions
Author Contributions
Funding
Institutional Review Board Statement
Informed Consent Statement
Data Availability Statement
Acknowledgments
Conflicts of Interest
Appendix A
| Target | Efficiency (%) | R2 | |
|---|---|---|---|
| Species | basC | 94.57 | >0.9996 |
| gad | 84.03 | >0.9937 | |
| khe | 102.41 | >0.9984 | |
| cfa | 81.26 | >0.9758 | |
| ecfX | 93 | >0.9964 | |
| gapA | 93.87 | >0.9995 | |
| aac6li | 108.72 | >0.9828 | |
| ddl | 95.21 | >0.9975 | |
| lytA | 97.28 | >0.9994 | |
| Resistance | blaOXA-48 | 98.06 | >0.9929 |
| blaNDM | 88.69 | >0.9953 | |
| blaVIM | 92.64 | >0.9884 | |
| blaCTX-M9 | 90.07 | >0.9934 | |
| blaCTX-M15 | 88.35 | >0.9953 | |
| blaKPC | 93.69 | >0.9998 | |
| mecA | 87.8 | >0.9995 | |
| vanA | 100.15 | >0.9988 | |
| vanB | 88.87 | >0.9988 | |
| blaOXA-58 | 102.44 | >0.9984 |
| Strain | Target | basC | cfa | ecfX | gad | gapA | khe | aac6 | msrC | ddl | lytA | lytA2 | atlE | sesC |
|---|---|---|---|---|---|---|---|---|---|---|---|---|---|---|
| Acinetobacter baumannii | basC | P | n | n | n | n | n | n | n | n | n | N | n | n |
| Citrobacter freundii | cfa | n | P | n | n | n | n | n | n | n | n | N | n | n |
| Pseudomonas aeruginosa | ecfX | n | n | P | n | n | n | n | n | n | n | N | n | n |
| Escherichia coli | gad | n | n | n | P | n | n | n | n | n | n | N | n | n |
| Staphylococcus aureus | gapA | n | n | n | n | P | n | n | n | n | n | N | n | n |
| Klebsiella pneumoniae | khe | n | n | n | n | n | P | n | n | n | n | N | n | n |
| Enterococcus faecium | aac6li, msrC | n | n | n | n | n | n | P | P | n | n | N | n | n |
| Enterococcus faecalis | ddl | n | n | n | n | n | n | n | n | P | n | N | n | n |
| Streptococcus pneumoniae | lytA, lytA2 | n | n | n | n | n | n | n | n | n | P | P | n | n |
| Staphylococcus epidermidis | atlE, sesC | n | n | n | n | n | n | n | n | n | n | N | P | P |
| n | no qPCR signal (expected) | P | positive control | y | signal (not expected) | |||||||||
| Strain | Target | blaVIM | blaOXA-48 | blaOXA-181 | blaNDM-2 | blaCTX-M-15 | blaCTX-M-9 | aac6 | mecA | vanA | vanB | blaOXA-58 | blaOXA-23 |
|---|---|---|---|---|---|---|---|---|---|---|---|---|---|
| Acinetobacter baumannii | blaVIM-2 | P | n | n | n | n | n | n | n | n | N | n | n |
| Klebsiella pneumoniae | blaOXA-48-like, bla CTX-M-1/15 | n | P | n | n | P | n | n | n | n | N | n | n |
| Escherichia coli | blaOXA-48-like, blaCTX-M-9 | n | 0 | n | n | n | P | n | n | n | N | n | n |
| Acinetobacter baumannii | blaNDM-1 | n | n | n | P | n | n | n | n | n | N | n | n |
| Escherichia coli | blaKPC-2, blaCTX-M-9 | n | n | n | n | n | 0 | P | n | n | N | n | n |
| Citrobacter freundii | blaVIM, blaOXA-48-like | 0 | 0 | n | n | n | n | n | n | n | N | n | n |
| Escherichia coli | blaVIM-4, blaCTX-M-1/15 | 0 | n | n | n | 0 | n | n | n | n | N | n | n |
| Klebsiella pneumoniae | blaNDM-1, blaOXA-181/232, blaCTX-M-1/15 | n | 0 | P | 0 | 0 | n | n | n | n | N | n | n |
| Pseudomonas aeruginosa | blaVIM | 0 | n | n | n | n | n | n | n | n | N | n | n |
| Citrobacter freundii | blaVIM | 0 | n | n | n | n | n | n | n | n | N | n | n |
| Klebsiella pneumoniae | blaCTX-M-1/15 | n | n | n | n | 0 | n | n | n | n | N | n | n |
| Escherichia coli | blaNDM-1, blaVIM, blaCTX-M-1/15 | P | n | n | 0 | 0 | n | n | n | n | N | n | n |
| Staphylococcus aureus | mecA | n | n | n | n | n | n | n | P | n | N | n | n |
| Klebsiella pneumoniae | blaVIM-1 | 0 | n | n | n | n | n | n | n | n | N | n | n |
| Klebsiella pneumoniae | blaKPC-2, blaCTX-M-2 | n | n | n | n | n | n | 0 | n | n | N | n | n |
| Enterococcus faecium | vanA | n | n | n | n | n | n | n | n | P | N | n | n |
| Enterococcus faecalis | − | n | n | n | n | n | n | n | n | n | N | n | n |
| Enterococcus faecium | vanB | n | n | n | n | n | n | n | n | n | P | n | n |
| Escherichia coli | blaCTX-M-9 | n | n | n | n | n | 0 | n | n | n | N | n | n |
| Streptococcus pneumoniae | − | n | n | n | n | n | n | n | n | n | N | n | n |
| Acinetobacter baumannii | blaOXA-58 | n | n | n | n | n | n | n | n | n | N | P | n |
| Acinetobacter baumannii | blaNDM2, blaOXA-23-like | n | n | n | 0 | n | n | n | n | n | N | n | P |
| Acinetobacter baumannii | blaOXA-58 | n | n | n | n | n | n | n | n | n | N | 0 | n |
| Staphylococcus epidermidis | − | n | n | n | n | n | n | n | P | n | N | n | n |
| n | no qPCR signal (expected) | P | positive control | ||||||||||
| 0 | not tested | y | qPCR signal (not expected) | ||||||||||
| Manufacturer | Assay | Method | Sample | Sample Volume (mL) | Sample Preparation | Sample-to-Result-Time (h) | LOD (CFU/mL) | Sensitivity/ Specificity (%) | Range of Detection | Detection of Polymicrobial Infections | AMR Marker | References |
|---|---|---|---|---|---|---|---|---|---|---|---|---|
| Abbott Molecular | IRIDICA BAC BSI | PCR and ESI-MS | Whole blood | 5.0 | External (IRIDICA BB/SP) | 6 | 0.25–128 | 45–83/69–94 | 780 bacteria and Candida spp. | Yes | mecA, vanA, vanB, and blaKPC | [31,32,33] |
| Roche Molecular Diagnostics | LightCycler® SeptiFast Test | Multiplex real-time PCR with DNA-DNA hybridization and melting curves | Whole blood | 1.5 | External (MagNA Lyser) | 4–6 | 3–100 | 63–83/83–95 | 16 bacteria, Candida, and Aspergillus fumigatus | Yes | mecA | [31,32] |
| Molzym | SepsiTest | Universal PCR and sequencing | Whole blood | 1.0 | External | 8–10 | 10–80 | 11–87/83–96 | 345 bacteria and 13 fungi | n.a | None | [31,32,34] |
| Immunexpress | SeptiCyte | “Host-response gene-expression assay”—quantitative RT-qPCR of four RNA biomarker | Whole blood | 2.5 | External (total RNA) | 6 | n.a. | n.a./95 | Non-direct detection of pathogens | n.a. | None | [23,35,36] |
| SIRS-Lab | VYOO | Multiplex PCR + Gel-electrophoresis | Whole blood | 5.0 | External | 8 | 5-100 | 38–60/72–75 | 14 Gram-positive, 18 Gram-negative bacteria, 7 fungi | n.a. | mecA, vanA, vanB, vanC, and blaSHV | [37,38] |
| Seegene | Magicplex™ Sepsis Real-time Test | Multiplex real-time PCR | Whole blood | 1.0 | External (standard kits) | 3 | n.a. | n.a. | 21 bacterial species, 90 bacterial genera, 6 fungi species | Yes | mecA, vanA/B | [39,40] |
| T2 Biosystems | T2Candida and T2Bacteria | Miniaturised magnet-resonance technology | Whole blood | n.a. | Integrated | 3–5 | 10 | 95/98 | 3 Gram-negative, 2 Gram-positive bacteria, Candida spp. | No | None | [41,42,43,44] |
