Next Article in Journal
Low Immunogenicity of Intravesical Phage Therapy for Urogenitary Tract Infections
Next Article in Special Issue
Evaluation of the Photodynamic Therapy with Curcumin on L. braziliensis and L. major Amastigotes
Previous Article in Journal
Effect of Titanium Dioxide Nanoparticles on the Expression of Efflux Pump and Quorum-Sensing Genes in MDR Pseudomonas aeruginosa Isolates
Previous Article in Special Issue
Phenothiazinium Photosensitizers Associated with Silver Nanoparticles in Enhancement of Antimicrobial Photodynamic Therapy
 
 
Font Type:
Arial Georgia Verdana
Font Size:
Aa Aa Aa
Line Spacing:
Column Width:
Background:
Article

Development of Phenalenone-Triazolium Salt Derivatives for aPDT: Synthesis and Antibacterial Screening

1
Faculté des Sciences et Techniques, Université de Limoges, PEIRENE, EA 7500, 123 Avenue Albert Thomas, CEDEX, 87060 Limoges, France
2
Molecular Photonics Group, Van ’t Hoff Institute for Molecular Sciences (HIMS), Universiteit van Amsterdam, Science Park 904, 1098 XH Amsterdam, The Netherlands
*
Author to whom correspondence should be addressed.
Antibiotics 2021, 10(6), 626; https://doi.org/10.3390/antibiotics10060626
Submission received: 20 March 2021 / Revised: 16 May 2021 / Accepted: 19 May 2021 / Published: 24 May 2021
(This article belongs to the Special Issue New and Innovative Applications of Antimicrobial Photodynamic Therapy)

Abstract

The increasing number of hospital-acquired infections demand the development of innovative antimicrobial treatments. Antimicrobial photodynamic therapy (aPDT) is a versatile technique which relies on the production of reactive oxygen species (ROS) generated by light-irradiated photosensitizers (PS) in the presence of oxygen (O2). 1H-Phenalen-1-one is a very efficient photosensitizer known for its high singlet oxygen quantum yield and its antimicrobial potential in aPDT when covalently bound to quaternary ammonium groups. Triazolium salts are stable aromatic quaternary ammonium salts that recently appeared as interesting moieties endowed with antimicrobial activities. The coupling between phenalenone and triazolium groups bearing various substituents was realized by copper-catalyzed azide-alkyne cycloaddition followed by alkylation with methyl iodide or 2-(bromomethyl)-1H-phenalen-1-one. As expected, most of the compounds retained the initial singlet oxygen quantum yield, close to unity. Minimum inhibitory concentrations (MIC) of 14 new phenalenone-triazolium salt derivatives and 2 phenalenone-triazole derivatives were determined against 6 bacterial strains (Gram-negatives and Gram-positives species). Most of these PS showed significant photoinactivation activities, the strongest effects being observed against Gram-positive strains with as low as submicromolar MIC values.

1. Introduction

The rapid global spread of multidrug-resistant bacteria is a growing health concern. Nosocomial infections occur worldwide; 7 to 10% of the total hospitalized patients acquire a nosocomial infection with a particular incidence of surgical-site infections [1]. Staphylococcus spp., Escherichia coli, Pseudomonas aeruginosa, Klebsiella pneumoniae, Enterobacter spp., Enterococcus spp., and Acinetobacter spp. are the most commonly isolated bacteria, causing lung, urinary tract, and bloodstream infections [2,3], and previously “benign” strains, such as Bacillus cereus, tend to become more dangerous [4]. In order to counter the propagation of these pathogenic bacteria, alternative treatments have been developed which allow to bypass the use of antibiotics: immunotherapy [5], phage therapy [6], and antimicrobial photodynamic therapy (aPDT) [7,8].
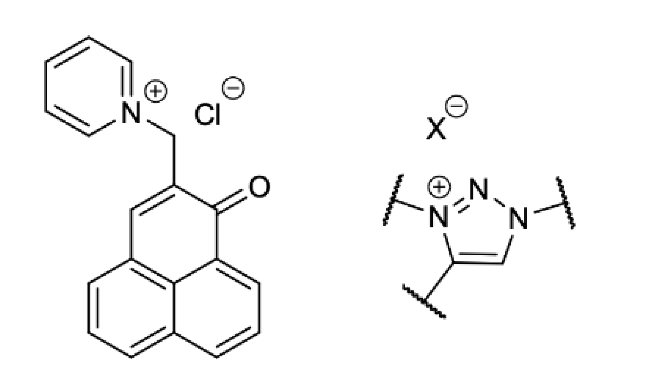
Photodynamic therapy (PDT) involves the use of photosensitizers, which, upon excitation with visible light and in the presence of dioxygen, give rise to organic free radicals and reactive oxygen species (ROS) or to singlet oxygen, according to type I and type II PDT mechanisms, respectively. These two mechanisms lead to the photodynamic inactivation (PDI) of bacteria and, for the most potent photosensitizers, bacterial cell death [9]. In addition, no bacterial resistance against these ROS has been observed, constituting a huge advantage in comparison with the use of antibiotics. Photosensitizers displayed strong photobactericidal activities when covalently bound to specific permeabilizing agents, positively charged or bacteria-targeting moieties, e.g., pyridylporphyrin bound to polymyxins [10,11] or phenalenone-bound pyridinium, also known as SAPyR (Figure 1). The latter is of particular interest, due to its easy synthesis, its high singlet oxygen quantum yield, its stability toward Hoffman elimination as compared with non-aromatic quaternary ammonium salts (QAS), and its strong phototoxic activity against a wide range of bacterial species [12,13,14]. However, this compound presents a major drawback, since it is difficult to add substituents which could modulate its photodynamic activity.
Recently, triazolium salts (Figure 1), another class of aromatic QAS, were evaluated as very promising antimicrobial agents, effective against Gram-positive and Gram-negative bacteria as well as several yeast species [15]. Triazolium salts are easy to synthesize and, in addition, it is possible to graft three different functional groups in a regioselective manner. Moreover, to the best of our knowledge, this permanent cationic charge on the triazolium ring has never been coupled with a photosensitizer for antimicrobial applications. In connection with our research program on the design and development of new photosensitizers for photoantimicrobial applications [16,17], we report herein the synthesis and characterization of phenalenone derivatives bearing 1,3,4-trisubstituted-1,2,3-triazolium salts. The photoinactivation properties of these new photosensitizers were evaluated against six bacterial strains.

