Removal of Mixed-Species Biofilms Developed on Food Contact Surfaces with a Mixture of Enzymes and Chemical Agents
Abstract
:1. Introduction
2. Results
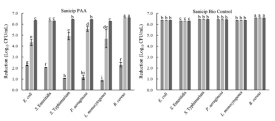
2.1. Microbicidal Activity against Planktonic Cells
2.2. Biofilm Removal on SS
2.3. Biofilm Removal on PP
2.4. Epifluorescent Microscopy and SEM Analyses
3. Discussion
4. Materials and Methods
4.1. Bacterial Strains
4.2. Chemical and Enzymatic Agents
4.3. Microbicidal Activity against Planktonic Cells
4.4. Biofilm Development
4.4.1. Contact Surfaces
4.4.2. Biofilm Development and Quantification
4.5. Removal and Disinfection Treatment Procedures
4.6. Microscopy Analysis
4.6.1. Epifluorescent Microscopy
4.6.2. Scanning Electron Microscopy (SEM) Analysis
4.7. Statistical Analysis
5. Conclusions
Author Contributions
Funding
Data Availability Statement
Acknowledgments
Conflicts of Interest
References
- Donlan, R.M. Biofilms: Microbial life on surfaces. Emerg. Infect. Dis. 2002, 8, 881–890. [Google Scholar] [CrossRef] [PubMed]
- Flemming, H.C.; Wingender, J. The biofilm matrix. Nat. Rev. Microbiol. 2010, 8, 623–633. [Google Scholar] [CrossRef]
- Ripolles-Avila, C.; García-Hernández, N.; Cervantes-Huamán, B.H.; Mazaheri, T.; Rodríguez-Jerez, J.J. Quantitative and compositional study of monospecies biofilms of spoilage microorganisms in the meat industry and their interaction in the development of multispecies biofilms. Microorganisms 2019, 7, 655. [Google Scholar] [CrossRef] [PubMed] [Green Version]
- Flemming, H.-C.; Wingender, J.; Szewzyk, U.; Steinberg, P.; Rice, S.A.; Kjelleberg, S. Biofilms: An emergent form of bacterial life. Nat. Rev. Microbiol. 2016, 14, 563–575. [Google Scholar] [CrossRef] [PubMed]
- Srey, S.; Jahid, I.K.; Ha, S.-D. Biofilm formation in food industries: A food safety concern. Food Control 2013, 31, 572–585. [Google Scholar] [CrossRef]
- Mattia-Dewey, D.; Manikonda, K.; Hall, A.J.; Wise, M.E.; Crowe, S.J. Surveillance for foodborne disease outbreaks—United States, 2009–2015. MMWR Surveill. Summ. 2018, 67, 1–11. [Google Scholar] [CrossRef] [PubMed]
- Jamal, M.; Ahmad, W.; Andleeb, S.; Jalil, F.; Imran, M.; Nawaz, M.A.; Hussain, T.; Ali, M.; Rafiq, M.; Kamil, M.A. Bacterial biofilm and associated infections. J. Chin. Med. Assoc. 2018, 81, 7–11. [Google Scholar] [CrossRef]
- Majed, R.; Faille, C.; Kallassy, M.; Gohar, M. Bacillus cereus biofilms—Same, only different. Front. Microbiol. 2016, 7, 1–16. [Google Scholar] [CrossRef]
- Motarjemi, Y.; Lelieveld, H. (Eds.) Food Safety Management a Practical Guide for the Food Industry, 14th ed.; Elsevier: San Diego, CA, USA, 2014; ISBN 9780123815040. [Google Scholar]
- Gustavsson, J.; Cederberg, C.; Sonesson, U.; van Otterdijk, R.; Meybeck, A. Global Food Losses and Food Waste—Extent, Causes and Prevention; FAO: Rome, Italy, 2011. [Google Scholar]
- Gibson, H.; Taylor, J.H.; Hall, K.E.; Holah, J.T. Effectiveness of cleaning techniques used in the food industry in terms of the removal of bacterial biofilms. J. Appl. Microbiol. 1999, 87, 41–48. [Google Scholar] [CrossRef]
