Intestinal Exposure to Ceftiofur and Cefquinome after Intramuscular Treatment and the Impact of Ceftiofur on the Pig Fecal Microbiome and Resistome
Abstract
1. Introduction
2. Results and Discussion
2.1. Animal Experiment
2.2. Ceftiofur, Ceftiofur-Related Metabolites and Cefquinome: Plasma Concentrations
2.3. Ceftiofur, Ceftiofur-Related Metabolites and Cefquinome: Intestinal and Fecal Concentrations
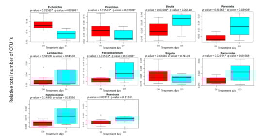
2.4. Impact of Ceftiofur on the Gut Microbiome of Pigs
2.5. Impact of Ceftiofur on the Gut Resistome of Pigs
2.6. Pig n° 2
3. Methods
3.1. Standards and Chemicals
3.2. Preparation of Solutions
3.3. Animals and Test Article Administration
3.4. Ceftiofur, Ceftiofur-Related Metabolites and Cefquinome: Plasma Measurement
3.5. Antibiotic Fecal Measurement
3.6. Pharmacokinetic Analysis of Plasma Concentrations
3.7. Fecal DNA Extraction, Nanopore Genome Sequencing, Metagenomic Analysis and Quantitative Polymerase Chain Reaction
3.8. Statistical Analyses
4. Conclusions
Supplementary Materials
Author Contributions
Funding
Institutional Review Board Statement
Informed Consent Statement
Data Availability Statement
Acknowledgments
Conflicts of Interest
References
- Connelly, S.; Fanelli, B.; Hasan, N.A.; Colwell, R.R.; Kaleko, M. Oral Metallo-Beta-Lactamase Protects the Gut Microbiome from Carbapenem-Mediated Damage and Reduces Propagation of Antibiotic Resistance in Pigs. Front. Microbiol. 2019, 10, 101. [Google Scholar] [CrossRef] [PubMed]
- Connelly, S.; Subramanian, P.; Hasan, N.A.; Colwell, R.R.; Kaleko, M. Distinct consequences of amoxicillin and ertapenem exposure in the porcine gut microbiome. Anaerobe 2018, 53, 82–93. [Google Scholar] [CrossRef] [PubMed]
- Guo, L.; Zhang, D.; Fu, S.; Zhang, J.; Zhang, X.; He, J.; Peng, C.; Zhang, Y.; Qiu, Y.; Ye, C.; et al. Metagenomic Sequencing Analysis of the Effects of Colistin Sulfate on the Pig Gut Microbiome. Front. Vet. Sci. 2021, 8, 663820. [Google Scholar] [CrossRef] [PubMed]
- Zeineldin, M.; Aldridge, B.; Blair, B.; Kancer, K.; Lowe, J. Impact of parenteral antimicrobial administration on the structure and diversity of the fecal microbiota of growing pigs. Microb. Pathog. 2018, 118, 220–229. [Google Scholar] [CrossRef]
- Ruczizka, U.; Metzler-Zebeli, B.; Unterweger, C.; Mann, E.; Schwarz, L.; Knecht, C.; Hennig-Pauka, I. Early Parenteral Administration of Ceftiofur has Gender-Specific Short- and Long-Term Effects on the Fecal Microbiota and Growth in Pigs from the Suckling to Growing Phase. Animals 2019, 10, 17. [Google Scholar] [CrossRef]
- Mazmanian, S.K.; Liu, C.H.; Tzianabos, A.O.; Kasper, D.L. An Immunomodulatory Molecule of Symbiotic Bacteria Directs Maturation of the Host Immune System. Cell 2005, 122, 107–118. [Google Scholar] [CrossRef]
- Sun, J.; Zhong, H.; Du, L.; Li, X.; Ding, Y.; Cao, H.; Liu, Z.; Ge, L. Gene expression profiles of germ-free and conventional piglets from the same litter. Sci. Rep. 2018, 8, 10745. [Google Scholar] [CrossRef]
- Willing, B.P.; Russell, S.L.; Finlay, B.B. Shifting the balance: Antibiotic effects on host–microbiota mutualism. Nat. Rev. Genet. 2011, 9, 233–243. [Google Scholar] [CrossRef]