2. Results and Discussion

Seven types of triazole substituents were chosen for these assays. The adamantane group (Ada), a strongly apolar moiety whose hydrophobicity could counterbalance the hydrophilicity of the triazolium group, exhibited a medium to good antimicrobial activity toward a large variety of pathogens [18]. The benzyl moiety was also chosen because of its hydrophobicity and its good antimicrobial activity associated with triazolium salts [15]. Glucose (Glc) and primary ammonium (NH3+) derivatives were chosen as neutral and cationic hydrophilic substituents, respectively, in order to enhance the solubility in aqueous media even in the absence of triazolium, making it possible to compare triazole and triazolium activities. Their peracetylated (Glc(OAc)4) and t-butoxycarbonyl (BOC) derivatives, despite the lack of literature about noticeable antibacterial effects, were tested to compare their activities with their unprotected glucose and amino counterparts. Finally, a dimer of phenalenone (PN) was built in order to appreciate the impact of the number of photosensitizer moieties on the antibacterial activity.
Phenalenone derivatives 1 to 6, 9 and 10 were synthetized as previously described [19], and compounds 7 and 8 were obtained from compound 3 (Figure 2). Briefly, the copper-catalyzed azide-alkyne cycloaddition (CuAAC) reactions were carried out in CH2Cl2 using copper iodide, diisopropylethylamine and acetic acid as catalysts [20], a method presenting the advantage to be easily feasible in organic media. Furthermore, 7 was synthesized by this way from 3 in good yield (74%), contrary to 8 (18% yield after 72 h). The classical synthesis in aqueous media with copper sulfate and sodium ascorbate [21] gave compound 8 in better yield (49%) (Scheme 1).
Even if a large variety of compounds can be used as alkylating agents, only two of them have been tested, namely, methyl iodide, the simplest one, and 2-(bromomethyl)-1H-phenalene-1-one (1). All the reactants were soluble in acetonitrile but, as expected, 1 was less reactive than methyl iodide, leading to lower yields despite longer reaction times. All the alkylated compounds were purified by column chromatography, except 5a and 5b, which are highly polar compounds. Finally, tert-butyl carbamates (BOC) of compounds 9a and 9b were cleaved as previously described for 9 [19] to obtain the primary amine hydrochloride derivatives 10a and 10b in excellent yields (99 and 97%, respectively) (Table 1). All of these compounds were fully characterized by NMR and HRMS (Figures S1–S48 in Supplementary Materials), their octanol/water partition coefficient (log P) was estimated using MarvinSketch Software v. 21.2 (Table 1), and their photophysical properties including singlet oxygen quantum yield (ΦΔ) measurements were completely studied in water (Table 1 and Table S1 in Supplementary Materials). As expected, all the compounds showed a very low fluorescence quantum yield, and most of the compounds exhibited a singlet oxygen quantum yield close to unity, but surprisingly, singlet oxygen phosphorescence at 1270 nm was hardly observed for dimers and trimers of PN, which could suggest an important π-stacking effect between multiple planar PN moieties. Due to the polar nature of water and the low lifetime of singlet oxygen in this solvent, further measurements in less polar solvents are required to confirm this hypothesis.
Synthesis of the triazolium salts was conducted as described by Fletcher et al. using an alkylating agent in acetonitrile at 80 °C (Scheme 2) [15].
Minimum Inhibitory Concentration (MIC) of the 16 phenalenone derivatives and SAPyR was determined against Gram-positive (Staphylococcus aureus, Staphylococcus epidermidis, Bacillus cereus) and Gram-negative (Escherichia coli, Pseudomonas aeruginosa) bacteria (Table 2). All the phenalenone derivatives were tested at different concentrations ranging from 0.39 to 200 µM in triplicate in 96-well plates. For the most active compounds, concentrations down to 0.05 µM have been tested. Subsequently, the 96-well plates were irradiated with LED visible light (4.83 mW/cm2) for a total fluence of 25 J/cm2. Controls consisting of 96-well plates were prepared in the same conditions but kept in the dark.
Due to its low solubility in water, no result could be obtained with 6b at concentrations higher than 50 µM. All the tested compounds displayed an increased toxicity in presence of light, and some of them were also active in the dark.
Hydrophilic compounds (containing glucose or amine moieties) showed very low effects against all the tested bacterial strains, as compared with more hydrophobic derivatives. No significant difference was observed between neutral 5 and its triazolium salt derivatives 5a and 5b, suggesting that hydrophobicity is the critical factor for a better efficacy of these salts. This was confirmed by the increase in cytotoxicity brought by acetylation of the hydroxyl groups of 5 (4a and 4b), or by the addition of hydrophobic substituents, such as adamantane (6a and 6b) or benzyle (7a and 7b).
“Phenalenomethylated” compounds bearing an additional hydrophobic moiety (6b, 7b, 8b, and 9b) proved to be the most active derivatives against Gram-positive strains under light as well as dark conditions. This result could be explained by the higher hydrophobicity of the phenalenone moiety compared with the methyl group. The best results were obtained at submicromolar concentrations with 6b, 7b, or 8b. Low MIC values were also obtained in dark conditions, in particular with 6b, 7b, and 9b. The activity against Gram-negative is completely different. Gram-negative strains are much less sensitive to aPDT than Gram-positive strains, mainly due to the presence of an outer layer of lipopolysaccharides lowering the degree of permeability to hydrophobic compounds [23]. No significant activity was detected in the dark against Gram-negative strains, except for 9b against P. aeruginosa, with an MIC value of 25 µM. Under light irradiation, compounds with methylated triazole seem to be more active than “phenalenomethylated” derivatives, which could be explained by the larger size of the latter as well as by their higher hydrophobicity. Compounds 6a and 10 presented the strongest activity against E. coli, and half of the compounds had equal to better activity than SAPyR. Surprisingly, 10 also exhibited an important photodynamic effect against P. aeruginosa, while its triazolium derivatives 10a and 10b showed very low or no activity.
In summary, we have synthesized and characterized 14 new phenalenone derivatives bearing the triazolium group which have shown medium to good water solubility. Compared with SAPyR, hydrophobic triazolium salt derivatives tested in these specific conditions seem to exhibit a better inhibitory activity against all the tested bacterial strains except P. aeruginosa. The next step will be to evaluate whether these new phenalenone derivatives are able to show photobactericidal activity, in particular when exposed to low fluence rates of light. More precisely, we plan to check these compounds for their activity against bacterial biofilms, which represent the real clinical challenge for aPDT.