| Noscendo | NGS as a service | Sequencing of isolated DNA from whole blood | Whole blood | 10.0 | External (standard kits) | 24 | n.a. | n.a. | All pathogens with known sequences (BLAST) | Yes | All resistance genes with known sequences (BLAST) | [45,46,47] |
| Cepheid | Xpert® MRSA/SA BC | Multiplex real-time PCR | Blood culture | 1.0 | Integrated | 1 | 150 | 99/99 | MRSA | No | spa, mecA, SCCmec | [48,49] |
| Curetis | BCU (blood culture application) | Multiplex-PCR with microarray detection via DNA–DNA hybridisation | Blood culture | n.a. | Integrated | 4–5 | 1-10 | 96/99 | 10 Gram-positive, 15 Gram-negative bacteria, M. tuberculosis, 8 fungi | Yes | 16 resistance genes | [50] |
| bioMérieux Clinical Diagnostics | FilmArray™ Blood culture Panel | Nested PCR: multiplex PCR for enrichment and singleplex PCR for specific detection of targets | Blood culture | n.a. | Integrated | 1 | n.a. | 89–91/100 | 6 Gram-positive, 10 Gram-negative bacteria, 5 Candida spp. | n.a. | mecA, vanA/B, blaKPC | [51,52] |
| Luminex | GP-BC (Gram-positive) and GN-BC (Gram-negative) | DNA–DNA hybridisation microarray (NanoGrid) | Blood culture | n.a. | Integrated | 2 | n.a | 96–100/98 | 9 Gram-positive (GP-BC), 5 Gram-negative bacteria (GN-BC) | n.a. | mecA, vanA/B, CTX-M, IMP, KPC, NDM, OXA, VIM | [53,54] |
| AdvanDx | PNA FISH/QuickFISH | FISH | Blood culture | 0.1 | Direct measurement | 0.5 | 105 | 97–100/89–100 | Staphylococcus aureus and coagulase-negative Staphylococci | Yes | None | [55,56,57] |
| Number | Species | Target | CFU | Blood Donor | Pairs | MeanORIG | SDORIG | MeanPA | SDPA | t_Statistic | p-Value |
|---|---|---|---|---|---|---|---|---|---|---|---|
| 1 | E. coli | gad | 2828 | BD1 | gad_BD1_2828cfu | 33.300 | 0.368 | 16.820 | 0.000 | 63.385 | 0.010 |
| 2 | E. coli | gad | 283 | BD1 | gad_BD1_283cfu | 35.950 | 0.721 | 16.165 | 0.106 | 45.483 | 0.014 |
| 3 | E. coli | gad | 28 | BD1 | gad_BD1_28cfu | 36.530 | 19.260 | ||||
| 4 | E. coli | gad | 3 | BD1 | gad_BD1_3cfu | ||||||
| 5 | E. coli | gad | 0 | BD1 | gad_BD1_0cfu | ||||||
| 6 | E. coli | gad | 2828 | BD2 | gad_BD2_2828cfu | 32.675 | 0.021 | 17.680 | 0.806 | 27.018 | 0.024 |
| 7 | E. coli | gad | 283 | BD2 | gad_BD2_283cfu | 35.305 | 0.813 | 15.335 | 0.021 | 35.661 | 0.018 |
| 8 | E. coli | gad | 28 | BD2 | gad_BD2_28cfu | ||||||
| 9 | E. coli | gad | 3 | BD2 | gad_BD2_3cfu | ||||||
| 10 | E. coli | gad | 0 | BD2 | gad_BD2_0cfu | ||||||
| 11 | E. coli | OXA48 | 2828 | BD1 | OXA48(gad)_BD1_2828cfu | 35.825 | 0.233 | 19.365 | 0.134 | 235.143 | 0.003 |
| 12 | E. coli | OXA48 | 283 | BD1 | OXA48(gad)_BD1_283cfu | 36.830 | 20.330 | ||||
| 13 | E. coli | OXA48 | 28 | BD1 | OXA48(gad)_BD1_28cfu | ||||||
| 14 | E. coli | OXA48 | 3 | BD1 | OXA48(gad)_BD1_3cfu | ||||||
| 15 | E. coli | OXA48 | 0 | BD1 | OXA48(gad)_BD1_0cfu | ||||||
| 16 | E. coli | OXA48 | 2828 | BD2 | OXA48(gad)_BD2_2828cfu | 34.960 | 0.693 | 20.055 | 0.021 | 31.379 | 0.020 |
| 17 | E. coli | OXA48 | 283 | BD2 | OXA48(gad)_BD2_283cfu | 36.135 | 0.361 | 20.155 | 0.247 | 199.750 | 0.003 |
| 18 | E. coli | OXA48 | 28 | BD2 | OXA48(gad)_BD2_28cfu | ||||||
| 19 | E. coli | OXA48 | 3 | BD2 | OXA48(gad)_BD2_3cfu | ||||||
| 20 | E. coli | OXA48 | 0 | BD2 | OXA48(gad)_BD2_0cfu | ||||||
| 21 | E. coli | CTX-M9 | 2828 | BD1 | CTX-M9(gad)_BD1_2828cfu | 34.685 | 0.587 | 19.510 | 0.028 | 34.885 | 0.018 |
| 22 | E. coli | CTX-M9 | 283 | BD1 | CTX-M9(gad)_BD1_283cfu | 36.805 | 0.940 | 18.185 | 0.177 | 23.570 | 0.027 |
| 23 | E. coli | CTX-M9 | 28 | BD1 | CTX-M9(gad)_BD1_28cfu | ||||||
| 24 | E. coli | CTX-M9 | 3 | BD1 | CTX-M9(gad)_BD1_3cfu | ||||||
| 25 | E. coli | CTX-M9 | 0 | BD1 | CTX-M9(gad)_BD1_0cfu | ||||||
| 26 | E. coli | CTX-M9 | 2828 | BD2 | CTX-M9(gad)_BD2_2828cfu | 33.675 | 0.304 | 21.220 | 0.467 | 108.304 | 0.006 |
| 27 | E. coli | CTX-M9 | 283 | BD2 | CTX-M9(gad)_BD2_283cfu | 36.740 | 0.170 | 18.385 | 0.078 | 104.886 | 0.006 |
| 28 | E. coli | CTX-M9 | 28 | BD2 | CTX-M9(gad)_BD2_28cfu | ||||||
| 29 | E. coli | CTX-M9 | 3 | BD2 | CTX-M9(gad)_BD2_3cfu | ||||||
| 30 | E. coli | CTX-M9 | 0 | BD2 | CTX-M9(gad)_BD2_0cfu | ||||||
| 31 | E. coli | BG_IPC | 2828 | BD1 | IPC_gad_BD1_2828cfu | 34.825 | 0.318 | 18.630 | 0.141 | 129.560 | 0.005 |
| 32 | E. coli | BG_IPC | 283 | BD1 | IPC_gad_BD1_283cfu | 34.580 | 0.354 | 13.765 | 0.219 | 51.395 | 0.012 |
| 33 | E. coli | BG_IPC | 28 | BD1 | IPC_gad_BD1_28cfu | 35.715 | 0.078 | 12.660 | 0.113 | 170.778 | 0.004 |
| 34 | E. coli | BG_IPC | 3 | BD1 | IPC_gad_BD1_3cfu | 34.880 | 0.750 | 13.600 | 0.085 | 36.068 | 0.018 |
| 35 | E. coli | BG_IPC | 0 | BD1 | IPC_gad_BD1_0cfu | 35.805 | 0.771 | 12.400 | 1.047 | 18.214 | 0.035 |
| 36 | E. coli | BG_IPC | 2828 | BD2 | IPC_gad_BD2_2828cfu | 33.540 | 0.085 | 19.315 | 0.021 | 316.111 | 0.002 |
| 37 | E. coli | BG_IPC | 283 | BD2 | IPC_gad_BD2_283cfu | 35.320 | 1.018 | 12.530 | 0.198 | 26.500 | 0.024 |
| 38 | E. coli | BG_IPC | 28 | BD2 | IPC_gad_BD2_28cfu | 34.400 | 0.368 | 12.070 | 0.127 | 63.800 | 0.010 |
| 39 | E. coli | BG_IPC | 3 | BD2 | IPC_gad_BD2_3cfu | 35.480 | 0.184 | 13.000 | 0.481 | 107.048 | 0.006 |
| 40 | E. coli | BG_IPC | 0 | BD2 | IPC_gad_BD2_0cfu | 36.615 | 1.138 | 13.615 | 0.191 | 34.328 | 0.019 |
| 41 | K. pneumoniae | khe | 3831 | BD1 | khe_BD1_3831cfu | 36.720 | 1.584 | 18.145 | 0.007 | 16.659 | 0.038 |
| 42 | K. pneumoniae | khe | 383 | BD1 | khe_BD1_383cfu | 41.540 | 20.335 | 0.007 | |||
| 43 | K. pneumoniae | khe | 38 | BD1 | khe_BD1_38cfu | ||||||
| 44 | K. pneumoniae | khe | 4 | BD1 | khe_BD1_4cfu | ||||||
| 45 | K. pneumoniae | khe | 0 | BD1 | khe_BD1_0cfu | ||||||
| 46 | K. pneumoniae | khe | 3831 | BD2 | khe_BD2_3831cfu | 37.585 | 0.346 | 16.255 | 0.007 | 85.320 | 0.007 |
| 47 | K. pneumoniae | khe | 383 | BD2 | khe_BD2_383cfu | 39.540 | 20.305 | 0.021 | |||
| 48 | K. pneumoniae | khe | 38 | BD2 | khe_BD2_38cfu | ||||||
| 49 | K. pneumoniae | khe | 4 | BD2 | khe_BD2_4cfu | ||||||
| 50 | K. pneumoniae | khe | 0 | BD2 | khe_BD2_0cfu | ||||||
| 51 | K. pneumoniae | OXA48 | 3831 | BD1 | OXA48(khe)_BD1_3831cfu | 35.825 | 0.233 | 19.365 | 0.134 | 235.143 | 0.003 |
| 52 | K. pneumoniae | OXA48 | 383 | BD1 | OXA48(khe)_BD1_383cfu | 36.830 | 20.240 | 0.127 | |||