- Zeineldin, M.; Aldridge, B.; Lowe, J. Antimicrobial Effects on Swine Gastrointestinal Microbiota and Their Accompanying Antibiotic Resistome. Front. Microbiol. 2019, 10, 1035. [Google Scholar] [CrossRef]
- Wlodarska, M.; Willing, B.; Keeney, K.M.; Menendez, A.; Bergstrom, K.S.; Gill, N.; Russell, S.L.; Vallance, B.A.; Finlay, B.B. Antibiotic Treatment Alters the Colonic Mucus Layer and Predisposes the Host to Exacerbated Citrobacter rodentium-Induced Colitis. Infect. Immun. 2011, 79, 1536–1545. [Google Scholar] [CrossRef]
- Ozkul, C.; Ruiz, V.E.; Battaglia, T.; Xu, J.; Roubaud-Baudron, C.; Cadwell, K.; Perez, G.P.; Blaser, M.J. A single early-in-life antibiotic course increases susceptibility to DSS-induced colitis. Genome Med. 2020, 12, 65. [Google Scholar] [CrossRef] [PubMed]
- Helm, E.T.; Curry, S.; Trachsel, J.M.; Schroyen, M.; Gabler, N.K. Evaluating nursery pig responses to in-feed sub-therapeutic antibiotics. PLoS ONE 2019, 14, e0216070. [Google Scholar] [CrossRef]
- Gaskins, H.R.; Collier, C.T.; Anderson, D.B. Antibiotics as growth promotants:mode of action. Anim. Biotechnol. 2002, 13, 29–42. [Google Scholar] [CrossRef] [PubMed]
- Dibner, J.J.; Richards, J.D. Antibiotic growth promoters in agriculture: History and mode of action. Poult. Sci. 2005, 84, 634–643. [Google Scholar] [CrossRef] [PubMed]
- Holman, D.B.; Chénier, M.R. Antimicrobial use in swine production and its effect on the swine gut microbiota and antimicrobial resistance. Can. J. Microbiol. 2015, 61, 785–798. [Google Scholar] [CrossRef]
- Heo, J.M.; Opapeju, F.O.; Pluske, J.R.; Kim, J.C.; Hampson, D.J.; Nyachoti, C.M. Gastrointestinal health and function in weaned pigs: A review of feeding strategies to control post-weaning diarrhoea without using in-feed antimicrobial compounds. J. Anim. Physiol. Anim. Nutr. 2013, 97, 207–237. [Google Scholar] [CrossRef]
- Andersen, V.; Aarestrup, F.; Munk, P.; Jensen, M.; de Knegt, L.; Bortolaia, V.; Knudsen, B.; Lukjancenko, O.; Birkegård, A.; Vigre, H. Predicting effects of changed antimicrobial usage on the abundance of antimicrobial resistance genes in finisher’ gut microbiomes. Prev. Vet. Med. 2020, 174, 104853. [Google Scholar] [CrossRef]
- Römer, A.; Scherz, G.; Reupke, S.; Meißner, J.; Wallmann, J.; Kietzmann, M.; Kaspar, H. Effects of intramuscularly administered enrofloxacin on the susceptibility of commensal intestinal Escherichia coli in pigs (sus scrofa domestica). BMC Vet. Res. 2017, 13, 378. [Google Scholar] [CrossRef]
- De Smet, J.; Boyen, F.; Croubels, S.; Rasschaert, G.; Haesebrouck, F.; De Backer, P.; Devreese, M. Similar Gastro-Intestinal Exposure to Florfenicol After Oral or Intramuscular Administration in Pigs, Leading to Resistance Selection in Commensal Escherichia coli. Front. Pharmacol. 2018, 9, 1265. [Google Scholar] [CrossRef]
- Cameron-Veas, K.; Solà-Ginés, M.; Moreno, M.A.; Fraile, L.; Migura-Garcia, L. Impact of the Use of β-Lactam Antimicrobials on the Emergence of Escherichia coli Isolates Resistant to Cephalosporins under Standard Pig-Rearing Conditions. Appl. Environ. Microbiol. 2014, 81, 1782–1787. [Google Scholar] [CrossRef]