3. Materials and Methods

General methods. 2-(bromomethyl)-1H-phenalen-1-one (1), 2-(azidomethyl)-1H-phenalen-1-one (2), 2-((prop-2-yn-1-yloxy)methyl)-1H-phenalen-1-one (3), (2R,3R,4S,5R,6R)-2-(acetoxymethyl)-6-((1-((1-oxo-1H-phenalen-2-yl)methyl)-1H-1,2,3-triazol-4-yl)methoxy)tetrahydro-2H-pyran-3,4,5-triyl triacetate (4), 2-((4-((((2R,3R,4S,5S,6R)-3,4,5-trihydroxy-6-(hydroxymethyl)tetrahydro-2H-pyran-2-yl)oxy)methyl)-1H-1,2,3-triazol-1-yl)methyl)-1H-phenalen-1-one (5), (3r,5r,7r)-N-((1-((1-oxo-1H-phenalen-2-yl)methyl)-1H-1,2,3-triazol-4-yl)methyl)adamantane-1-carboxamide (6), tert-butyl ((1-((1-oxo-1H-phenalen-2-yl)methyl)-1H-1,2,3-triazol-4-yl)methyl)carbamate (9), and (1-oxo-1H-phenalen-2-yl)methanaminium chloride (10) were synthetized as described earlier [19]. SAPyR was synthesized following the protocole described by Späth et al. [13]. All other reagents and solvents were purchased from Alfa Aesar, TCI, Carlo Erba, Fisher Chemical, VWR, or Sigma Aldrich and were used as received. The column chromatographies were realized with a silica gel 60 (0.015–0.040 mm) which was purchased from Merck.
Structural characterizations. NMR analyses were conducted on a Bruker DPX 500 NMR spectrometer, operating at 500 MHz and with tetramethylsilane as reference. High-resolution electrospray ionization mass spectra (HR ESI-MS) were performed by the ICOA/CBM (FR2708) at the University of Orléans with a Bruker Q-TOF maXis mass spectrometer coupled to an Ultimate 3000 RSLC chain (Dionex).
Photophysical characterizations. The photophysical characterizations were conducted in water (HPLC grade, supplier = Merck). Both UV-Vis absorption spectra and fluorescence emission spectra were recorded at 21 °C. UV–Vis absorption spectra were measured in quartz cuvettes (1 cm path-length, Hellma) on a Shimadzu UV2700 spectrophotometer. Fluorescence emission spectra were recorded on a SPEX Fluorolog 3 fluorometer. In this fluorometer, double grating monochromators are used in the excitation and emission channels. A Xenon arc lamp (450 W, Osram) is the excitation light source, and a Peltier cooled photomultiplier tube (R636-10, Hamamatsu) is the detector for the fluorescence. For the singlet oxygen emission at 1275 nm, a highly sensitive liquid nitrogen-cooled InGaAs detector (Electro-Optical Systems DSS series cryogenic receiver, 2 mm InGaAs photodiode) was coupled to a Horiba Jobin Yvon Spex Fluorolog 3 spectrofluorometer. The fluorescence signal from the fluorophores in solution is collected in a right-angle geometry, and the fluorescence spectra are corrected for fluctuations of the excitation source flux and for the wavelength dependence of the detection sensitivity. The optical density for photoluminescence spectra was approximately 0.1.
Both quantum yields were determined using the SPEX fluorolog 3 fluorometer relative to a fluorescent standard of known quantum yield. From here, the integrated emission spectra of the unknown sample are compared with that of the standard under the same absorbance conditions (optical density = 0.1) at the same excitation wavelength of 370 nm.
For these measurements, approximately 0.1 mL of the solution was diluted with water. Absorption and emission spectra (both fluorescence and singlet oxygen) were measured using 3.0 mL of the sample and standard solutions in 1 × 1 cm optical path length quartz cells. The quantum yields were calculated using the equation 1 below [24]:
Φ x =   Φ r [ A r ( λ r ) A x ( λ x ) ] [ I ( λ r ) I ( λ x ) ] [ n x 2 n r 2 ] [ D x D r ]
where Φx = the desired quantum yield (fluorescence or singlet oxygen) of the unknown sample; Φr = the quantum yield of the known sample according to the literature; Arr) = absorbance of the reference at the excitation wavelength; Axx) = absorbance of the unknown sample at the excitation wavelength; I(λr) = relative intensity of the exciting light of a known reference at wavelength λ; I(λx) = relative intensity of the exciting light of an unknown sample at wavelength λ; nx = refractive index of the solvent in which the unknown sample is dissolved; nr = refractive index of the solvent in which the known sample is dissolved; Dx = integrated area under the corrected emission spectrum of the unknown sample; Dr = integrated area under the corrected emission spectrum of the known sample. nx and nr must be equal for the singlet oxygen determination. The data were analyzed using the Origin program [25].