- Dat, N.D.; Manh, L.D.; Hamanaka, D.; Van Hung, D.; Tanaka, F.; Uchino, T. Surface conditioning of stainless steel coupons with skim milk, buttermilk, and butter serum solutions and its effect on bacterial adherence. Food Control 2014, 42, 94–100. [Google Scholar] [CrossRef]
- Ripolles-Avila, C.; Ríos-Castillo, A.G.; Fontecha-Umaña, F.; Rodríguez-Jerez, J.J. Removal of Salmonella enterica serovar Typhimurium and Cronobacter sakazakii biofilms from food contact surfaces through enzymatic catalysis. J. Food Saf. 2019, 40, e12755. [Google Scholar] [CrossRef]
- Lee, N.-Y.; Kim, S.-W.; Ha, S.-D. Synergistic effects of ultrasound and sodium hypochlorite (NaOCl) on reducing Listeria monocytogenes ATCC 19118 in broth, stainless steel, and iceberg lettuce. Foodborne Pathog. Dis. 2014, 11, 1–7. [Google Scholar] [CrossRef]
- Iñiguez-Moreno, M.; Gutiérrez-Lomelí, M.; Guerrero-Medina, P.J.; Avila-Novoa, M.G. Biofilm formation by Staphylococcus aureus and Salmonella spp. under mono and dual-species conditions and their sensitivity to cetrimonium bromide, peracetic acid and sodium hypochlorite. Braz. J. Microbiol. 2018, 49, 310–319. [Google Scholar] [CrossRef]
- Yang, Y.; Hoe, Y.W.; Zheng, Q.; Chung, H.; Yuk, H. Biofilm formation by Salmonella Enteritidis in a simulated liquid egg processing environment and its sensitivity to chlorine and hot water treatment. Food Control 2017, 73, 595–600. [Google Scholar] [CrossRef]
- McDonnell, G.; Russell, A.D. Antiseptics and disinfectants: Activity, action, and resistance. Clin. Microbiol. Rev. 1999, 12, 147–179. [Google Scholar] [CrossRef] [PubMed] [Green Version]
- Oulahal, N.; Martial-Gros, A.; Bonneau, M.; Blum, L.J. Removal of meat biofilms from surfaces by ultrasounds combined with enzymes and/or a chelating agent. Innov. Food Sci. Emerg. Technol. 2007, 8, 192–196. [Google Scholar] [CrossRef]
- Iñiguez-Moreno, M.; Gutiérrez-Lomelí, M.; Avila-Novoa, M.G. Kinetics of biofilm formation by pathogenic and spoilage microorganisms under conditions that mimic the poultry, meat, and egg processing industries. Int. J. Food Microbiol. 2019, 303, 32–41. [Google Scholar] [CrossRef]
- Zhao, X.; Zhao, F.; Wang, J.; Zhong, N. Biofilm formation and control strategies of foodborne pathogens: Food safety perspectives. RSC Adv. 2017, 7, 36670–36683. [Google Scholar] [CrossRef] [Green Version]
- AOAC International Official Method. Official Methods of Analysis of AOAC International; Horwitz, W., Ed.; AOAC International Official Method: Arlington, VA, USA, 2005; pp. 1–3. [Google Scholar]
- Food and Drugs Administration, Title 21—Food and Drugs Chapter I—Food and Drug Administration Department of Health and Human Services Subchapter B—Food for Human Consumption (Continued) Part 178—Indirect Food Additives: Adjuvants, Production Aids, and Sanitizers Subpart B–Substances Utilized To Control the Growth of Microorganisms. Available online: http://www.accessdata.fda.gov/scripts/cdrh/cfdocs/cfcfr/CFRSearch.cfm?fr=178.1010 (accessed on 3 December 2019).