| 53 | K. pneumoniae | OXA48 | 38 | BD1 | OXA48(khe)_BD1_38cfu | 39.150 | 0.580 | ||||
| 54 | K. pneumoniae | OXA48 | 4 | BD1 | OXA48(khe)_BD1_4cfu | 40.320 | |||||
| 55 | K. pneumoniae | OXA48 | 0 | BD1 | OXA48(khe)_BD1_0cfu | ||||||
| 56 | K. pneumoniae | OXA48 | 3831 | BD2 | OXA48(khe)_BD2_3831cfu | 34.960 | 0.693 | 20.055 | 0.021 | 31.379 | 0.020 |
| 57 | K. pneumoniae | OXA48 | 383 | BD2 | OXA48(khe)_BD2_383cfu | 36.135 | 0.361 | 20.155 | 0.247 | 199.750 | 0.003 |
| 58 | K. pneumoniae | OXA48 | 38 | BD2 | OXA48(khe)_BD2_38cfu | 24.315 | 0.262 | ||||
| 59 | K. pneumoniae | OXA48 | 4 | BD2 | OXA48(khe)_BD2_4cfu | 25.775 | 0.078 | ||||
| 60 | K. pneumoniae | OXA48 | 0 | BD2 | OXA48(khe)_BD2_0cfu | ||||||
| 61 | K. pneumoniae | CTX-M15 | 3831 | BD1 | CTX-M15(khe)_BD1_3831cfu | 36.925 | 0.092 | 14.725 | 0.163 | 444.000 | 0.001 |
| 62 | K. pneumoniae | CTX-M15 | 383 | BD1 | CTX-M15(khe)_BD1_383cfu | 37.510 | 15.950 | 0.184 | |||
| 63 | K. pneumoniae | CTX-M15 | 38 | BD1 | CTX-M15(khe)_BD1_38cfu | ||||||
| 64 | K. pneumoniae | CTX-M15 | 4 | BD1 | CTX-M15(khe)_BD1_4cfu | ||||||
| 65 | K. pneumoniae | CTX-M15 | 0 | BD1 | CTX-M15(khe)_BD1_0cfu | ||||||
| 66 | K. pneumoniae | CTX-M15 | 3831 | BD2 | CTX-M15(khe)_BD2_3831cfu | 35.755 | 0.361 | 13.140 | 0.127 | 137.061 | 0.005 |
| 67 | K. pneumoniae | CTX-M15 | 383 | BD2 | CTX-M15(khe)_BD2_383cfu | 37.130 | 1.061 | 16.105 | 0.049 | 29.406 | 0.022 |
| 68 | K. pneumoniae | CTX-M15 | 38 | BD2 | CTX-M15(khe)_BD2_38cfu | ||||||
| 69 | K. pneumoniae | CTX-M15 | 4 | BD2 | CTX-M15(khe)_BD2_4cfu | ||||||
| 70 | K. pneumoniae | CTX-M15 | 0 | BD2 | CTX-M15(khe)_BD2_0cfu | ||||||
| 71 | K. pneumoniae | BG_IPC | 2828 | BD1 | IPC_khe_BD1_2828cfu | 34.260 | 0.099 | 13.330 | 0.014 | 348.833 | 0.002 |
| 72 | K. pneumoniae | BG_IPC | 283 | BD1 | IPC_khe_BD1_283cfu | 34.550 | 0.467 | 12.860 | 0.198 | 46.149 | 0.014 |
| 73 | K. pneumoniae | BG_IPC | 28 | BD1 | IPC_khe_BD1_28cfu | 35.320 | 0.382 | 12.755 | 0.177 | 155.621 | 0.004 |
| 74 | K. pneumoniae | BG_IPC | 3 | BD1 | IPC_khe_BD1_3cfu | 34.410 | 1.640 | 11.890 | 0.042 | 19.929 | 0.032 |
| 75 | K. pneumoniae | BG_IPC | 0 | BD1 | IPC_khe_BD1_0cfu | 34.685 | 0.460 | 12.475 | 0.247 | 44.420 | 0.014 |
| 76 | K. pneumoniae | BG_IPC | 2828 | BD2 | IPC_khe_BD2_2828cfu | 34.440 | 0.141 | 13.285 | 0.049 | 325.462 | 0.002 |
| 77 | K. pneumoniae | BG_IPC | 283 | BD2 | IPC_khe_BD2_283cfu | 33.430 | 0.113 | 13.555 | 0.445 | 50.316 | 0.013 |
| 78 | K. pneumoniae | BG_IPC | 28 | BD2 | IPC_khe_BD2_28cfu | 34.890 | 0.424 | 12.185 | 0.035 | 82.564 | 0.008 |
| 79 | K. pneumoniae | BG_IPC | 3 | BD2 | IPC_khe_BD2_3cfu | 35.460 | 1.131 | 13.190 | 0.014 | 27.494 | 0.023 |
| 80 | K. pneumoniae | BG_IPC | 0 | BD2 | IPC_khe_BD2_0cfu | 35.515 | 0.601 | 19.740 | 0.156 | 29.486 | 0.022 |
| 81 | E. faecium | aac6 | 0 | BD1 | aac6_BD1_0cfu | ||||||
| 82 | E. faecium | aac6 | 1 | BD1 | aac6_BD1_1cfu | 13.905 | 0.049 | ||||
| 83 | E. faecium | aac6 | 8 | BD1 | aac6_BD1_8cfu | 37.880 | 16.455 | 0.078 | |||
| 84 | E. faecium | aac6 | 78 | BD1 | aac6_BD1_78cfu | 37.530 | 13.840 | 0.028 | |||
| 85 | E. faecium | aac6 | 784 | BD1 | aac6_BD1_784cfu | 35.880 | 0.919 | 11.150 | 0.014 | 38.641 | 0.016 |
| 86 | E. faecium | aac6 | 0 | BD2 | aac6_BD2_0cfu | ||||||
| 87 | E. faecium | aac6 | 1 | BD2 | aac6_BD2_1cfu | ||||||
| 88 | E. faecium | aac6 | 8 | BD2 | aac6_BD2_8cfu | ||||||
| 89 | E. faecium | aac6 | 78 | BD2 | aac6_BD2_78cfu | 14.065 | 0.078 | ||||
| 90 | E. faecium | aac6 | 784 | BD2 | aac6_BD2_784cfu | 35.905 | 0.516 | 11.225 | 0.148 | 52.511 | 0.012 |
| 91 | E. faecium | vanB | 0 | BD1 | vanB_BD1_0cfu | ||||||
| 92 | E. faecium | vanB | 1 | BD1 | vanB_BD1_1cfu | 38.020 | 14.605 | 0.092 | |||
| 93 | E. faecium | vanB | 8 | BD1 | vanB_BD1_8cfu | 15.035 | 0.064 | ||||
| 94 | E. faecium | vanB | 78 | BD1 | vanB_BD1_78cfu | 38.430 | 13.420 | 0.028 | |||
| 95 | E. faecium | vanB | 784 | BD1 | vanB_BD1_784cfu | 36.455 | 0.106 | 10.240 | 0.014 | 308.412 | 0.002 |
| 96 | E. faecium | vanB | 0 | BD2 | vanB_BD2_0cfu | ||||||
| 97 | E. faecium | vanB | 1 | BD2 | vanB_BD2_1cfu | 14.900 | 0.042 | ||||
| 98 | E. faecium | vanB | 8 | BD2 | vanB_BD2_8cfu | ||||||
| 99 | E. faecium | vanB | 78 | BD2 | vanB_BD2_78cfu | 12.580 | 0.099 | ||||
| 100 | E. faecium | vanB | 784 | BD2 | vanB_BD2_784cfu | 37.090 | 0.481 | 10.675 | 0.007 | 78.851 | 0.008 |
| 101 | E. faecium | BG_IPC | 0 | BD1 | IPC_aac6_BD1_0cfu | 36.180 | 0.537 | 9.765 | 0.092 | 59.360 | 0.011 |
| 102 | E. faecium | BG_IPC | 1 | BD1 | IPC_aac6_BD1_1cfu | 34.800 | 0.537 | 8.860 | 0.000 | 68.263 | 0.009 |
| 103 | E. faecium | BG_IPC | 8 | BD1 | IPC_aac6_BD1_8cfu | 34.920 | 0.453 | 8.130 | 0.156 | 127.571 | 0.005 |
| 104 | E. faecium | BG_IPC | 78 | BD1 | IPC_aac6_BD1_78cfu | 36.370 | 0.467 | 9.755 | 0.064 | 70.973 | 0.009 |
| 105 | E. faecium | BG_IPC | 784 | BD1 | IPC_aac6_BD1_784cfu | 35.845 | 0.742 | 9.810 | 0.127 | 59.851 | 0.011 |
| 106 | E. faecium | BG_IPC | 0 | BD2 | IPC_aac6_BD2_0cfu | 34.535 | 0.757 | 8.695 | 0.106 | 42.361 | 0.015 |
| 107 | E. faecium | BG_IPC | 1 | BD2 | IPC_aac6_BD2_1cfu | 34.655 | 0.827 | 7.865 | 0.007 | 46.190 | 0.014 |
| 108 | E. faecium | BG_IPC | 8 | BD2 | IPC_aac6_BD2_8cfu | 36.280 | 0.042 | 10.920 | 0.042 | 422.667 | 0.002 |
| 109 | E. faecium | BG_IPC | 78 | BD2 | IPC_aac6_BD2_78cfu | 35.005 | 0.361 | 9.265 | 0.007 | 102.960 | 0.006 |
| 110 | E. faecium | BG_IPC | 784 | BD2 | IPC_aac6_BD2_784cfu | 35.660 | 10.840 | 0.099 | |||
| 111 | S. aureus | gapA | 1388 | BD1 | gapA_BD1_1388cfu | 37.745 | 1.322 | 15.380 | 0.042 | 24.713 | 0.026 |
| 112 | S. aureus | gapA | 138 | BD1 | gapA_BD1_138cfu | 17.710 | 0.042 | ||||
| 113 | S. aureus | gapA | 14 | BD1 | gapA_BD1_14cfu | 21.470 | 0.014 | ||||
| 114 | S. aureus | gapA | 1 | BD1 | gapA_BD1_1cfu | 41.365 | 0.148 | ||||
| 115 | S. aureus | gapA | 0 | BD1 | gapA_BD1_0cfu | ||||||
| 116 | S. aureus | gapA | 1388 | BD2 | gapA_BD2_1388cfu | 35.600 | 0.127 | 29.040 | 0.014 | 65.600 | 0.010 |
| 117 | S. aureus | gapA | 138 | BD2 | gapA_BD2_138cfu | 37.140 | 17.635 | 0.106 | |||
| 118 | S. aureus | gapA | 14 | BD2 | gapA_BD2_14cfu | ||||||
| 119 | S. aureus | gapA | 1 | BD2 | gapA_BD2_1cfu | 39.025 | 0.078 | ||||
| 120 | S. aureus | gapA | 0 | BD2 | gapA_BD2_0cfu | ||||||
| 121 | S. aureus | mecA | 1388 | BD1 | mecA(gapA)_BD1_1388cfu | 37.745 | 1.322 | 20.270 | 0.113 | 20.439 | 0.031 |