3.1. Synthesis of the Triazolium Salts

Synthesis of the triazole derivatives.2-(((1-benzyl-1H-1,2,3-triazol-4-yl)methoxy)methyl)-1H-phenalen-1-one (7). In total, 91 mg (0.37 mmol) of 3 and 100 µL (0.74 mmol) of benzyl azide were dissolved in 10 mL of CH2Cl2. 1.3 mg (7 µmol) of CuI, 3 µL (15 µmol) of DIPEA and 1 µL (7 µmol) of acetic acid was added, after which the reaction is stirred at room temperature for 55 h. The solvent was then evaporated, and the crude substance was purified by column chromatography (CH2Cl2 then CHCl3) to give 104 mg (0.27 mmol, 74%) of yellow powder. 1H-NMR (500 MHz, CDCl3): δ (ppm) = 8.64 (dd, J = 1.0, 7.4 Hz, 1H), 8.21 (dd, J = 0.6, 8.0 Hz, 1H), 8.01 (d, J = 8.2 Hz, 1H), 7.86 (m, 1H), 7.79 (t, J = 8 Hz, 1H), 7.76 (s, 1H), 7.59 (dd, J = 7.1, 8.5 Hz, 1H), 7.56 (s, 1H), 7.38–7.27 (m, 5H), 5.54 (s, 2H), 4.82 (s, 2H), 4.66 (d, J = 1.2, 2H)—13C-NMR (125 MHz, CDCl3): δ (ppm) = 184.42, 145.44, 138.08, 136.25, 134.95, 134.56, 132.03, 131.53, 131.51, 131.49, 130.42, 129.20, 129.13, 128.91, 128.77, 128.17, 127.89, 127.61, 127.08, 126.80, 122.55, 67.35, 64.62, 54.21.—MS: HRMS (ESI+), calcd for C24H20N3O2 [M + H]+: 382.155003, found 382.154573.—MW: 381.44 g/mol.—MP: 122 °C.
2-((4-(((1-oxo-1H-phenalen-2-yl)methoxy)methyl)-1H-1,2,3-triazol-1-yl)methyl)-1H-phenalen-1-one (8). In total, 235 mg (1 mmol) of 2 and 248 mg (1 mmol) of 3, 250 mg (0.2 mmol) of CuSO4.5H2O, and 198 mg (0.4 mmol) of sodium ascorbate were dissolved in 10 mL of tBuOH/H2O 1:1. A precipitate rapidly appears. The reaction was stirred 72 h at room temperature. The solution was poured in 300 mL of water, filtered, and the solid was extracted several times with CH2Cl2. The organic phase was dried and evaporated. The crude substance was purified on column chromatography (CHCl3/MeOH 98:2) to yield 236 mg (0.49 mmol, 49%) of bright yellow powder. 1H-NMR (500 MHz, CDCl3): δ (ppm) = 8.67 (dd, J = 0.9, 7.4 Hz, 1H), 8.62 (dd, J = 0.9, 7.5 Hz, 1H), 8.24 (d, J = 7.7 Hz, 1H), 8.19 (d, J = 7.8 Hz, 1H), 8.05 (d, J = 8.2 Hz, 1H), 7.99 (d, J = 8.3 Hz, 1H), 7.94 (s, 1H), 7.87 (t, J = 1.0 Hz, 1H), 7.80 (t, J = 7.7 Hz, 1H), 7.78–7.74 (m, 3H), 7.74 (s, 1H), 7.61 (dd, J = 7.2, 8.1 Hz, 1H), 7.58 (dd, J = 7.2, 8.1 Hz, 1H), 5.60 (s, 2H), 4.85 (s, 2H), 4.69 (d, J = 1.1 Hz, 2H).—13C-NMR (125 MHz, CDCl3): δ (ppm) = 184.40, 183.89, 145.18, 141.21, 137.93, 136.34, 135.53, 134.90, 133.53, 132.71, 132.65, 132.04, 132.01, 131.51, 131.43, 131.06, 130.38, 129.20, 128.85, 127.65, 127.35, 127.34, 127.07, 127.04, 126.91, 126.84, 126.78, 124.00, 67.30, 64.61, 48.89.—MS: HRMS (ESI+), calcd for C31H22N3O3 [M + H]+: 484.165568, found 484.165628.—MW: 483.53 g/mol.—MP: 125 °C (deg.).
General procedure for the methylation of the triazoles. A total of 1 eq. of triazole compound and 20 eq. of methyl iodide were dissolved in the minimum amount of acetonitrile. The reaction was then left at 80 °C for 16 to 24 h. The solvent was evaporated, and the crude substance was purified by column chromatography (CHCl3/MeOH 98:2 to 95:5), except for 5a, and then crystallized in diethyl ether.
3-methyl-1-((1-oxo-1H-phenalen-2-yl)methyl)-4-((((2R,3R,4S,5R,6R)-3,4,5-triacetoxy-6-(acetoxymethyl)tetrahydro-2H-pyran-2-yl)oxy)methyl)-1H-1,2,3-triazol-3-ium iodide (4a). A total of 350 mg (0.56 mmol) of 4 gave 362 mg (0.47 mmol, 85%) of orange yellow powder. 1H-NMR (500 MHz, CDCl3): δ (ppm) = 9.20 (s, 1H), 8.60 (d, J = 7.3 Hz, 1H), 8.49 (s, 1H), 8.26 (d, J = 8.0 Hz, 1H), 8.17 (d, J = 7.0 Hz, 1H), 8.11 (d, J = 8.3 Hz, 1H), 7.80 (t, J = 7.7 Hz, 1H), 7.68 (t, J = 7.7 Hz, 1H), 5.87 (d, J = 14.5 Hz, 1H), 5.83 (d, J = 14.5 Hz, 1H), 5.40 (d, J = 14.4 Hz, 1H), 5.23 (d, J = 14.3 Hz, 1H), 5.22 (t, J = 9.3 Hz, 1H), 5.07 (m, 2H), 4.98 (m, 1H), 4.34 (m, 4H), 4.07 (m, 2H), 2.04 (s, 3H), 2.01 (s, 6H), 1.98 (s, 3H).—13C-NMR (125 MHz, CDCl3): δ (ppm) = 183.45, 170.48, 169.89, 169.63, 169.52, 144.64, 140.52, 136.08, 134.62, 133.68, 132.05, 131.26, 131.24, 129.28, 128.54, 127.58, 127.45, 127.29, 126.25, 100.66, 72.70, 72.13, 71.04, 67.78, 61.07, 60.11, 53.31, 39.39, 20.86, 20.80, 20.60, 20.54.—MS: HRMS (ESI+), calcd for C32H34N3O11 [M]+: 636.218785, found 636.218796.—MW: 763.54 g/mol.