- Chaitiemwong, N.; Hazeleger, W.C.; Beumer, R.R. Inactivation of Listeria monocytogenes by disinfectants and bacteriophages in suspension and stainless steel carrier tests. J. Food Prot. 2014, 77, 2012–2020. [Google Scholar] [CrossRef] [PubMed]
- Kalchayanand, N.; Koohmaraie, M.; Wheeler, T.L. Effect of exposure time and organic matter on efficacy of antimicrobial compounds against Shiga toxin-producing Escherichia coli and Salmonella. J. Food Prot. 2016, 79, 561–568. [Google Scholar] [CrossRef] [PubMed] [Green Version]
- Parker, B.A. JIFSAN Good Aquacultural Practices Program: Effective Cleaning and Sanitizing Procedures; University of Maryland and the Johnson Diversey Corporation: College Park, ML, USA, 2007. [Google Scholar]
- Burchard, W. Solubility and solution structure of cellulose derivatives. Cellulose 2003, 10, 213–225. [Google Scholar] [CrossRef]
- Anand, S.; Singh, D.; Avadhanula, M.; Marka, S. Development and control of bacterial biofilms on dairy processing membranes. Compr. Rev. Food Sci. Food Saf. 2014, 13, 18–33. [Google Scholar] [CrossRef]
- Nagraj, A.K.; Gokhale, D. Bacterial biofilm degradation using extracellular enzymes produced by Penicillium janthinellum EU2D-21 under submerged fermentation. Adv. Microbiol. 2018, 8, 687–698. [Google Scholar] [CrossRef] [Green Version]
- De Rezende, C.E.; Anriany, Y.; Carr, L.E.; Joseph, S.W.; Weiner, R.M. Capsular polysaccharide surrounds smooth and rugose types of Salmonella enterica serovar Typhimurium DT104. Appl. Environ. Microbiol. 2005, 71, 7345–7351. [Google Scholar] [CrossRef] [PubMed] [Green Version]
- Besrour-Aouam, N.; Fhoula, I.; Hernández-Alcántara, A.M.; Mohedano, M.L.; Najjari, A.; Prieto, A.; Ruas-Madiedo, P.; López, P.; Ouzari, H.-I. The role of dextran production in the metabolic context of Leuconostoc and Weissella Tunisian strains. Carbohydr. Polym. 2020, 253, 117254. [Google Scholar] [CrossRef] [PubMed]
- Shen, H.B.; Chou, K.C. EzyPred: A top-down approach for predicting enzyme functional classes and subclasses. Biochem. Biophys. Res. Commun. 2007, 364, 53–59. [Google Scholar] [CrossRef]
- De Reu, K.; Herman, L.; Heyndrickx, M.; De-waele, I. Risks of spoilage and Salmonella contamination of table eggs. Lohmann Inf. 2015, 50, 10–15. [Google Scholar]
- Kumari, S.; Sarkar, P.K. Optimisation of Bacillus cereus biofilm removal in the dairy industry using an in vitro model of cleaning-in-place incorporating serine protease. Int. J. Dairy Technol. 2018, 71, 512–518. [Google Scholar] [CrossRef]
- Bryers, J.D.; Ratner, B.D. Bioinspired implant materials befuddle bacteria. ASM News 2004, 70, 232–237. [Google Scholar]
- Stoodley, P.; Sidhu, S.; Mather, M.; Boucek, A.; Hall-Stoodley, L.; Kathju, S. Kinetics and morphology of polymicrobial biofilm formation on polypropylene mesh. FEMS Immunol. Med. Microbiol. 2012, 65, 283–290. [Google Scholar] [CrossRef] [PubMed] [Green Version]