| 122 | S. aureus | mecA | 138 | BD1 | mecA(gapA)_BD1_138cfu | 23.910 | 0.269 | ||||
| 123 | S. aureus | mecA | 14 | BD1 | mecA(gapA)_BD1_14cfu | ||||||
| 124 | S. aureus | mecA | 1 | BD1 | mecA(gapA)_BD1_1cfu | ||||||
| 125 | S. aureus | mecA | 0 | BD1 | mecA(gapA)_BD1_0cfu | ||||||
| 126 | S. aureus | mecA | 1388 | BD2 | mecA(gapA)_BD2_1388cfu | 35.600 | 0.127 | 27.740 | 0.071 | 56.143 | 0.011 |
| 127 | S. aureus | mecA | 138 | BD2 | mecA(gapA)_BD2_138cfu | 37.140 | 22.475 | 0.049 | |||
| 128 | S. aureus | mecA | 14 | BD2 | mecA(gapA)_BD2_14cfu | ||||||
| 129 | S. aureus | mecA | 1 | BD2 | mecA(gapA)_BD2_1cfu | ||||||
| 130 | S. aureus | mecA | 0 | BD2 | mecA(gapA)_BD2_0cfu | ||||||
| 131 | S. aureus | BG_IPC | 1 | BD1 | IPC_gapA_BD1_1cfu | 37.470 | 10.675 | 0.148 | |||
| 132 | S. aureus | BG_IPC | 784 | BD1 | IPC_gapA_BD1_784cfu | 14.235 | 0.233 | ||||
| 133 | S. aureus | BG_IPC | 78 | BD1 | IPC_gapA_BD1_78cfu | 35.880 | 12.460 | 0.099 | |||
| 134 | S. aureus | BG_IPC | 8 | BD1 | IPC_gapA_BD1_8cfu | 36.470 | 10.435 | 0.064 | |||
| 135 | S. aureus | BG_IPC | 0 | BD1 | IPC_gapA_BD1_0cfu | 33.790 | 0.141 | 8.715 | 0.092 | 716.429 | 0.001 |
| 136 | S. aureus | BG_IPC | 1 | BD2 | IPC_gapA_BD2_1cfu | 13.100 | 0.156 | ||||
| 137 | S. aureus | BG_IPC | 784 | BD2 | IPC_gapA_BD2_784cfu | 35.205 | 0.955 | 24.085 | 0.035 | 17.108 | 0.037 |
| 138 | S. aureus | BG_IPC | 78 | BD2 | IPC_gapA_BD2_78cfu | 37.330 | 15.190 | 0.113 | |||
| 139 | S. aureus | BG_IPC | 8 | BD2 | IPC_gapA_BD2_8cfu | 37.445 | 0.021 | 13.425 | 0.021 | 800.667 | 0.001 |
| 140 | S. aureus | BG_IPC | 0 | BD2 | IPC_gapA_BD2_0cfu | 37.145 | 0.445 | 12.115 | 0.148 | 119.190 | 0.005 |
References
- Bauer, M.; Gerlach, H.; Vogelmann, T.; Preissing, F.; Stiefel, J.; Adam, D. Mortality in sepsis and septic shock in Europe, North America and Australia between 2009 and 2019- results from a systematic review and meta-analysis. Crit. Care 2020, 24, 239. [Google Scholar] [CrossRef]
- Tsalik, E.L.; Jones, D.; Nicholson, B.; Waring, L.; Liesenfeld, O.; Park, L.P.; Glickman, S.W.; Caram, L.B.; Langley, R.J.; van Velkinburgh, J.C.; et al. Multiplex PCR to diagnose bloodstream infections in patients admitted from the emergency department with sepsis. J. Clin. Microbiol. 2010, 48, 26–33. [Google Scholar] [CrossRef]
- Cheng, M.P.; Stenstrom, R.; Paquette, K.; Stabler, S.N.; Akhter, M.; Davidson, A.C.; Gavric, M.; Lawandi, A.; Jinah, R.; Saeed, Z.; et al. Blood Culture Results Before and After Antimicrobial Administration in Patients With Severe Manifestations of Sepsis: A Diagnostic Study. Ann. Intern. Med. 2019, 171, 547–554. [Google Scholar] [CrossRef]
- Li, Y.; Guo, J.; Yang, H.; Li, H.; Shen, Y.; Zhang, D. Comparison of culture-negative and culture-positive sepsis or septic shock: A systematic review and meta-analysis. Crit. Care 2021, 25, 167. [Google Scholar] [CrossRef]
- Valles, J.; Rello, J.; Ochagavia, A.; Garnacho, J.; Alcala, M.A. Community-acquired bloodstream infection in critically ill adult patients: Impact of shock and inappropriate antibiotic therapy on survival. Chest 2003, 123, 1615–1624. [Google Scholar] [CrossRef]
- Kumar, A.; Roberts, D.; Wood, K.E.; Light, B.; Parrillo, J.E.; Sharma, S.; Suppes, R.; Feinstein, D.; Zanotti, S.; Taiberg, L.; et al. Duration of hypotension before initiation of effective antimicrobial therapy is the critical determinant of survival in human septic shock. Crit. Care Med. 2006, 34, 1589–1596. [Google Scholar] [CrossRef]
- Brouqui, P.; Raoult, D. Endocarditis Due to Rare and Fastidious Bacteria. Clin. Microbiol. Rev. 2001, 14, 177–207. [Google Scholar] [CrossRef]
- Dähler, R.; Brugger, S.D.; Frank, M.; Greutmann, M.; Sromicki, J.; Marques-Maggio, E.; Imkamp, F.; Bauernschmitt, R.; Carrel, T.; Zinkernagel, A.S.; et al. A retrospective analysis of blood culture-negative endocarditis at a tertiary care centre in Switzerland. Swiss Med. Wkly. 2022, 152, 40016. [Google Scholar] [CrossRef]
- Clancy, C.J.; Nguyen, M.H. Finding the “missing 50%” of invasive candidiasis: How nonculture diagnostics will improve understanding of disease spectrum and transform patient care. Clin. Infect. Dis. 2013, 56, 1284–1292. [Google Scholar] [CrossRef]
- Yagupsky, P.; Nolte, F.S. Quantitative aspects of septicemia. Clin. Microbiol. Rev. 1990, 3, 269–279. [Google Scholar] [CrossRef]
- Akane, A.; Matsubara, K.; Nakamura, H.; Takahashi, S.; Kimura, K. Identification of the heme compound copurified with deoxyribonucleic acid (DNA) from bloodstains, a major inhibitor of polymerase chain reaction (PCR) amplification. J. Forensic Sci. 1994, 39, 362–372. [Google Scholar] [CrossRef]
- Al-Soud, W.A.; Jönsson, L.J.; Rådström, P. Identification and characterization of immunoglobulin G in blood as a major inhibitor of diagnostic PCR. J. Clin. Microbiol. 2000, 38, 345–350. [Google Scholar] [CrossRef]
- Yokota, M.; Tatsumi, N.; Nathalang, O.; Yamada, T.; Tsuda, I. Effects of heparin on polymerase chain reaction for blood white cells. J. Clin. Lab. Anal. 1999, 13, 133–140. [Google Scholar] [CrossRef]
- Sidstedt, M.; Hedman, J.; Romsos, E.L.; Waitara, L.; Wadsö, L.; Steffen, C.R.; Vallone, P.M.; Rådström, P. Inhibition mechanisms of hemoglobin, immunoglobulin G, and whole blood in digital and real-time PCR. Anal. Bioanal. Chem. 2018, 410, 2569–2583. [Google Scholar] [CrossRef]
- Trung, N.T.; Hien, T.T.; Huyen, T.T.; Quyen, D.T.; Van Son, T.; Hoan, P.Q.; Phuong, N.T.; Lien, T.T.; Binh, M.T.; Van Tong, H.; et al. Enrichment of bacterial DNA for the diagnosis of blood stream infections. BMC Infect. Dis. 2016, 16, 235. [Google Scholar] [CrossRef]
- Peker, N.; Couto, N.; Sinha, B.; Rossen, J.W. Diagnosis of bloodstream infections from positive blood cultures and directly from blood samples: Recent developments in molecular approaches. Clin. Microbiol. Infect. 2018, 24, 944–955. [Google Scholar] [CrossRef]
- Kothari, A.; Morgan, M.; Haake, D.A. Emerging technologies for rapid identification of bloodstream pathogens. Clin. Infect. Dis. 2014, 59, 272–278. [Google Scholar] [CrossRef]
- Mwaigwisya, S.; Assiri, R.A.; O’Grady, J. Emerging commercial molecular tests for the diagnosis of bloodstream infection. Expert Rev. Mol. Diagn. 2015, 15, 681–692. [Google Scholar] [CrossRef]