3-methyl-1-((1-oxo-1H-phenalen-2-yl)methyl)-4-((((2R,3R,4S,5S,6R)-3,4,5-trihydroxy-6-(hydroxymethyl)tetrahydro-2H-pyran-2-yl)oxy)methyl)-1H-1,2,3-triazol-3-ium iodide (5a). A total of 90 mg (0.20 mmol) of 5 gave 95 mg (0.16 mmol, 80%) of very hygroscopic yellow powder. The product is stocked in 10 mM aqueous solution at 4 °C until using. 1H-NMR (500 MHz, D2O): δ (ppm) = 8.76 (s, 1H), 8.22 (m, 2H), 8.10 (d, J = 8.3 Hz, 1H), 8.00 (s, 1H), 7.84 (d, J = 7.1 Hz, 1H), 7.69 (t, J = 7.7 Hz, 1H), 7.64 (t, J = 7.7 Hz, 1H), 5.63 (s, 2H), 5.21 (d, J = 14.5 Hz, 1H), 5.15 (d, J = 14.5 Hz, 1H), 4.61 (d, J = 7.9 Hz, 1H), 4.36 (s, 3H), 3.76 (dd, J = 1.7, 12.3 Hz, 1H), 3.60 (dd, J = 5.2, 12.3 Hz, 1H), 3.52 (t, J = 9.0 Hz, 1H), 3.40 (m, 2H), 3.36 (dd, J = 8.0, 9.3 Hz, 1H).—13C-NMR (125 MHz, D2O): δ (ppm) = 184.51, 145.76, 140.01, 137.21, 135.23, 134.59, 131.41, 131.32, 130.14, 128.71, 127.41, 127.26, 127.15, 126.01, 125.26, 102.23, 76.03, 75.56, 72.82, 69.33, 60.43, 58.80, 52.78, 38.20.—MS: HRMS (ESI+), calcd for C24H26N3O7 [M + H]+: 468.176527, found 468.176445.—MW: 595.39 g/mol.
4-(((1r,3r)-adamantane-1-carboxamido)methyl)-3-methyl-1-((1-oxo-1H-phenalen-2-yl)methyl)-1H-1,2,3-triazol-3-ium iodide (6a). A total of 41 mg (90 µmol) of 6 gave 38 mg (63 µmol, 70%) of bright yellow powder. 1H-NMR (500 MHz, CDCl3): δ (ppm) = 8.97 (s, 1H), 8.59 (d, J = 7.3 Hz, 1H), 8.26 (s, 1H), 8.25 (d, J = 8 Hz, 1H), 8.11 (m, 3H), 7.80 (t, J = 7.7 Hz, 1H), 7.67 (t, J = 7.6 Hz, 1H), 5.72 (s, 2H), 4.75 (d, J = 5.3 Hz, 2H), 4.43 (s, 3H), 1.99 (s, 3H), 1.87 (s, 6H), 1.68 (s, 6H).—13C-NMR (125 MHz, CDCl3): δ (ppm) = 183.24, 179.80, 144.13, 142.90, 136.06, 134.32, 133.73, 132.02, 131.40, 131.09, 129.37, 128.47, 127.52, 127.51, 127.16, 126.17, 53.23, 40.79, 39.23, 39.06 (3C), 36.37 (3C), 32.28, 28.03 (3C).—MS: HRMS (ESI+), calcd for C29H31N4O2 [M]+: 467.244153, found 467.243968.—MW: 594.50 g/mol.
1-benzyl-3-methyl-4-(((1-oxo-1H-phenalen-2-yl)methoxy)methyl)-1H-1,2,3-triazol-3-ium iodide (7a). A total of 270 mg (0.71 mmol) of 7 gave 339 mg (0.65 mmol, 92%) of yellow powder. 1H-NMR (500 MHz, CDCl3): δ (ppm) = 9.55 (s, 1H), 8.56 (d, J = 7.2 Hz, 1H), 8.20 (d, J = 8.0 Hz, 1H), 8.03 (d, J = 7.2 Hz, 1H), 8.01 (s, 1H), 7.97 (d, J = 7.0 Hz, 1H), 7.77 (t, J = 7.7 Hz, 1H), 7.63 (t, J = 7.7 Hz, 1H), 7.59 (m, 2H), 7.40 (m, 3H), 5.92 (s, 2H), 5.08 (s, 2H), 4.64 (s, 2H), 4.39 (s, 3H).—13C-NMR (125 MHz, CDCl3): δ (ppm) = 184.41, 141.69, 140.60, 135.28, 134.00, 132.91, 132.33, 132.01, 131.05, 130.72, 130.56, 130.06, 129.61 (2C), 129.53 (2C), 129.06, 127.39, 127.14, 127.04, 126.99, 69.11, 60.69, 57.60, 39.41.—MS: HRMS (ESI+), calcd for C25H22N3O2 [M]+: 396.170653, found 396.170530.—MW: 523.37 g/mol.
3-methyl-4-(((1-oxo-1H-phenalen-2-yl)methoxy)methyl)-1-((1-oxo-1H-phenalen-2-yl)methyl)-1H-1,2,3-triazol-3-ium iodide (8a). A total of 70 mg (0.14 mmol) of 8 gave 82 mg (0.13 mmol, 91%) of yellow powder. 1H-NMR (500 MHz, CDCl3): δ (ppm) = 9.36 (s, 1H), 8.62 (s, 1H), 8.50 (d, J = 7.5 Hz, 1H), 8.46 (d, J = 7.5 Hz, 1H), 8.16 (m, 3H), 8.03 (d, J = 8.2 Hz, 1H), 7.97 (d, J = 7.0 Hz, 1H), 7.96 (s, 1H), 7.91 (d, J = 7.0 Hz, 1H), 7.71 (t, J = 7.8 Hz, 1H), 7.69 (t, J = 7.8 Hz, 1H), 7.62 (t, J = 7.6 Hz, 1H), 7.58 (t, J = 7.6 Hz, 1H), 5.91 (s, 2H), 5.10 (s, 2H), 4.65 (s, 2H), 4.41 (s, 3H).—13C-NMR (125 MHz, CDCl3): δ (ppm) = 184.36, 183.54, 145.14, 141.43, 140.56, 135.92, 135.20, 134.70, 134.07, 133.51, 132.76, 132.26, 131.97, 131.96, 131.11, 130.91, 130.56, 129.16, 129.00, 128.54, 127.54, 127.32, 127.30, 127.26, 127.11, 126.99, 126.97, 126.29, 69.04, 60.76, 53.08, 39.41.—MS: HRMS (ESI+), calcd for C32H24N3O3 [M]+: 498.181218, found 498.180972.—MW: 625.47 g/mol.