- Modi, S.R.; Collins, J.J.; Relman, D.A. Antibiotics and the gut microbiota. J. Clin. Investig. 2014, 124, 4212–4218. [Google Scholar] [CrossRef] [PubMed]
- Gilbertson, T.J.; Roof, R.D.; Nappier, J.L.; Zaya, M.J.; Robins, R.H.; Stuart, D.J.; Krzeminski, L.F.; Jaglan, P.S. Disposition of Ceftiofur Sodium in Swine following Intramuscular Treatment. J. Agric. Food Chem. 1995, 43, 229–234. [Google Scholar] [CrossRef]
- Gaire, T.N.; Salas, J.; Dunmire, K.M.; Paulk, C.B.; Tokach, M.D.; Nagaraja, T.G.; Volkova, V.V. Author response for “Faecal concentrations of ceftiofur metabolites in finisher pigs administered intramuscularly with ceftiofur”. Vet. Med. Sci. 2021, 7, 1800–1806. [Google Scholar] [CrossRef] [PubMed]
- Dumka, V.K.; Dinakaran, V.; Ranjan, B.; Rampal, S. Comparative pharmacokinetics of cefquinome following intravenous and intramuscular administration in goats. Small Rumin. Res. 2013, 113, 273–277. [Google Scholar] [CrossRef]
- Zhang, L.; Wu, X.; Huang, Z.; Zhang, N.; Wu, Y.; Cai, Q.; Shen, X.; Ding, H. Pharmacokinetic/pharmacodynamic assessment of cefquinome against Actinobacillus Pleuropneumoniae in a piglet tissue cage infection model. Vet. Microbiol. 2018, 219, 100–106. [Google Scholar] [CrossRef] [PubMed]
- Shantier, S.W. Characteristics, Properties and Analytical Methods of Cefquinome—A Review. Chem. Sci. 2019, 8, 437–447. [Google Scholar]
- Hornish, R.E.; Kotarski, S.F. Cephalosporins in veterinary medicine—Ceftiofur use in food animals. Curr. Top. Med. Chem. 2002, 2, 717–731. [Google Scholar] [CrossRef]
- Meyer, S.; Giguère, S.; Rodriguez, R.; Zielinski, R.J.; Grover, G.S.; Brown, S.A. Pharmacokinetics of intravenous ceftiofur sodium and concentration in body fluids of foals. J. Vet. Pharmacol. Ther. 2009, 32, 309–316. [Google Scholar] [CrossRef]
- Tang, S.; Xiao, J.; Guo, G.; He, J.; Hao, Z.; Xiao, X. Preparation of a newly formulated long-acting ceftiofur hydrochloride suspension and evaluation of its pharmacokinetics in pigs. J. Vet. Pharmacol. Ther. 2009, 33, 238–245. [Google Scholar] [CrossRef]
- Foster, D.M.; Jacob, M.E.; Farmer, K.A.; Callahan, B.; Theriot, C.M.; Kathariou, S.; Cernicchiaro, N.; Prange, T.; Papich, M.G. Ceftiofur formulation differentially affects the intestinal drug concentration, resistance of fecal Escherichia coli, and the microbiome of steers. PLoS ONE 2019, 14, e0223378. [Google Scholar] [CrossRef]
- Barton, M.D. Impact of antibiotic use in the swine industry. Curr. Opin. Microbiol. 2014, 19, 9–15. [Google Scholar] [CrossRef] [PubMed]
- Cavaco, L.M.; Abatih, E.; Aarestrup, F.; Guardabassi, L. Selection and Persistence of CTX-M-Producing Escherichia coli in the Intestinal Flora of Pigs Treated with Amoxicillin, Ceftiofur, or Cefquinome. Antimicrob. Agents Chemother. 2008, 52, 3612–3616. [Google Scholar] [CrossRef]
- Lutz, E.A.; McCarty, M.J.; Mollenkopf, D.F.; Funk, J.A.; Gebreyes, W.A.; Wittum, T.E. Ceftiofur Use in Finishing Swine Barns and the Recovery of Fecal Escherichia coli or Salmonella spp. Resistant to Ceftriaxone. Foodborne Pathog. Dis. 2011, 8, 1229–1234. [Google Scholar] [CrossRef] [PubMed]