- Molobela, I.P.; Cloete, T.E.; Beukes, M. Protease and amylase enzymes for biofilm removal and degradation of extracellular polymeric substances (EPS) produced by Pseudomonas fluorescens bacteria. Afr. J. Microbiol. Res. 2010, 4, 1515–1524. [Google Scholar]
- Das, M.P. Effect of cell surface hydrophobicity in microbial biofilm formation. Eur. J. Exp. Biol. 2014, 4, 254–256. [Google Scholar]
- Giaouris, E.; Heir, E.; Desvaux, M.; Hébraud, M.; Møretrø, T.; Langsrud, S.; Doulgeraki, A.; Nychas, G.-J.; Katcániová, M.; Czaczyk, K.; et al. Intra- and inter-species interactions within biofilms of important foodborne bacterial pathogens. Front. Microbiol. 2015, 6, 841. [Google Scholar] [CrossRef] [PubMed]
- Almeida, C.; Azevedo, N.F.; Santos, S.; Keevil, C.W.; Vieira, M.J. Discriminating multi-species populations in biofilms with peptide nucleic acid fluorescence in situ hybridization (PNA FISH). PLoS ONE 2011, 6, e14786. [Google Scholar] [CrossRef] [Green Version]
- Gorokhova, E.; Mattsson, L.; Sundström, A.M. A comparison of TO-PRO-1 iodide and 5-CFDA-AM staining methods for assessing viability of planktonic algae with epifluorescence microscopy. J. Microbiol. Methods 2012, 89, 216–221. [Google Scholar] [CrossRef] [PubMed]
- Bridier, A.; Sanchez-Vizuete, P.; Guilbaud, M.; Piard, J.; Naïtali, M. Biofilm-associated persistence of food-borne pathogens. Food Microbiol. 2015, 45, 167–178. [Google Scholar] [CrossRef]
- Bridier, A.; Sanchez-Vizuete, M.D.P.; Le Coq, D.; Aymerich, S.; Meylheuc, T.; Maillard, J.-Y.; Thomas, V.; Dubois-Brissonnet, F.; Briandet, R. Biofilms of a Bacillus subtilis hospital isolate protect Staphylococcus aureus from biocide action. PLoS ONE 2012, 7, e44506. [Google Scholar] [CrossRef] [PubMed]
- Hobley, L.; Harkins, C.; MacPhee, C.E.; Stanley-Wall, N.R. Giving structure to the biofilm matrix: An overview of individual strategies and emerging common themes. FEMS Microbiol. Rev. 2015, 39, 649–669. [Google Scholar] [CrossRef] [Green Version]
- Lee, K.; Millner, P.; Sharma, M.; Kim, M.S. Detection of bacterial biofilm on stainless steel by hyperspectral fluorescence imaging. In Proceedings of the Food Processing Automation Conference CD-Rom, Providence, RI, USA, 28–29 June 2008; pp. 1–6. [Google Scholar]
- Alhede, M.; Qvortrup, K.; Liebrechts, R.; Høiby, N.; Givskov, M.; Bjarnsholt, T. Combination of microscopic techniques reveals a comprehensive visual impression of biofilm structure and composition. FEMS Inmmunology Med. Microbiol. 2012, 1–8. [Google Scholar] [CrossRef] [Green Version]
- Sharafutdinov, I.S.; Pavlova, A.S.; Khabibrakhmanova, A.M.; Faizova, R.G.; Kurbangalieva, A.R.; Tanaka, K.; Trizna, E.Y.; Baidamshina, D.R.; Bogachev, M.I.; Kayumov, A.R. Targeting Bacillus cereus cells: Increasing efficiency of antimicrobials by the bornyl-possessing 2(5H)-furanone derivative. New Microbiol. 2019, 42, 29–36. [Google Scholar] [PubMed]