4-(((tert-butoxycarbonyl)amino)methyl)-3-methyl-1-((1-oxo-1H-phenalen-2-yl)methyl)-1H-1,2,3-triazol-3-ium iodide (9a). A total of 539 mg (1.38 mmol) of 9 gave 501 mg (0.94 mmol, 68%) of orange yellow powder. 1H-NMR (500 MHz, CDCl3): δ (ppm) = 8.94 (s, 1H), 8.60 (d, J = 7.3 Hz, 1H), 8.39 (s, 1H), 8.25 (d, J = 7.8 Hz, 1H), 8.14 (d, J = 6.9 Hz, 1H), 8.11 (d, J = 8.2 Hz, 1H), 7.80 (t, J = 7.7 Hz, 1H), 7.67 (dd, J = 7.4, 8.1 Hz, 1H), 6.40 (t, J = 5.4 Hz, 1H), 5.78 (s, 2H), 4.73 (d, J = 6.1 Hz, 2H), 4.41 (s, 3H), 1.40 (s, 9H). —13C-NMR (125 MHz, CDCl3): δ (ppm) = 183.35, 156.06, 144.37, 143.07, 136.05, 134.54, 133.67, 132.02, 131.32, 130.87, 129.27, 128.50, 127.55, 127.44, 127.23, 126.21, 80.78, 53.15, 39.29, 34.16, 28.28 (3C).—MS: HRMS (ESI+), calcd for C23H25N4O3 [M]+: 405.192117, found 405.192461.—MW: 532.38 g/mol.
General procedure for the “phenalenomethylation” of the triazoles. A total of 1 eq. of the PN-triazole and 2 eq. of 1 are dissolved in the minimum amount of acetonitrile. The reaction remained at 80 °C for 48 to 72 h. The solvent was evaporated, and the crude substance was purified by column chromatography (CHCl3/MeOH 98:2 to 95:5), except for 5b, then crystallized in diethyl ether.
1,3-bis((1-oxo-1H-phenalen-2-yl)methyl)-4-((((2R,3R,4S,5R,6R)-3,4,5-triacetoxy-6-(acetoxymethyl)tetrahydro-2H-pyran-2-yl)oxy)methyl)-1H-1,2,3-triazol-3-ium bromide (4b). A total of 350 mg (0.56 mmol) of 4 gave 335 mg (0.37 mmol, 67%) of yellow powder. 1H-NMR (500 MHz, CDCl3): δ (ppm) = 9.22 (s, 1H), 8.58 (dd, J = 1.0, 7.3 Hz, 1H), 8.57 (dd, J = 1.0, 7.3 Hz, 1H), 8.51 (s, 1H), 8.31 (s, 1H), 8.28 (d, J = 8.0 Hz, 1H), 8.25 (d, J = 8.0 Hz, 1H), 8.15 (m, 2H), 8.10 (m, 2H), 7.82 (t, J = 7.6 Hz, 1H), 7.79 (t, J = 7.6 Hz, 1H), 7.70 (dd, J = 7.3, 8.0 Hz, 1H), 7.67 (dd, J = 7.3, 8.0 Hz, 1H), 5.88 (s, 2H), 5.83 (s, 2H), 5.50 (d, J = 14.4 Hz, 1H), 5.41 (d, J = 14.4 Hz, 1H), 5.23 (t, J = 9.4 Hz, 1H), 5.05 (m, 3H), 4.21 (m, 1H), 4.01 (m, 2H), 2.02 (s, 3H), 2.00 (s, 3H), 1.97 (s, 3H), 1.92 (s, 3H).—13C-NMR (125 MHz, CDCl3): δ (ppm) = 183.42, 183.33, 170.45, 169.92, 169.64, 169.51, 144.55, 144.13, 141.19, 135.98, 135.90, 134.57, 134.24, 133.50, 133.44, 132.08, 132.02, 131.22, 131.13, 130.92, 129.64, 129.63, 128.60, 128.57, 127.54 (2C), 127.46, 127.33, 127.26, 127.22, 126.42 (2C), 100.76, 72.77, 72.11, 71.08, 67.90, 61.14, 60.40, 53.20, 20.74, 20.69, 20.59, 20.56.—MS: HRMS (ESI+), calcd for C45H40N3O12 [M]+: 814.260650, found 814.260689. —MW: 894.73 g/mol.
1,3-bis((1-oxo-1H-phenalen-2-yl)methyl)-4-((((2R,3R,4S,5S,6R)-3,4,5-trihydroxy-6-(hydroxymethyl)tetrahydro-2H-pyran-2-yl)oxy)methyl)-1H-1,2,3-triazol-3-ium bromide (5b). A total of 138 mg (0.30 mmol) of 5 gave 104 mg (0.14 mmol, 48%) of very hygroscopic orange yellow powder. The product is stocked in 10 mM aqueous solution at 4 °C until using. 1H-NMR (500 MHz, D2O): δ (ppm) = 9.09 (s, 1H), 8.52 (d, J = 8.2 Hz, 2H), 8.44 (d, J = 7.4 Hz, 2H), 8.34 (d, J = 8.2 Hz, 2H), 8.23 (s, 2H), 8.09 (m, 2H), 7.91 (t, J = 7.7 Hz, 2H), 7.80 (t, J = 7.7 Hz, 1H), 7.79 (t, J = 7.7 Hz, 1H), 5.80 (s, 2H), 5.79 (s, 2H), 5.28 (d, J = 14.1 Hz, 1H), 5.22 (d, J = 14.1 Hz, 1H), 4.44 (d, J = 7.8 Hz, 1H), 3.66 (d, J = 1.4, 11.7 Hz, 1H), 3.42 (dd, J = 6.2, 11.7 Hz, 1H), 3.17 (m, 2H), 3.06 (m, 2H).—13C-NMR (125 MHz, D2O): δ (ppm) = 182.50, 182.48, 143.48, 143.00, 140.87, 136.06 (2C), 133.69, 133.62, 133.33, 133.25, 131.60 (2C), 130.52, 130.40 (2C), 130.35, 130.20, 127.86, 127.85, 127.54, 127.53, 127.30, 127.26, 126.46, 126.40, 125.89, 125.84, 102.78, 77.02, 76.39, 73.09, 69.76, 60.89, 58.55, 52.63, 50.71.—MS: HRMS (ESI+), calcd for C37H32N3O8 [M]+: 646.218391, found 646.217763.—MW: 726.58 g/mol.