- Beyer, A.; Baumann, S.; Scherz, G.; Stahl, J.; Von Bergen, M.; Friese, A.; Roesler, U.; Kietzmann, M.; Honscha, W. Effects of ceftiofur treatment on the susceptibility of commensal porcine E. coli—Comparison between treated and untreated animals housed in the same stable. BMC Vet. Res. 2015, 11, 265. [Google Scholar] [CrossRef] [PubMed]
- Nguyen, T.T.; Chachaty, E.; Huy, C.; Cambier, C.; De Gunzburg, J.; Mentré, F.; Andremont, A. Correlation between Fecal Concentrations of Ciprofloxacin and Fecal Counts of Resistant Enterobacteriaceae in Piglets Treated with Ciprofloxacin: Toward New Means To Control the Spread of Resistance? Antimicrob. Agents Chemother. 2012, 56, 4973–4975. [Google Scholar] [CrossRef]
- Janusch, F.; Scherz, G.; Mohring, S.A.I.; Hamscher, G. Determination of fluoroquinolones in chicken feces—A new liquid–liquid extraction method combined with LC–MS/MS. Environ. Toxicol. Pharmacol. 2014, 38, 792–799. [Google Scholar] [CrossRef] [PubMed]
- Rutjens, S.; Croubels, S.; Baere, S.; Devreese, M. Development and Validation of Liquid Chromatography-Tandem Mass Spectrometry Methods for the Quantification of Cefquinome, Ceftiofur, and Desfuroylceftiofuracetamide in Porcine Feces with Emphasis on Analyte Stability. Molecules 2021, 26, 4598. [Google Scholar] [CrossRef]
- Tantituvanont, A.; Yimprasert, W.; Werawatganone, P.; Nilubol, D. Pharmacokinetics of ceftiofur hydrochloride in pigs infected with porcine reproductive and respiratory syndrome virus. J. Antimicrob. Chemother. 2008, 63, 369–373. [Google Scholar] [CrossRef][Green Version]
- Li, X.B.; Wu, W.X.; Su, D.; Wang, Z.J.; Jiang, H.Y.; Shen, J.Z. Pharmacokinetics and bioavailability of cefquinome in healthy piglets. J. Vet. Pharmacol. Ther. 2008, 31, 523–527. [Google Scholar] [CrossRef]
- Mu, C.; Yang, Y.; Su, Y.; Zoetendal, E.G.; Zhu, W. Differences in Microbiota Membership along the Gastrointestinal Tract of Piglets and Their Differential Alterations Following an Early-Life Antibiotic Intervention. Front. Microbiol. 2017, 8, 797. [Google Scholar] [CrossRef]
- Rastall, R.A. Bacteria in the Gut: Friends and Foes and How to Alter the Balance. J. Nutr. 2004, 134, 2022S–2026S. [Google Scholar] [CrossRef] [PubMed]
- Isaacson, R.; Kim, H.B. The intestinal microbiome of the pig. Anim. Health Res. Rev. 2012, 13, 100–109. [Google Scholar] [CrossRef] [PubMed]
- Dowd, S.; Sun, Y.; Wolcott, R.D.; Domingo, A.; Carroll, J. Bacterial Tag–Encoded FLX Amplicon Pyrosequencing (bTEFAP) for Microbiome Studies: Bacterial Diversity in the Ileum of Newly WeanedSalmonella-Infected Pigs. Foodborne Pathog. Dis. 2008, 5, 459–472. [Google Scholar] [CrossRef] [PubMed]
- Looft, T.; Allen, H.K.; Cantarel, B.L.; Levine, U.Y.; Bayles, D.O.; Alt, D.P.; Henrissat, B.; Stanton, T.B. Bacteria, phages and pigs: The effects of in-feed antibiotics on the microbiome at different gut locations. ISME J. 2014, 8, 1566–1576. [Google Scholar] [CrossRef]
- Yang, H.; Huang, X.; Fang, S.; Xin, W.; Huang, L.; Chen, C. Uncovering the composition of microbial community structure and metagenomics among three gut locations in pigs with distinct fatness. Sci. Rep. 2016, 6, 27427. [Google Scholar] [CrossRef]
- Zhang, L.; Wu, W.; Lee, Y.-K.; Xie, J.; Zhang, H. Spatial Heterogeneity and Co-occurrence of Mucosal and Luminal Microbiome across Swine Intestinal Tract. Front. Microbiol. 2018, 9, 48. [Google Scholar] [CrossRef]