- Marques, S.C.; Rezende, J.G.O.S.; Alves, L.A.F.; Silva, B.C.; Alves, E.; Abreu, L.R.; Piccoli, R.H. Formation of biofilms by Staphylococcus aureus on stainless steel and glass surfaces and its resistance to some selected chemical sanitizers. Braz. J. Microbiol. 2007, 38, 538–543. [Google Scholar] [CrossRef] [Green Version]
- Borucki, M.K.; Peppin, J.D.; White, D.; Loge, F.; Call, D.R. Variation in biofilm formation among strains of Listeria monocytogenes. Appl. Environ. Microbiol. 2003, 69, 7336–7342. [Google Scholar] [CrossRef] [PubMed] [Green Version]
- Fratesi, S.E.; Lynch, F.L.; Kirkland, B.L.; Brown, L.R. Effects of SEM preparation techniques on the appearance of bacteria and biofilms in the carter sandstone. J. Sediment. Res. 2004, 74, 858–867. [Google Scholar] [CrossRef]





| Culture Media | Microorganism | Initial Count a | Treatments b | |||||
|---|---|---|---|---|---|---|---|---|
| SDW | SBC | SBC + PAA | Enz | Enz + PAA | Enz + SBC + PAA | |||
| TSB + meat extract (100 g/L) | E. coli | 4.41 ± 0.17 Hcad | 4.70 ± 0.39 CDa | ND | ND | 4.19 ± 0.22 BCDa | ND | ND |
| S. Typhimurium | 6.11 ± 0.13 BCa | 5.28 ± 0.42 BCb | ND | ND | 4.66 ± 0.28 Bc | ND | ND | |
| P. aeruginosa | 6.26 ± 0.27 ABCa | 4.83 ± 0.20 BCDb | ND | ND | 4.32 ± 0.03 BCc | ND | ND | |
| L. monocytogenes | 4.68 ± 0.10 GHa | 4.41 ± 0.17 Da | ND | ND | 3.43 ± 0.29 Fc | ND | ND | |
| B. cereus | ND | ND | ND | ND | ND | ND | ND | |
| TSB + egg yolk (100 mL/L) | E. coli | 5.61 ± 0.24 DEa | 4.30 ± 0.65 Db | ND | ND | 3.62 ± 0.54 DEFb | ND | ND |
| S. Enteritidis | 5.84 ± 0.13 CDa | 5.28 ± 0.43 BCa | ND | ND | 5.35 ± 0.40 Aa | ND | ND | |
| P. aeruginosa | 6.52 ± 0.08 Aa | 5.30 ± 0.39 BCb | ND | ND | 3.86 ± 0.48 CDEFc | ND | ND | |
| L. monocytogenes | 4.46 ± 0.28 Ha | 4.31 ± 0.39 Dab | ND | ND | 3.61 ± 0.38 EFb | ND | ND | |
| B. cereus | 1.46 ± 0.28 Ia | ND | ND | ND | ND | ND | ND | |
| Whole milk | E. coli | 5.73 ± 0.38 DEa | 5.39 ± 0.28 Ba | ND | ND | 4.62 ± 0.32 Bb | ND | ND |
| S. Typhimurium | 6.50 ± 0.29 ABa | 6.09 ± 0.28 Aab | ND | ND | 5.91 ± 0.24 Ab | ND | ND | |
| P. aeruginosa | 5.39 ± 0.21 EFa | 4.90 ± 0.24 BCDb | ND | ND | 4.09 ± 0.39 BCDEb | ND | ND | |
| L. monocytogenes | 4.96 ± 0.38 FGa | 5.03 ± 0.58 BCDa | ND | ND | 3.49 ± 0.35 EFb | ND | ND | |
| B. cereus | ND | ND | ND | ND | ND | ND | ND | |
| Culture Media | Microorganism | Initial Count a | Treatments b | |||||
|---|---|---|---|---|---|---|---|---|
| SDW | SBC | SBC + PAA | Enz | Enz + PAA | Enz + SBC + PAA | |||
| TSB + meat extract (100 g/L) | E. coli | 5.30 ± 0.49 Dcad | 4.87 ± 0.64 Fa | 2.70 ± 0.39 DEb | ND | 4.88 ± 0.36 DEFa | 2.12 ± 0.13 Fc | ND |
| S. Typhimurium | 6.89 ± 0.38 CBa | 6.42 ± 0.03 CDb | 4.29 ± 0.21 Cc | 3.33 ± 0.46 BCd | 6.54 ± 0.17 ABb | 3.52 ± 0.06 Bd | 2.37 ± 0.16 CDe | |
| P. aeruginosa | 7.11 ± 0.43 ABCa | 5.62 ± 0.18 Eb | 4.14 ± 0.63 CDc | 2.89 ± 0.29 Cd | 5.52 ± 0.31 Cb | 2.79 ± 0.29 DEde | 2.17 ± 0.41 DEe | |