4-(((3r,5r,7r)-adamantane-1-carboxamido)methyl)-1,3-bis((1-oxo-1H-phenalen-2-yl)methyl)-1H-1,2,3-triazol-3-ium bromide (6b). A total of 172 mg (0.38 mmol) of 6 gave 113 mg (0.16 mmol, 41%) of bright yellow powder. 1H-NMR (500 MHz, CDCl3): δ (ppm) = 8.93 (s, 1H), 8.54 (t, J = 7.0 Hz, 1H), 8.54 (t, J = 7.0 Hz, 1H), 8.45 (t, J = 5.7 Hz, 1H), 8.31 (s, 1H), 8.23 (t, J = 8.0 Hz, 1H), 8.23 (t, J = 8.0 Hz, 1H), 8.18 (s, 1H), 8.08 (dd, J = 7.1, 8.0 Hz, 1H), 8.08 (dd, J = 7.1, 8.0 Hz, 1H), 8.04 (d, J = 7.0 Hz, 1H), 8.04 (d, J = 7.0 Hz, 1H), 7.77 (t, J = 7.7 Hz, 1H), 7.76 (t, J = 7.7 Hz, 1H), 7.65 (dd, J = 7.4, 8.3 Hz, 1H), 7.63 (dd, J = 7.4, 8.3 Hz, 1H), 6.03 (s, 2H), 5.72 (s, 2H), 4.96 (d, J = 5.8 Hz, 2H), 1.93 (s, 3H), 1.84 (s, 6H), 1.64 (m, 6H).—13C-NMR (125 MHz, CDCl3): δ (ppm) = 183.33, 183.08, 179.70, 143.72, 143.58, 143.53, 135.89, 135.77, 134.20, 134.02, 133.49, 133.28, 131.99, 131.95, 131.24, 131.09, 131.04, 130.13, 129.66, 128.61, 128.43, 127.44, 127.41, 127.38, 127.37, 127.12, 127.10, 126.43, 126.24, 53.06, 51.90, 40.75, 38.90 (3C), 36.38 (3C), 32.37, 28.03 (3C).—MS: HRMS (ESI+), calcd for C42H37N4O3 [M]+: 645.286017, found 645.286100.—MW: 725.69 g/mol.
1-benzyl-4-(((1-oxo-1H-phenalen-2-yl)methoxy)methyl)-3-((1-oxo-1H-phenalen-2-yl)methyl)-1H-1,2,3-triazol-3-ium bromide (7b). A total of 49 mg (0.13 mmol) of 7 gave 72 mg (0.11 mmol, 86%) of yellow powder. 1H-NMR (500 MHz, CDCl3): δ (ppm) = 9.79 (s, 1H), 8.51 (t, J = 8.0 Hz, 2H), 8.17 (d, J = 7.0 Hz, 1H), 8.16 (s, 1H), 8.11 (d, J = 7.9 Hz, 1H), 8.00 (m, 3H), 7.84 (s, 1H), 7.77 (d, J = 7.0 Hz, 1H), 7.73 (t, J = 7.7 Hz, 1H), 7.69 (t, J = 7.7 Hz, 1H), 7.62 (m, 2H), 7.58 (t, J = 7.7 Hz, 1H), 7.58 (t, J = 7.7 Hz, 1H), 7.39 (m, 3H), 6.04 (s, 2H), 5.89 (s, 2H), 5.16 (s, 2H), 4.63 (s, 2H).—13C-NMR (125 MHz, CDCl3): δ (ppm) = 184.21, 183.08, 143.18, 141.03, 140.74, 135.71, 135.06, 134.14, 133.94, 133.28, 132.57, 132.03, 131.91, 131.89, 131.40, 131.14, 130.97, 130.47, 129.92, 129.81, 129.61 (2C), 129.47 (2C), 128.98, 128.44, 127.31, 127.30, 127.22, 127.05, 127.02, 127.02, 126.92, 126.25, 68.90, 60.61, 57.70, 51.83.—MS: HRMS (ESI+), calcd for C38H28N3O3 [M]+: 574.212518, found 574.212562.—MW: 654.56 g/mol.
4-(((1-oxo-1H-phenalen-2-yl)methoxy)methyl)-1,3-bis((1-oxo-1H-phenalen-2-yl)methyl)-1H-1,2,3-triazol-3-ium bromide (8b). A total of 202 mg (0.42 mmol) of 8 gave 256 mg (0.34 mmol, 81%) of bright yellow powder. 1H-NMR (500 MHz, CDCl3): δ (ppm) = 9.45 (s, 1H), 8.73 (s, 1H), 8.54 (dd, J = 0.8, 7.5 Hz, 1H), 8.41 (dd, J = 0.8, 7.5 Hz, 1H), 8.38 (dd, J = 0.8, 7.5 Hz, 1H), 8.20 (d, J = 8.1 Hz, 1H), 8.18 (s, 1H), 8.12 (m, 2H), 8.05 (d, J = 8.2 Hz, 1H), 8.03 (d, J = 7.2 Hz, 1H), 7.98 (d, J = 8.1 Hz, 1H), 7.92 (d, J = 8.2 Hz, 1H), 7.87 (d, J = 8.2 Hz, 1H), 7.74 (t, J = 7.7 Hz, 1H), 7.70 (s, 1H), 7.66 (t, J = 7.6 Hz, 1H), 7.63 (dd, J = 7.4, 8.2 Hz, 1H), 7.62 (m, 1H), 7.57 (t, J = 7.7 Hz, 1H), 7.54 (dd, J = 7.4, 8.1 Hz, 1H), 7.50 (dd, J = 7.4, 8.1 Hz, 1H), 6.06 (s, 2H), 5.92 (s, 2H), 5.18 (s, 2H), 4.61 (s, 2H).—13C-NMR (125 MHz, CDCl3): δ (ppm) = 183.94, 183.65, 183.05, 145.53, 142.86, 140.77, 139.89, 135.77, 135.48, 134.88, 134.64, 134.33, 134.10, 133.33, 133.01, 132.23, 131.97, 131.78, 131.74, 130.99, 130.97, 130.93, 130.34, 130.06, 129.50, 128.80, 128.65, 128.34, 127.55, 127.22 (2C), 127.16, 127.03 (3C), 126.98, 126.97, 126.91, 126.78, 126.48, 126.33, 68.64, 60.84, 53.33, 51.44.—MS: HRMS (ESI+), calcd for C45H30N3O4 [M]+: 676.223083, found 676.222808.—MW: 756.66 g/mol.