- Boyanova, L.; Kolarov, R.; Gergova, G.; Dimitrova, L.; Mitov, I. Trends in antibiotic resistance in Prevotella species from patients of the University Hospital of Maxillofacial Surgery, Sofia, Bulgaria, in 2003–2009. Anaerobe 2010, 16, 489–492. [Google Scholar] [CrossRef]
- Toprak, N.U.; Akgul, O.; Sóki, J.; Soyletir, G.; Nagy, E.; Leitner, E.; Wybo, I.; Tripkovic, V.; Justesen, U.S.; Jean-Pierre, H.; et al. Detection of beta-lactamase production in clinical Prevotella species by MALDI-TOF MS method. Anaerobe 2020, 65, 102240. [Google Scholar] [CrossRef]
- Parker, A.C.; Smith, C.J. Genetic and biochemical analysis of a novel Ambler class A beta-lactamase responsible for cefoxitin resistance in Bacteroides species. Antimicrob. Agents Chemother. 1993, 37, 1028–1036. [Google Scholar] [CrossRef]
- Leser, T.D.; Lindecrona, R.H.; Jensen, T.K.; Jensen, B.B.; Møller, K. Changes in Bacterial Community Structure in the Colon of Pigs Fed Different Experimental Diets and after Infection with Brachyspira hyodysenteriae. Appl. Environ. Microbiol. 2000, 66, 3290–3296. [Google Scholar] [CrossRef]
- Kim, H.B.; Borewicz, K.; White, B.A.; Singer, R.S.; Sreevatsan, S.; Tu, Z.J.; Isaacson, R.E. Longitudinal investigation of the age-related bacterial diversity in the feces of commercial pigs. Vet. Microbiol. 2011, 153, 124–133. [Google Scholar] [CrossRef] [PubMed]
- Pajarillo, E.A.B.; Chae, J.P.; Balolong, M.P.; Kim, H.B.; Seo, K.-S.; Kang, D.-K. Pyrosequencing-based analysis of fecal microbial communities in three purebred pig lines. J. Microbiol. 2014, 52, 646–651. [Google Scholar] [CrossRef] [PubMed]
- Ke, S.; Fang, S.; He, M.; Huang, X.; Yang, H.; Yang, B.; Chen, C.; Huang, L. Age-based dynamic changes of phylogenetic composition and interaction networks of health pig gut microbiome feeding in a uniformed condition. BMC Vet. Res. 2019, 15, 172. [Google Scholar] [CrossRef] [PubMed]
- Bian, G.; Ma, S.; Zhu, Z.; Su, Y.; Zoetendal, E.G.; Mackie, R.; Liu, J.; Mu, C.; Huang, R.; Smidt, H.; et al. Age, introduction of solid feed and weaning are more important determinants of gut bacterial succession in piglets than breed and nursing mother as revealed by a reciprocal cross-fostering model. Environ. Microbiol. 2016, 18, 1566–1577. [Google Scholar] [CrossRef] [PubMed]
- Frese, S.A.; Parker, K.; Calvert, C.C.; Mills, D.A. Diet shapes the gut microbiome of pigs during nursing and weaning. Microbiome 2015, 3, 28. [Google Scholar] [CrossRef] [PubMed]
- De Rodas, B.; Youmans, B.P.; Danzeisen, J.L.; Tran, H.; Johnson, T.J. Microbiome profiling of commercial pigs from farrow to finish. J. Anim. Sci. 2018, 96, 1778–1794. [Google Scholar] [CrossRef]
- Han, G.G.; Lee, J.-Y.; Jin, G.-D.; Park, J.; Choi, Y.H.; Kang, S.-K.; Chae, B.J.; Kim, E.B.; Choi, Y.-J. Tracing of the fecal microbiota of commercial pigs at five growth stages from birth to shipment. Sci. Rep. 2018, 8, 6012. [Google Scholar] [CrossRef]
- He, Y.; Wu, W.; Zheng, H.-M.; Li, P.; McDonald, D.; Sheng, H.-F.; Chen, M.-X.; Chen, Z.-H.; Ji, G.-Y.; Zheng, Z.-D.-X.; et al. Regional variation limits applications of healthy gut microbiome reference ranges and disease models. Nat. Med. 2018, 24, 1532–1535. [Google Scholar] [CrossRef]