- Sohrabi, H.; Majidi, M.R.; Fakhraei, M.; Jahanban-Esfahlan, A.; Hejazi, M.; Oroojalian, F.; Baradaran, B.; Tohidast, M.; Guardia, M.d.l.; Mokhtarzadeh, A. Lateral flow assays (LFA) for detection of pathogenic bacteria: A small point-of-care platform for diagnosis of human infectious diseases. Talanta 2022, 243, 123330. [Google Scholar] [CrossRef]
- Bohlander, S.K.; Espinosa, R., 3rd; Le Beau, M.M.; Rowley, J.D.; Diaz, M.O. A method for the rapid sequence-independent amplification of microdissected chromosomal material. Genomics 1992, 13, 1322–1324. [Google Scholar] [CrossRef]
- Banerjee, R.; Patel, R. Molecular diagnostics for genotypic detection of antibiotic resistance: Current landscape and future directions. JAC Antimicrob. Resist. 2023, 5, dlad018. [Google Scholar] [CrossRef]
- Liesenfeld, O.; Lehman, L.; Hunfeld, K.P.; Kost, G. Molecular diagnosis of sepsis: New aspects and recent developments. Eur. J. Microbiol. Immunol. (Bp) 2014, 4, 1–25. [Google Scholar] [CrossRef] [PubMed]
- Sinha, M.; Jupe, J.; Mack, H.; Coleman, T.P.; Lawrence, S.M.; Fraley, S.I. Emerging Technologies for Molecular Diagnosis of Sepsis. Clin. Microbiol. Rev. 2018, 31, e00089-17. [Google Scholar] [CrossRef]
- Zhou, Y.; Shi, W.; Wen, Y.; Mao, E.; Ni, T. Comparison of pathogen detection consistency between metagenomic next-generation sequencing and blood culture in patients with suspected bloodstream infection. Sci. Rep. 2023, 13, 9460. [Google Scholar] [CrossRef]
- Vernon, S.D.; Shukla, S.K.; Conradt, J.; Unger, E.R.; Reeves, W.C. Analysis of 16S rRNA gene sequences and circulating cell-free DNA from plasma of chronic fatigue syndrome and non-fatigued subjects. BMC Microbiol. 2002, 2, 39. [Google Scholar] [CrossRef]
- Smith, M. Validating Real-Time Polymerase Chain Reaction (PCR) Assays. In Encyclopedia of Virology; Bamford, D.H., Zuckerman, M., Eds.; Elsevier: Amsterdam, The Netherlands, 2021; pp. 35–44. Available online: https://www.sciencedirect.com/referencework/9780128145166/encyclopedia-of-virology (accessed on 20 November 2023).
- Forootan, A.; Sjöback, R.; Björkman, J.; Sjögreen, B.; Linz, L.; Kubista, M. Methods to determine limit of detection and limit of quantification in quantitative real-time PCR (qPCR). Biomol. Detect. Quantif. 2017, 12, 1–6. [Google Scholar] [CrossRef]
- Vaks, J.E. New method of evaluation of limit of detection in molecular diagnostics. In Proceedings of the Joint Statistical Meetings, Vancouver, BC, Canada, 28 July–2 August 2018; pp. 529–543. [Google Scholar]
- VanAken, S.M.; Newton, D.; VanEpps, J.S. Improved diagnostic prediction of the pathogenicity of bloodstream isolates of Staphylococcus epidermidis. PLoS ONE 2021, 16, e0241457. [Google Scholar] [CrossRef]
- Collatz, M.; Braun, S.D.; Monecke, S.; Ehricht, R. ConsensusPrime—A Bioinformatic Pipeline for Ideal Consensus Primer Design. BioMedInformatics 2022, 2, 637–642. [Google Scholar] [CrossRef]
- Metzgar, D.; Frinder, M.W.; Rothman, R.E.; Peterson, S.; Carroll, K.C.; Zhang, S.X.; Avornu, G.D.; Rounds, M.A.; Carolan, H.E.; Toleno, D.M.; et al. The IRIDICA BAC BSI Assay: Rapid, Sensitive and Culture-Independent Identification of Bacteria and Candida in Blood. PLoS ONE 2016, 11, e0158186. [Google Scholar] [CrossRef]
- Stevenson, M.; Pandor, A.; Martyn-St James, M.; Rafia, R.; Uttley, L.; Stevens, J.; Sanderson, J.; Wong, R.; Perkins, G.D.; McMullan, R.; et al. Sepsis: The LightCycler SeptiFast Test MGRADE(R), SepsiTest and IRIDICA BAC BSI assay for rapidly identifying bloodstream bacteria and fungi—A systematic review and economic evaluation. Health Technol. Assess. 2016, 20, 1–246. [Google Scholar] [CrossRef]
- Jordana-Lluch, E.; Giménez, M.; Quesada, M.D.; Rivaya, B.; Marcó, C.; Domínguez, M.J.; Arméstar, F.; Martró, E.; Ausina, V. Evaluation of the Broad-Range PCR/ESI-MS Technology in Blood Specimens for the Molecular Diagnosis of Bloodstream Infections. PLoS ONE 2015, 10, e0140865. [Google Scholar] [CrossRef]
- Haag, H.; Locher, F.; Nolte, O. Molecular diagnosis of microbial aetiologies using SepsiTest™ in the daily routine of a diagnostic laboratory. Diagn. Microbiol. Infect. Dis. 2013, 76, 413–418. [Google Scholar] [CrossRef]
- Sutherland, A.; Thomas, M.; Brandon, R.A.; Brandon, R.B.; Lipman, J.; Tang, B.; McLean, A.; Pascoe, R.; Price, G.; Nguyen, T.; et al. Development and validation of a novel molecular biomarker diagnostic test for the early detection of sepsis. Crit. Care 2011, 15, R149. [Google Scholar] [CrossRef]
- McHugh, L.; Seldon, T.A.; Brandon, R.A.; Kirk, J.T.; Rapisarda, A.; Sutherland, A.J.; Presneill, J.J.; Venter, D.J.; Lipman, J.; Thomas, M.R.; et al. A Molecular Host Response Assay to Discriminate Between Sepsis and Infection-Negative Systemic Inflammation in Critically Ill Patients: Discovery and Validation in Independent Cohorts. PLOS Med. 2015, 12, e1001916. [Google Scholar] [CrossRef] [PubMed]
- Fitting, C.; Parlato, M.; Adib-Conquy, M.; Memain, N.; Philippart, F.; Misset, B.; Monchi, M.; Cavaillon, J.M.; Adrie, C. DNAemia detection by multiplex PCR and biomarkers for infection in systemic inflammatory response syndrome patients. PLoS ONE 2012, 7, e38916. [Google Scholar] [CrossRef] [PubMed]
- Schreiber, J.; Nierhaus, A.; Braune, S.A.; de Heer, G.; Kluge, S. Comparison of three different commercial PCR assays for the detection of pathogens in critically ill sepsis patients. Med. Klin. Intensivmed. Notfmed. 2013, 108, 311–318. [Google Scholar] [CrossRef]
- Peri, A.M.; Harris, P.N.A.; Paterson, D.L. Culture-independent detection systems for bloodstream infection. Clin. Microbiol. Infect. 2022, 28, 195–201. [Google Scholar] [CrossRef] [PubMed]
- Denina, M.; Scolfaro, C.; Colombo, S.; Calitri, C.; Garazzino, S.; Barbui Anna, A.; Brossa, S.; Tovo, P.A. Magicplex(TM) Sepsis Real-Time test to improve bloodstream infection diagnostics in children. Eur. J. Pediatr. 2016, 175, 1107–1111. [Google Scholar] [CrossRef]
- Neely, L.A.; Audeh, M.; Phung, N.A.; Min, M.; Suchocki, A.; Plourde, D.; Blanco, M.; Demas, V.; Skewis, L.R.; Anagnostou, T.; et al. T2 magnetic resonance enables nanoparticle-mediated rapid detection of candidemia in whole blood. Sci. Transl. Med. 2013, 5, 182ra154. [Google Scholar] [CrossRef] [PubMed]