| L. monocytogenes | 5.42 ± 0.40 Da | 4.93 ± 0.11 Fa | 3.69 ± 0.32 BCb | ND | 4.90 ± 0.33 DEa | 3.01 ± 0.23 CDc | ND | |
| B. cereus | 3.56 ± 0.01 Ea | 2.08 ± 0.41 Gb | ND | ND | 2.89 ± 0.42 Gb | ND | ND | |
| TSB + egg yolk (100 mL/L) | E. coli | 5.72 ± 0.41 Da | 5.12 ± 0.32 Fa | ND | ND | 4.47 ± 0.36 EFb | ND | ND |
| S. Enteritidis | 6.97 ± 0.27 ABCa | 6.50 ± 0.06 Cb | 4.07 ± 0.19 ABc | 3.51 ± 0.29 Bd | 6.42 ± 0.11 Bb | 4.07 ± 0.10 Ac | 3.05 ± 0.03 Be | |
| P. aeruginosa | 6.63 ± 0.30 Ca | 6.02 ± 0.17 DEb | 3.48 ± 0.65 CDd | 2.28 ± 0.21 Def | 5.38 ± 0.17 Cc | 2.45 ± 0.27 Eef | 2.08 ± 0.25 DEf | |
| L. monocytogenes | 5.03 ± 0.58 Ea | 4.90 ± 0.11 Fa | ND | ND | 4.51 ± 0.29 Fb | ND | ND | |
| B. cereus | 3.06 ± 0.47 Ea | 2.17 ± 0.22 Gb | ND | ND | ND | ND | ND | |
| Whole milk | E. coli | 7.33 ± 0.22 ABa | 7.30 ± 0.45 Ba | 2.20 ± 0.45 Ed | 3.84 ± 0.40 ABc | 6.18 ± 0.05 Bb | 2.35 ± 0.21 DEFd | 1.64 ± 0.32 Ee |
| S. Typhimurium | 8.11 ± 0.06 Aa | 7.64 ± 0.27 Ab | 3.13 ± 0.52 CDe | 4.29 ± 0.47 Ad | 6.92 ± 0.37 Ac | 3.22 ± 0.15 Ce | 3.10 ± 0.08 Ae | |
| P. aeruginosa | 6.43 ± 0.17 Ca | 5.62 ± 0.35 Eb | 2.93 ± 0.23 CDd | 3.73 ± 0.06 Bc | 5.53 ± 0.27 Cb | 2.84 ± 0.07 Dd | 2.27 ± 0.11 BCd | |
| L. monocytogenes | 5.70 ± 0.15 Da | 5.20 ± 0.52 Eab | 2.49 ± 0.11 DEc | ND | 5.25 ± 0.03 CDb | 1.94 ± 0.24 Gd | ND | |
| B. cereus | ND | ND | ND | ND | ND | ND | ND | |
Publisher’s Note: MDPI stays neutral with regard to jurisdictional claims in published maps and institutional affiliations. |
© 2021 by the authors. Licensee MDPI, Basel, Switzerland. This article is an open access article distributed under the terms and conditions of the Creative Commons Attribution (CC BY) license (https://creativecommons.org/licenses/by/4.0/).
Share and Cite
Iñiguez-Moreno, M.; Gutiérrez-Lomelí, M.; Avila-Novoa, M.G. Removal of Mixed-Species Biofilms Developed on Food Contact Surfaces with a Mixture of Enzymes and Chemical Agents. Antibiotics 2021, 10, 931. https://doi.org/10.3390/antibiotics10080931
Iñiguez-Moreno M, Gutiérrez-Lomelí M, Avila-Novoa MG. Removal of Mixed-Species Biofilms Developed on Food Contact Surfaces with a Mixture of Enzymes and Chemical Agents. Antibiotics. 2021; 10(8):931. https://doi.org/10.3390/antibiotics10080931
Chicago/Turabian StyleIñiguez-Moreno, Maricarmen, Melesio Gutiérrez-Lomelí, and María Guadalupe Avila-Novoa. 2021. "Removal of Mixed-Species Biofilms Developed on Food Contact Surfaces with a Mixture of Enzymes and Chemical Agents" Antibiotics 10, no. 8: 931. https://doi.org/10.3390/antibiotics10080931
APA StyleIñiguez-Moreno, M., Gutiérrez-Lomelí, M., & Avila-Novoa, M. G. (2021). Removal of Mixed-Species Biofilms Developed on Food Contact Surfaces with a Mixture of Enzymes and Chemical Agents. Antibiotics, 10(8), 931. https://doi.org/10.3390/antibiotics10080931