- Fleury, M.A.; Mourand, G.; Jouy, E.; Touzain, F.; Le Devendec, L.; De Boisseson, C.; Eono, F.; Cariolet, R.; Guérin, A.; Le Goff, O.; et al. Impact of Ceftiofur Injection on Gut Microbiota and Escherichia coli Resistance in Pigs. Antimicrob. Agents Chemother. 2015, 59, 5171–5180. [Google Scholar] [CrossRef]
- Singer, R.S.; Patterson, S.K.; Wallace, R.L. Effects of Therapeutic Ceftiofur Administration to Dairy Cattle on Escherichia coli Dynamics in the Intestinal Tract. Appl. Environ. Microbiol. 2008, 74, 6956–6962. [Google Scholar] [CrossRef]
- Ghanbari, M.; Klose, V.; Crispie, F.; Cotter, P.D. The dynamics of the antibiotic resistome in the feces of freshly weaned pigs following therapeutic administration of oxytetracycline. Sci. Rep. 2019, 9, 4062. [Google Scholar] [CrossRef] [PubMed]
- Boente, R.F.; Ferreira, L.Q.; Falcão, L.S.; Miranda, K.R.; Guimarães, P.L.; Santos-Filho, J.; Vieira, J.M.; Barroso, D.E.; Emond, J.-P.; Ferreira, E.O.; et al. Detection of resistance genes and susceptibility patterns in Bacteroides and Parabacteroides strains. Anaerobe 2010, 16, 190–194. [Google Scholar] [CrossRef] [PubMed]
- Nakano, V.; Nascimento e Silva, A.D.; Merino, V.R.C.; Wexler, H.M.; Avila-Campos, M.J. Antimicrobial resistance and prevalence of resistance genes in intestinal Bacteroidales strains. Clinics 2011, 66, 543–547. [Google Scholar] [CrossRef]
- Dong, L.; Meng, L.; Liu, H.; Wu, H.; Schroyen, M.; Zheng, N.; Wang, J. Effect of Cephalosporin Treatment on the Microbiota and Antibiotic Resistance Genes in Feces of Dairy Cows with Clinical Mastitis. Antibiotics 2022, 11, 117. [Google Scholar] [CrossRef]
- Yousif, M.H.; Li, J.-H.; Li, Z.-Q.; Alugongo, G.M.; Ji, S.-K.; Li, Y.-X.; Wang, Y.-J.; Li, S.-L.; Cao, Z.-J. Low Concentration of Antibiotics Modulates Gut Microbiota at Different Levels in Pre-Weaning Dairy Calves. Microorganisms 2018, 6, 118. [Google Scholar] [CrossRef]
- Penders, J.; Stobberingh, E.E.; Savelkoul, P.H.M.; Wolffs, P.F.G. The human microbiome as a reservoir of antimicrobial resistance. Front. Microbiol. 2013, 4, 87. [Google Scholar] [CrossRef] [PubMed]
- Toutain, P.-L.; Ferran, A.A.; Bousquet-Melou, A.; Pelligand, L.; Lees, P. Veterinary Medicine Needs New Green Antimicrobial Drugs. Front. Microbiol. 2016, 7, 1196. [Google Scholar] [CrossRef] [PubMed]
- Heuer, H.; Schmitt, H.; Smalla, K. Antibiotic resistance gene spread due to manure application on agricultural fields. Curr. Opin. Microbiol. 2011, 14, 236–243. [Google Scholar] [CrossRef]
- Karami, N.; Martner, A.; Enne, V.I.; Swerkersson, S.; Adlerberth, I.; Wold, A.E. Transfer of an ampicillin resistance gene between two Escherichia coli strains in the bowel microbiota of an infant treated with antibiotics. J. Antimicrob. Chemother. 2007, 60, 1142–1145. [Google Scholar] [CrossRef]
- Tamanai-Shacoori, Z.; Monfort, C.; Oliviero, N.; Gautier, P.; Bonnaure-Mallet, M.; Jolivet-Gougeon, A. cfxA expression in oral clinical Capnocytophaga isolates. Anaerobe 2015, 35, 68–71. [Google Scholar] [CrossRef]