- Mylonakis, E.; Zacharioudakis, I.M.; Clancy, C.J.; Nguyen, M.H.; Pappas, P.G. Efficacy of T2 Magnetic Resonance Assay in Monitoring Candidemia after Initiation of Antifungal Therapy: The Serial Therapeutic and Antifungal Monitoring Protocol (STAMP) Trial. J. Clin. Microbiol. 2018, 56, e01756-17. [Google Scholar] [CrossRef] [PubMed]
- De Angelis, G.; Posteraro, B.; De Carolis, E.; Menchinelli, G.; Franceschi, F.; Tumbarello, M.; De Pascale, G.; Spanu, T.; Sanguinetti, M. T2Bacteria magnetic resonance assay for the rapid detection of ESKAPEc pathogens directly in whole blood. J. Antimicrob. Chemother. 2018, 73, iv20–iv26. [Google Scholar] [CrossRef]
- Nguyen, M.H.; Clancy, C.J.; Pasculle, A.W.; Pappas, P.G.; Alangaden, G.; Pankey, G.A.; Schmitt, B.H.; Rasool, A.; Weinstein, M.P.; Widen, R.; et al. Performance of the T2Bacteria Panel for Diagnosing Bloodstream Infections: A Diagnostic Accuracy Study. Ann. Intern. Med. 2019, 170, 845–852. [Google Scholar] [CrossRef]
- Brenner, T.; Skarabis, A.; Stevens, P.; Axnick, J.; Haug, P.; Grumaz, S.; Bruckner, T.; Luntz, S.; Witzke, O.; Pletz, M.W.; et al. Optimization of sepsis therapy based on patient-specific digital precision diagnostics using next generation sequencing (DigiSep-Trial)-study protocol for a randomized, controlled, interventional, open-label, multicenter trial. Trials 2021, 22, 714. [Google Scholar] [CrossRef]
- Brenner, T.; Decker, S.O.; Grumaz, S.; Stevens, P.; Bruckner, T.; Schmoch, T.; Pletz, M.W.; Bracht, H.; Hofer, S.; Marx, G.; et al. Next-generation sequencing diagnostics of bacteremia in sepsis (Next GeneSiS-Trial): Study protocol of a prospective, observational, noninterventional, multicenter, clinical trial. Medicine 2018, 97, e9868. [Google Scholar] [CrossRef]
- Ziegler, S.; Disqué, C.; Grumaz, S.; Sakka, S.G. Potential impact of cell-free DNA blood testing in the diagnosis of sepsis. Int. J. Infect. Dis. 2022, 119, 77–79. [Google Scholar] [CrossRef]
- Buchan, B.W.; Allen, S.; Burnham, C.-A.D.; TeKippe, E.M.; Davis, T.; Levi, M.; Mayne, D.; Pancholi, P.; Relich, R.F.; Thomson, R.; et al. Comparison of the Next-Generation Xpert MRSA/SA BC Assay and the GeneOhm StaphSR Assay to Routine Culture for Identification of Staphylococcus aureus and Methicillin-Resistant S. aureus in Positive-Blood-Culture Broths. J. Clin. Microbiol. 2015, 53, 804–809. [Google Scholar] [CrossRef] [PubMed][Green Version]
- Spencer, D.H.; Sellenriek, P.; Burnham, C.A. Validation and implementation of the GeneXpert MRSA/SA blood culture assay in a pediatric setting. Am. J. Clin. Pathol. 2011, 136, 690–694. [Google Scholar] [CrossRef]
- Burrack-Lange, S.C.; Personne, Y.; Huber, M.; Winkler, E.; Weile, J.; Knabbe, C.; Görig, J.; Rohde, H. Multicenter assessment of the rapid Unyvero Blood Culture molecular assay. J. Med. Microbiol. 2018, 67, 1294–1301. [Google Scholar] [CrossRef]
- Salimnia, H.; Fairfax, M.R.; Lephart, P.R.; Schreckenberger, P.; DesJarlais, S.M.; Johnson, J.K.; Robinson, G.; Carroll, K.C.; Greer, A.; Morgan, M.; et al. Evaluation of the FilmArray Blood Culture Identification Panel: Results of a Multicenter Controlled Trial. J. Clin. Microbiol. 2016, 54, 687–698. [Google Scholar] [CrossRef]
- Pardo, J.; Klinker, K.P.; Borgert, S.J.; Butler, B.M.; Giglio, P.G.; Rand, K.H. Clinical and economic impact of antimicrobial stewardship interventions with the FilmArray blood culture identification panel. Diagn. Microbiol. Infect. Dis. 2016, 84, 159–164. [Google Scholar] [CrossRef] [PubMed]
- Mancini, N.; Infurnari, L.; Ghidoli, N.; Valzano, G.; Clementi, N.; Burioni, R.; Clementi, M. Potential impact of a microarray-based nucleic acid assay for rapid detection of Gram-negative bacteria and resistance markers in positive blood cultures. J. Clin. Microbiol. 2014, 52, 1242–1245. [Google Scholar] [CrossRef]
- Wojewoda, C.M.; Sercia, L.; Navas, M.; Tuohy, M.; Wilson, D.; Hall, G.S.; Procop, G.W.; Richter, S.S. Evaluation of the Verigene Gram-positive blood culture nucleic acid test for rapid detection of bacteria and resistance determinants. J. Clin. Microbiol. 2013, 51, 2072–2076. [Google Scholar] [CrossRef]
- Florio, W.; Morici, P.; Ghelardi, E.; Barnini, S.; Lupetti, A. Recent advances in the microbiological diagnosis of bloodstream infections. Crit. Rev. Microbiol. 2018, 44, 351–370. [Google Scholar] [CrossRef] [PubMed]
- Deck, M.K.; Anderson, E.S.; Buckner, R.J.; Colasante, G.; Coull, J.M.; Crystal, B.; Della Latta, P.; Fuchs, M.; Fuller, D.; Harris, W.; et al. Multicenter evaluation of the Staphylococcus QuickFISH method for simultaneous identification of Staphylococcus aureus and coagulase-negative staphylococci directly from blood culture bottles in less than 30 minutes. J. Clin. Microbiol. 2012, 50, 1994–1998. [Google Scholar] [CrossRef] [PubMed]
- Oliveira, K.; Procop Gary, W.; Wilson, D.; Coull, J.; Stender, H. Rapid Identification of Staphylococcus aureus Directly from Blood Cultures by Fluorescence In Situ Hybridization with Peptide Nucleic Acid Probes. J. Clin. Microbiol. 2002, 40, 247–251. [Google Scholar] [CrossRef] [PubMed]






| Initial Concentration of Target-DNA | 2 × 102 GE | 2 × 101 GE | ||||
|---|---|---|---|---|---|---|
| Background DNA | IPC | IPC/human | IPC | IPC/human | ||
| Calculated Concentration after Pre-Amplification | ||||||
| Species | Marker | GE/rxn | GE/rxn | GE/rxn | GE/rxn | |
| A. baumannii | Species | basC | 3.5 × 108 | 2.5 × 105 | 6.1 × 107 | 2.0 × 104 |
| E. coli | gad | 1.8 × 108 | 1.5 × 105 | 2.8 × 107 | 4.4 × 103 | |
| P. aeruginosa | ecfX | 2.2 × 107 | 4.8 × 103 | 4.5 × 106 | 4.2 × 103 | |
| C. freundii | cfa | 2.8 × 107 | 1.7 × 105 | 1.3 × 106 | 9.0 × 103 | |
| K. pneumoniae | khe | 3.3 × 107 | 2.4 × 105 | 4.8 × 105 | 7.4 × 104 | |
| S. aureus | gapA | 4.5 × 107 | 1.6 × 104 | 1.3 × 106 | 8.35 × 103 | |
| E. faecium | aac6li | 7.5 × 107 | 4.9 × 105 | 5.8 × 106 | 5.5 × 104 | |
| E. faecalis | ddl | 4.4 × 109 | 2.6 × 106 | 3.3 × 108 | 2.2 × 105 | |
| S. pneumoniae | lytA2 | 6.3 × 108 | 6.7 × 105 | 6.4 × 107 | 2.4 × 104 | |
| S. epidermidis | sesC | 9.3 × 107 | 8.4 × 105 | 8.8 × 106 | 4.7 × 105 | |
| K. pneumoniae | Resistance | blaOXA-48 | 4.5 × 108 | 5.7 × 105 | 7.7 × 107 | 7.8 × 104 |
| E. coli | blaCTX-M-9 | 8.7 × 107 | 9.8 × 104 | 1.1 × 107 | 6.1 × 103 | |
| E. coli | blaKPC | 3.6 × 109 | 8.1 × 105 | 3.9 × 108 | 2.0 × 104 | |
| C. freundii | blaVIM | 5.3 × 107 | 8.0 × 105 | 1.5 × 107 | 1.6 × 105 | |
| K. pneumoniae | blaNDM | 3.3 × 108 | 6.3 × 105 | 7.6 × 107 | 7.9 × 104 | |
| K. pneumoniae | blaCTX-M-15 | 4.4 × 108 | 3.4 × 106 | 5.6 × 107 | 3.5 × 105 | |
| S. aureus | mecA | 1.4 × 107 | 9.6 × 104 | 5.7 × 105 | 4.7 × 103 | |
| E. faecium | vanA | 2.9 × 108 | 2.6 × 106 | 4.0 × 107 | 4.7 × 105 | |
| E. faecium | vanB | 4.9 × 107 | 4.6 × 105 | 2.2 × 106 | 2.5 × 104 | |
| A. baumannii | blaOXA-23 | 9.9 × 108 | 1.6 × 106 | 1.5 × 108 | 3.6 × 105 | |
| A. baumannii | blaOXA-58 | 1.3 × 109 | 2.4 × 106 | 9.8 × 107 | 5.8 × 105 | |
| Description | Species/Target | Gene | Function | Reference |
|---|---|---|---|---|
| Species | Klebsiella pneumoniae | khe | Hemolysin | AF293352.1 [91:579] |
| Species | Acinetobacter baumannii | basC | Acinetobactin biosynthesis | AY571146.1 [6565:7875] |
| Species | Escherichia coli | gad | Glutamate decarboxylase | AE014075.1 [1756318:1757787] |
| Species | Pseudomonas aeruginosa | ecfX | Extracellular sigma factor | DQ996558.1 [1:528] |
| Species | Citrobacter freundii | cfa | Colicin biosynthesis | U09771.1 [1:271] |
| Species | Staphylococcus epidermidis | atlE | Autolysin | U71377.1 [2620:6627] |
| Species | Staphylococcus epidermidis | sesC | Surface protein | AE015929.1 [2291621:2293651] |
| Species | Staphylococcus aureus | gapA | Glyceraldehyde-3-phosphate dehydrogenase | CP007176.1 [863178:864188] |
| Species | Enterococcus faecium | aac6Ii | 6′-N-aminoglycoside acetyltransferase | L12710.1 [1:1485] |
| Species | Enterococcus faecalis | ddl | D-alanine ligase | AB186053.1 [1:1071] |
| Species | Streptococcus pneumoniae | lytA | Autolysin | HG514154.1 [1:957] |
| Resistance | Modified staphylococcal penicillin-binding protein, PBP2a | mecA | Methicillin resistance | AY786579 [1:2007] |
| Resistance | Carbapenemase | blaKPC | Class B metallo-beta-lactamase | EU447304.1 [15:896] |
| Resistance | Carbapenemase | blaNDM | Class B metallo-beta-lactamase | FN396876.1 [2407:3219] |
| Resistance | Carbapenemase | blaVIM | Class B metallo-beta-lactamase | Consensus |
| Resistance | Carbapenemase | blaOXA-48 | Class D beta-lactamase | Consensus (OXA-48-group) |
| Resistance | Carbapenemase | blaOXA-181 | Class D beta-lactamase | |
| Resistance | Carbapenemase | blaOXA-23 | Class D beta-lactamase | AJ132105.1 [972:1793] |
| Resistance | Carbapenemase | blaOXA-58 | Class D beta-lactamase | AY665723.1 [3301:4143] |
| Resistance | ESBL | blaCTX-M15 | Extended-spectrum beta-lactamase | AB698966 [1:895] |
| Resistance | ESBL | blaCTX-M9 | Extended-spectrum beta-lactamase | AF174129.3 [6336:7211] |
| Resistance | D-alanine-D-alanine ligase | vanA | Vancomycin resistance | AF516335.1 [3748:4779] |
| Resistance | D-alanine-D-alanine ligase | vanB | Vancomycin resistance | Z83305.1 [150:1178] |
| Nr. | Name | Sequence (5′-3′) |
|---|---|---|
| 1 | aac6_rnd_fw | GTTTCCCAGTCACGATCTGGCCGGAAGA |
| 2 | aac6_rnd_rev | GTTTCCCAGTCACGATCCCTCTGGAAGCTAC |
| 3 | atlE_rnd_fw | GTTTCCCAGTCACGATCGCTGCCACACT |
| 4 | atlE_rnd_rev | GTTTCCCAGTCACGATCACCAGATTTACCG |
| 5 | basC_rnd_fw | GTTTCCCAGTCACGATCCGATGGCATGAA |
| 6 | basC_rnd_rev | GTTTCCCAGTCACGATCCTCCAAATCGACA |
| 7 | cfa_rnd_fw | GTTTCCCAGTCACGATCGGGAAAAGAGCTG |
| 8 | cfa_rnd_rev | GTTTCCCAGTCACGATCCGCAAAGAGATCG |
| 9 | ctx15_rnd_fw | GTTTCCCAGTCACGATCAAATCACTGCGC |
| 10 | ctx15_rnd_rev | GTTTCCCAGTCACGATCATCAATGCCACAC |
| 11 | ctx9_rnd_fw | GTTTCCCAGTCACGATCCGCGTTGCAGTA |
| 12 | ctx9_rnd_rev | GTTTCCCAGTCACGATCCCCAGCGTAAGC |
| 13 | ddl_rnd_fw | GTTTCCCAGTCACGATCGATGCCCGAGCA |
| 14 | ddl_rnd_rev | GTTTCCCAGTCACGATCAGCCACTTCCATC |
| 15 | ecfX_rnd_fw | GTTTCCCAGTCACGATCATGGATGAGCG |
| 16 | ecfX_rnd_rev | GTTTCCCAGTCACGATCCTGCCCAGGTG |
| 17 | gad_rnd_fw | GTTTCCCAGTCACGATCTGGCTCCGCTG |
| 18 | gad_rnd_rev | GTTTCCCAGTCACGATCAGGCGCAGGAATT |
| 19 | gapA_rnd_fw | GTTTCCCAGTCACGATCGAAGCAGGCGC |
| 20 | gapA_rnd_rev | GTTTCCCAGTCACGATCGTGAGGTGCGTC |
| 21 | IPC_BG_rnd_fwd | GTTTCCCAGTCACGATCCGTGTATTTAACGT |
| 22 | IPC_BG_rnd_rev | GTTTCCCAGTCACGATCTTTTACCTACACCG |
| 23 | khe_rnd_fwd_2 | GTTTCCCAGTCACGATCAAGGGCCCGA |
| 24 | khe_rnd_rev_2 | GTTTCCCAGTCACGATCTCCTGGCGCGT |
| 25 | kpc_rnd_fw | GTTTCCCAGTCACGATCGCCGTCTAGTTC |
| 26 | kpc_rnd_rev | GTTTCCCAGTCACGATCATGGAGCCGCC |
| 27 | lytA_rnd_fw | GTTTCCCAGTCACGATCCAGACCGCTGGAA |
| 28 | lytA_rnd_rev | GTTTCCCAGTCACGATCGGTAGTACCAGCC |
| 29 | mecA_rnd_fw | GTTTCCCAGTCACGATCGCACACCTTCATA |
| 30 | mecA_rnd_rev | GTTTCCCAGTCACGATCGCCAACCTTTACC |
| 31 | ndm_rnd_fw | GTTTCCCAGTCACGATCCTCGACATGCCG |
| 32 | ndm_rnd_rev | GTTTCCCAGTCACGATCGATGCGCGTGAG |
| 33 | oxa23_rnd_fw | GTTTCCCAGTCACGATCTCAGGTGATTCATC |
| 34 | oxa23_rnd_rev | GTTTCCCAGTCACGATCGCGGTAAATGACC |
| 35 | oxa48_rnd_fw | GTTTCCCAGTCACGATCCCGCATCTACCT |
| 36 | oxa48_rnd_rev | GTTTCCCAGTCACGATCTGGCGATATCGC |
| 37 | oxa58_rnd_fw | GTTTCCCAGTCACGATCTGCCAATGCACTA |
| 38 | oxa58_rnd_rev | GTTTCCCAGTCACGATCCAACTTCCGTGC |
| 39 | sesC_rnd_fw | GTTTCCCAGTCACGATCTGAAGAGAACAGATA |
| 40 | sesC_rnd_rev | GTTTCCCAGTCACGATCGATATCTGCGTCAG |
| 41 | vanA_rnd_fw | GTTTCCCAGTCACGATCGTACTCTCGCCG |
| 42 | vanA_rnd_rev | GTTTCCCAGTCACGATCCGCAACGATGTAT |
| 43 | vanB_rnd_fw | GTTTCCCAGTCACGATCCGGTGTATGGAAG |
| 44 | vanB_rnd_rev | GTTTCCCAGTCACGATCCCTGTATCGCACC |
| 45 | vim_rnd_fw | GTTTCCCAGTCACGATCGACGACCGCGT |
| 46 | vim_rnd_rev | GTTTCCCAGTCACGATCGTCGGTCGAATGC |
| 47 | Primer B | GTTTCCCAGTCACGATC |
| Nr. | Name | Sequence 5′-3′ | Length | GC Content in % |
|---|---|---|---|---|
| 1 | aac6Ii_fw_2 | TCGGCAGAAGAAGTAGAAGA | 20 | 45.0 |
| 2 | aac6Ii_probe_2 | ATTGGTGCAATCCCTCAATACGGTATCACA | 30 | 43.3 |
| 3 | aac6Ii_rev_2 | ACTAATGGATGCAATTCCCAA | 21 | 38.1 |
| 4 | atlE_fwd_3 | CTGGTACAAATTATGGTTGGGT | 22 | 40.9 |
| 5 | atlE_probe_3 | GTACCTTGGGGCACATATAATCAAGTGGC | 29 | 48.3 |
| 6 | atlE_rev_3 | CACTGTACCATAAAGATATGTTGC | 24 | 37.5 |
| 7 | basC_fw | CTTGGTTACTATGGCCAATCC | 21 | 47.6 |
| 8 | basC_probe | CCACGCCGTGAATATGACCATTATTG | 26 | 46.2 |
| 9 | basC_rv | GGTAATTGTTTTGAAGCCCA | 20 | 40.0 |
| 10 | cfa_fw | CTGGGACATTCAACTTCATC | 20 | 45.0 |
| 11 | cfa_probe | TAGGGCTTGGCGAAAGCTATATGGAA | 26 | 46.2 |
| 12 | cfa_rv | TCAGGATTTTGCAGAACAGAA | 21 | 38.1 |
| 13 | ctx-M15_fw | CAGTTCACGCTGATGGC | 17 | 58.8 |
| 14 | ctx-M15_probe | ACCGTCACGCTGTTGTTAGGAAGTGT | 26 | 50.0 |