- Appelbaum, P.C.; Philippon, A.; Jacobs, M.R.; Spangler, S.K.; Gutmann, L. Characterization of beta-lactamases from non-Bacteroides fragilis group Bacteroides spp. belonging to seven species and their role in beta-lactam resistance. Antimicrob. Agents Chemother. 1990, 34, 2169–2176. [Google Scholar] [CrossRef] [PubMed]
- Madinier, I.; Fosse, T.; Giudicelli, J.; Labia, R. Cloning and Biochemical Characterization of a Class A Beta-Lactamase from Prevotella intermedia. Antimicrob. Agents Chemother. 2001, 45, 2386–2389. [Google Scholar] [CrossRef] [PubMed]
- García, N.; Gutiérrez, G.; Lorenzo, M.; García, J.E.; Píriz, S.; Quesada, A. Genetic determinants for cfxA expression in Bacteroides strains isolated from human infections. J. Antimicrob. Chemother. 2008, 62, 942–947. [Google Scholar] [CrossRef][Green Version]
- Berendsen, B.J.; Wegh, R.S.; Memelink, J.; Zuidema, T.; Stolker, L.A. The analysis of animal faeces as a tool to monitor antibiotic usage. Talanta 2015, 132, 258–268. [Google Scholar] [CrossRef] [PubMed]
- Flemish. Government, Flemish Decree of 17 February 2017 on the amendment of the Belgian Royal Decree of 29 May 2013 on the protection of animals used for scientific purposes and the Belgian Royal Decree of 21 November 1996 for the determination of compensation of transport and accomodation costs for persons not beloning to the Administration and part of some bodies put together for the Royal Decree of 14 August 1986 concerning the protection and welfare of animals. Belgisch Staatsblad 2017, 170, 115. [Google Scholar]
- European Parliament. Union tCotE (2010) Directive 2010/63/EU of the European Parliament and of the Council of 22 September 2010 on the protection of animals used for scientific purposes. Off. J Eur. Union. 2010. Available online: https://eur-lex.europa.eu/LexUriServ/LexUriServ.do?uri=OJ:L:2010:276:0033:0079:en:PDF (accessed on 6 February 2022).
- De Coster, W.; D’Hert, S.; Schultz, D.T.; Cruts, M.; Van Broeckhoven, C. NanoPack: Visualizing and processing long-read sequencing data. Bioinformatics 2018, 34, 2666–2669. [Google Scholar] [CrossRef]
- Wood, D.E.; Lu, J.; Langmead, B. Improved metagenomic analysis with Kraken 2. Genome Biol. 2019, 20, 257. [Google Scholar] [CrossRef]
- Jia, B.; Raphenya, A.R.; Alcock, B.; Waglechner, N.; Guo, P.; Tsang, K.K.; Lago, B.A.; Dave, B.M.; Pereira, S.; Sharma, A.N.; et al. CARD 2017: Expansion and model-centric curation of the comprehensive antibiotic resistance database. Nucleic Acids Res. 2016, 45, D566–D573. [Google Scholar] [CrossRef]
- Roschanski, N.; Fischer, J.; Guerra, B.; Roesler, U. Development of a Multiplex Real-Time PCR for the Rapid Detection of the Predominant Beta-Lactamase Genes CTX-M, SHV, TEM and CIT-Type AmpCs in Enterobacteriaceae. PLoS ONE 2014, 9, e100956. [Google Scholar] [CrossRef]
- Trypsteen, W.; De Neve, J.; Bosman, K.; Nijhuis, M.; Thas, O.; Vandekerckhove, L.; De Spiegelaere, W. Robust regression methods for real-time polymerase chain reaction. Anal. Biochem. 2015, 480, 34–36. [Google Scholar] [CrossRef] [PubMed]
- Kohl, M. SLqPCR: Functions for Analysis of Real-Time Quantitative PCR Data at SIRS-Lab GmbH; R Package, SIRS-Lab GmbH: Jena, Germany, 2007. [Google Scholar]
- Oksanen, J.; Blanchet, F.G.; Kindt, R.; Legendre, P.; Minchin, P.R.; O’hara, R.; Simpson, g·L.; Solymos, P.; Stevens, M.H.H.; Wagner, H. Package ‘vegan’. Community Ecol. Package 2013, 2, 1–295. [Google Scholar]
- Murrell, P. R Graphics; Chapman and Hall/CRC: Boca Raton, FL, USA, 2005. [Google Scholar]
- RC Team. R: A Language and Environment for Statistical Computing; RC Team: Vienna, Austria, 2013. [Google Scholar]








| PK Parameter | Ceftiofur | Desfuroylceftiofuracetamide | Cefquinome |
|---|---|---|---|
| AUC0→∞ (h∗µg·L−1) | 496 ± 142 | 85,260 ± 16,623 | 9445 ± 1118 |
| AUC a (h∗µg·L−1) | 474 ± 128 | 70,344 ± 13,238 | 8758 ± 1170 |
| Cmax (µg·L−1) | 813 ± 177 | 9425 ± 2674 | 5547 ± 1030 |
| Tmax (h) | 0.3 ± 0.1 | 0.8 ± 0.1 | 0.3 ± 0.2 |
| T1/2el (h) | 0.4 ± 0.2 | 8.8 ± 1.8 | 1.2 ± 0.2 |
| Segment | Ceftiofur (Measured as Desfuroylceftiofuracetamide) (ng·g−1) | Cefquinome (ng·g−1) |
|---|---|---|
| Duodenum | 50.2 ± 31.8 (n = 6) | 17.5 ± 10.6 (n = 8) |
| Jejunum | 57.4 ± 45.3 (n = 6) | 38.2 ± 20.5 (n = 8) |
| Ileum | 187.8 ± 101.7 (n = 7) | 57.8 ± 37.5 (n = 8) |
| Cecum | <limit of quantification a | 6.4 ± 4.2 (n = 6) |
| Target | Name | Sequence (5′–3′) |
|---|---|---|
| blaTEM | TEM-fwd TEM-rev | GCATCTTACGGATGGCATGA GTCCTCCGATCGTTGTCAGAA |
| blaCMYa | CMY-fwd CMY-rev | GGCAAACAGTGGCAGGGTAT AATGCGGCTTTATCCCTAACG |
| blaSHV | SHV-fwd SHV-rev | TCCCATGATGAGCACCTTTAAA TCCTGCTGGCGATAGTGGAT |
| blaCTX mb,c | CTX-A-fwd CTX-A-rev CTX-B-fwd CTX-B-rev | CGGGCRATGGCGCARAC TGCRCCGGTSGTATTGCC ACCGAGCCSACGCTCAA CCGCTGCCGGTTTTATC |
Publisher’s Note: MDPI stays neutral with regard to jurisdictional claims in published maps and institutional affiliations. |
© 2022 by the authors. Licensee MDPI, Basel, Switzerland. This article is an open access article distributed under the terms and conditions of the Creative Commons Attribution (CC BY) license (https://creativecommons.org/licenses/by/4.0/).
Share and Cite
Rutjens, S.; Vereecke, N.; De Spiegelaere, W.; Croubels, S.; Devreese, M. Intestinal Exposure to Ceftiofur and Cefquinome after Intramuscular Treatment and the Impact of Ceftiofur on the Pig Fecal Microbiome and Resistome. Antibiotics 2022, 11, 342. https://doi.org/10.3390/antibiotics11030342
Rutjens S, Vereecke N, De Spiegelaere W, Croubels S, Devreese M. Intestinal Exposure to Ceftiofur and Cefquinome after Intramuscular Treatment and the Impact of Ceftiofur on the Pig Fecal Microbiome and Resistome. Antibiotics. 2022; 11(3):342. https://doi.org/10.3390/antibiotics11030342
Chicago/Turabian StyleRutjens, Sofie, Nick Vereecke, Ward De Spiegelaere, Siska Croubels, and Mathias Devreese. 2022. "Intestinal Exposure to Ceftiofur and Cefquinome after Intramuscular Treatment and the Impact of Ceftiofur on the Pig Fecal Microbiome and Resistome" Antibiotics 11, no. 3: 342. https://doi.org/10.3390/antibiotics11030342
APA StyleRutjens, S., Vereecke, N., De Spiegelaere, W., Croubels, S., & Devreese, M. (2022). Intestinal Exposure to Ceftiofur and Cefquinome after Intramuscular Treatment and the Impact of Ceftiofur on the Pig Fecal Microbiome and Resistome. Antibiotics, 11(3), 342. https://doi.org/10.3390/antibiotics11030342