| 15 | ctx-M15_rv | CGACTGCCGCTCTAATTC | 18 | 55.6 |
| 16 | ctx-M9_fw_2 | CGCCATGAACAAATTGATTGC | 21 | 42.9 |
| 17 | ctx-M9_probe_1 | TCGGCGATGAGACGTTTCGTCTGG | 24 | 58.3 |
| 18 | ctx-M9_rv | GGAATGGCGGTATTCAGC | 18 | 55.6 |
| 19 | ddl_fw2 | TTAGGAAATGAAGATGTCCGTAC | 23 | 39.1 |
| 20 | ddl_probe2 | TTACCTGGTGAAGTGGTGAAAGATGTCG | 28 | 46.4 |
| 21 | ddl_rv2 | GCTACTTCTTCTGGAACATGC | 21 | 47.6 |
| 22 | ecfX_fw | ATGAGCGCTTCCGTGGTTC | 19 | 57.9 |
| 23 | ecfX_probe | TCTCGCATGCCTATCAGGCGTTCCAT | 26 | 53.9 |
| 24 | ecfX_rv | AGGAAGCGCAGCAACTCG | 18 | 61.1 |
| 25 | gad_fw2 | CTGGGTTATCTGGCGTGA | 18 | 55.6 |
| 26 | gad_probe_2 | AAGAAGCGCTGCCGCAGGAACTG | 23 | 60.9 |
| 27 | gad_rv2 | GCGGGAGAAGTTGATGG | 17 | 58.8 |
| 28 | gapA_fw2 | GGTGACTTAAAAACAATCGTATTCA | 25 | 32.0 |
| 29 | gapA_probe2 | GGTTCTGAAACAGTTGTTTCAGGTGCTTCA | 30 | 43.3 |
| 30 | gapA_rv2 | CTTCAACTAAACCAAAGTCATCG | 23 | 39.1 |
| 31 | IPC_BG_fwd | GCGGCAAACACGGAGAAA | 18 | 55.6 |
| 32 | IPC_BG_probe | CCGATTCACAGACAAGCTCCGTCATTTGATC | 31 | 48.4 |
| 33 | IPC_BG_rev | TCCACCGAACAATCCGATC | 19 | 52.6 |
| 34 | khe_fw_2 | GGTTTACGTCTCAACCGG | 18 | 55.6 |
| 35 | khe_probe_2 | TGAGGAAGAGTTCATCTACGTGCTGGAGGG | 30 | 53.3 |
| 36 | khe_rv | AGAGATAGCCGTTTATCCACAC | 22 | 45.5 |
| 37 | kpc_fw | CTTGTCTCTCATGGCCG | 17 | 58.8 |
| 38 | kpc_probe | TGCCACCGCGCTGACCAACCT | 21 | 66.7 |
| 39 | kpc_rv | AGTTTAGCGAATGGTTCCG | 19 | 47.7 |
| 40 | lytA_fw2 | GCTGGAAGAAAATCGCTG | 18 | 50.0 |
| 41 | lytA_probe2 | GACAGGCTGGGTCAAGTACAAGGACAC | 27 | 55.6 |
| 42 | lytA_rv2 | TTCCGTCCGCTGACTG | 16 | 62.5 |
| 43 | mecA_fw2 | TGGCATGAGTAACGAAGAATATAA | 24 | 33.3 |
| 44 | mecA_probe2 | AAAGAACCTCTGCTCAACAAGTTCCAGA | 28 | 42.9 |
| 45 | mecA_rv2 | GAGTTGAACCTGGTGAAGTTG | 21 | 47.6 |
| 46 | ndm_fw2 | GGTTTGATCGTCAGGGATG | 19 | 52.6 |
| 47 | ndm_probe2 | ATGACCAGACCGCCCAGATCCTCA | 24 | 58.3 |
| 48 | ndm_rv2 | GACCGGCAGGTTGATCT | 17 | 58.8 |
| 49 | oxa-23_fw | TCAGGTGTGCTGGTTATTCAAA | 22 | 40.9 |
| 50 | oxa-23_probe_611 | CTAAGCCGCGCAAATACAGAATATGTGCC | 29 | 48.3 |
| 51 | oxa-23_rv | CGATCAGGGCATTCAACATT | 20 | 45.0 |
| 52 | oxa-48_fw | TTCCCAATAGCTTGATCGC | 19 | 47.4 |
| 53 | oxa-48_probe | TCGATTTGGGCGTGGTTAAGGATGAAC | 27 | 48.2 |
| 54 | oxa-48_rv | CCATCCCACTTAAAGACTTGG | 21 | 47.6 |
| 55 | oxa58_fw | TTAAGTGGGATGGAAAGCC | 19 | 47.4 |
| 56 | oxa58_probe | GCCATGCAAGCATCTACAGTGCCTG | 25 | 56.0 |
| 57 | oxa58_rv | GCAATTCACTTTGCATTAAGCT | 22 | 36.4 |
| 58 | sesC_fw | GTGTCTACCTCAAGCTGTCATG | 22 | 50.0 |
| 59 | sesC_probe | TTAGTGGTTCGCTGGTTGGTTATGGCTT | 28 | 46.4 |
| 60 | sesC_rv | TTGGATTTTGTCAGCGATG | 19 | 42.1 |
| 61 | vanA_fwd | TCAGCTTTGCATGGCAAG | 18 | 50.0 |
| 62 | vanA_probe | CCATACAAGGTCTGTTTGAATTGTCCGG | 28 | 46.4 |
| 63 | vanA_rv | GCTGAGCTTTGAATATCGCA | 20 | 45.0 |
| 64 | vanB_fwd_2 | GCCATGTACGGAATGGGAAG | 20 | 55.0 |
| 65 | vanB_probe_2 | CCCGCCATACTCTCCCCGGATAGGAA | 26 | 61.5 |
| 66 | vanB_rev_2 | CAAAACCGGGAAAGCCAC | 18 | 55.6 |
| 67 | vim_fw | GGCAACGTACGCATCAC | 17 | 58.8 |
| 68 | vim_probe | TCTCTAGAAGGACTCTCATCGAGCGGG | 27 | 55.6 |
| 69 | vim_rv | GCAGCACCGGGATAGAA | 17 | 58.8 |
| Organism | Strain ID | Resistance Genes (as Identified by the WGS Tool Abricate) |
|---|---|---|
| Acinetobacter baumannii | 215784 | blaVIM-2 |
| Acinetobacter baumannii | 240611 | blaNDM-1; blaNDM2 |
| Acinetobacter baumannii | 95932 | blaOXA-58 |
| Acinetobacter baumannii | 301751 | blaNDM, blaOXA-23-like |
| Acinetobacter baumannii | 303315 | blaOXA-58 |
| Bacillus atrophaeus | 97424 | - |
| Citrobacter freundii | 240619 | blaVIM, blaOXA-48 |
| Citrobacter freundii | 279615 | blaVIM |
| Enterococcus faecalis | 95737 | - |
| Enterococcus faecium | 95735 | vanA |
| Enterococcus faecium | 95738 | vanB |
| Escherichia coli | 240608 | blaOXA-48, blaCTX-M-9 |
| Escherichia coli | 240615 | blaKPC-2 |
| Escherichia coli | 240780 | blaVIM-4, blaCTX-M-1/15 |
| Escherichia coli | 296351 | blaNDM-1, blaNDM2, blaCTX-M-1/15 |
| Escherichia coli | 319495 | blaCTX-M-9 |
| Klebsiella pneumoniae | 239644 | blaOXA-48-like, blaCTX-M-1/15 |
| Klebsiella pneumoniae | 240799 | blaNDM-1, blaOXA-181/232, blaCTX-M-1/15 |
| Klebsiella pneumoniae | 280236 | blaCTX-M-1/15 |
| Klebsiella pneumoniae | 272567 | blaVIM-1 |
| Klebsiella pneumoniae | 274401 | blaKPC-2 |
| Pseudomonas aeruginosa | 279584 | blaVIM |
| Staphylococcus aureus | 95430 | mecA |
| Staphylococcus epidermidis | 95428 | mecA |
| Streptococcus pneumoniae | 95736 | - |
Disclaimer/Publisher’s Note: The statements, opinions and data contained in all publications are solely those of the individual author(s) and contributor(s) and not of MDPI and/or the editor(s). MDPI and/or the editor(s) disclaim responsibility for any injury to people or property resulting from any ideas, methods, instructions or products referred to in the content. |
© 2024 by the authors. Licensee MDPI, Basel, Switzerland. This article is an open access article distributed under the terms and conditions of the Creative Commons Attribution (CC BY) license (https://creativecommons.org/licenses/by/4.0/).
Share and Cite
Reinicke, M.; Braun, S.D.; Diezel, C.; Lemuth, O.; Engelmann, I.; Liebe, T.; Ehricht, R. From Shadows to Spotlight: Enhancing Bacterial DNA Detection in Blood Samples through Cutting-Edge Molecular Pre-Amplification. Antibiotics 2024, 13, 161. https://doi.org/10.3390/antibiotics13020161
Reinicke M, Braun SD, Diezel C, Lemuth O, Engelmann I, Liebe T, Ehricht R. From Shadows to Spotlight: Enhancing Bacterial DNA Detection in Blood Samples through Cutting-Edge Molecular Pre-Amplification. Antibiotics. 2024; 13(2):161. https://doi.org/10.3390/antibiotics13020161
Chicago/Turabian StyleReinicke, Martin, Sascha Daniel Braun, Celia Diezel, Oliver Lemuth, Ines Engelmann, Theresa Liebe, and Ralf Ehricht. 2024. "From Shadows to Spotlight: Enhancing Bacterial DNA Detection in Blood Samples through Cutting-Edge Molecular Pre-Amplification" Antibiotics 13, no. 2: 161. https://doi.org/10.3390/antibiotics13020161
APA StyleReinicke, M., Braun, S. D., Diezel, C., Lemuth, O., Engelmann, I., Liebe, T., & Ehricht, R. (2024). From Shadows to Spotlight: Enhancing Bacterial DNA Detection in Blood Samples through Cutting-Edge Molecular Pre-Amplification. Antibiotics, 13(2), 161. https://doi.org/10.3390/antibiotics13020161