4-(((tert-butoxycarbonyl)amino)methyl)-1,3-bis((1-oxo-1H-phenalen-2-yl)methyl)-1H-1,2,3-triazol-3-ium bromide (9b). A total of 460 mg (1.18 mmol) of 9 gave 658 mg (0.99 mmol, 84%) of yellow powder. 1H-NMR (500 MHz, CDCl3): δ (ppm) = 8.92 (s, 1H), 8.55 (dd, J = 1.1, 7.3 Hz, 1H), 8.54 (d, J = 7.3 Hz, 1H), 8.33 (s, 1H), 8.30(s, 1H), 8.24 (dd, J = 0.9, 8.1 Hz, 1H), 8.21 (d, J = 8.4 Hz, 1H), 8.09 (m, 4H), 7.78 (t, J = 7.8 Hz, 1H), 7.76 (t, J = 7.8 Hz, 1H), 7.66 (dd, J = 7.2, 8.1 Hz, 1H), 7.64 (dd, J = 7.2, 8.1 Hz, 1H), 6.84 (s, 1H), 5.97 (s, 2H), 5.79 (s, 2H), 4.89 (d, J = 6.0 Hz, 2H), 1.32 (s, 9H).—13C-NMR (125 MHz, CDCl3): δ (ppm) = 183.37, 183.28, 156.17, 144.02, 143.77, 135.88, 135.81, 134.45, 134.16, 133.44, 133.29, 131.98, 131.93, 131.16, 131.13, 130.65, 129.94, 129.56, 128.58, 128.46, 127.43, 127.34, 127.31, 127.17 (2C), 127.16 (2C), 126.44, 126.30, 80.39, 53.08, 51.65, 34.19, 28.22 (3C).—MS: HRMS (ESI+), calcd for C36H31N4O4 [M]+: 583.233982, found 583.233983.—MW: 663.57 g/mol.
Deprotection of BOC derivatives. Hydrolysis of BOC moiety was carried out by dissolving BOC derivatives in dioxane-HCl 37% mixture (10:1 v/v) and stirring the resulting solution for 90 min at room temperature. The solvents were evaporated, and the crude substance was repeatedly dissolved in a minimum amount of methanol, crystallized in diethyl ether and evaporated until obtaining a dry powder.
4-(ammoniomethyl)-3-methyl-1-((1-oxo-1H-phenalen-2-yl)methyl)-1H-1,2,3-triazol-3-ium chloride (10a). A total of 100 mg (0.19 mmol) of 9a gave 70 mg (0.19 mmol, 99%) of orange yellow powder. 1H-NMR (500 MHz, DMSO-d6): δ (ppm) = 9.13 (s, 1H), 9.06 (s, 2H), 8.56 (d, J = 8.4 Hz, 1H), 8,55 (d, J = 7.3 Hz, 1H), 8.37 (d, J = 8.3 Hz, 1H), 8.35 (s, 1H), 8.22 (d, J = 7.0 Hz, 1H), 7.97 (t, J = 7.7 Hz, 1H), 7.83 (t, J = 7.7 Hz, 1H), 5.91 (s, 2H), 4.42 (s, 2H), 4,41 (s, 3H).—13C-NMR (125 MHz, DMSO-d6): δ (ppm) = 182.46, 143.13, 137.47, 136.25, 133.96, 133.45, 131.72 (2C), 130.56 (2C), 127.93, 127.69, 127.44, 126.52, 125.95, 52.41, 38.72, 30.60.—MS: HRMS (ESI+), calcd for C18H17N4O [M − H]+: 305.139688, found 305.139596.—MW: 377.27 g/mol.
4-(ammoniomethyl)-1,3-bis((1-oxo-1H-phenalen-2-yl)methyl)-1H-1,2,3-triazol-3-ium chloride (10b). A total of 144 mg (0.22 mmol) of 9b gave 117 mg (0.21 mmol, 97%) of orange yellow powder. 1H-NMR (500 MHz, D2O): δ (ppm) = 9.11 (s, 1H), 7.88 (d, J = 4.7 Hz, 1H), 7.73 (m, 1H), 7.63 (m, 1H), 7.59 (m, 1H), 7.57 (m, 1H), 7.53 (m, 1H), 7.52 (m, 1H), 7.46 (m, 1H), 7.37 (m, 1H), 7.20 (m, 1H), 7.13 (m, 2H), 7.06 (m, 2H), 5.63 (s, 2H), 5.54 (s, 2H), 4.96 (s, 2H).—13C-NMR (125 MHz, D2O): δ (ppm) = 186.79, 186.49, 148.63, 147.91, 139.46, 139.20, 139.12, 137.42, 137.09, 136.81, 136.56, 134.15, 133.50, 133.12 (2C), 133.02, 131.42, 131.05, 129.40, 129.30, 129.23, 129.07, 129.01, 128.83, 127.91, 127.65, 127.20, 127.00, 56.29, 54.22, 34.11.—MS: HRMS (ESI+), calcd for C31H23N4O2 [M − H]+: 483.181552, found 483.181547.—MW: 555.13 g/mol.

3.2. Microbiological Assays

Bacterial strains and conditions of culture. Two Gram-positive (Staphylococcus aureus CIP76.25 and Staphylococcus epidermidis CIP109.562) and three Gram-negative (Pseudomonas aeruginosa CIP76110; Escherichia coli CIP53.126 and Escherichia coli CIP54.8T) bacterial strains were obtained from the Collection Institut Pasteur (CIP, Institut Pasteur Paris, France). Bacillus cereus CH was obtained from Anyang Yuanshou Biopharmaceutical (China). These strains were cultured in liquid Tryptic Soy Broth (pancreatic casein extract 17 g/L, soy flour papaic digest 3 g/L, dextrose 2.5 g/L, NaCl 5 g/L, and K2HPO4 2.5 g/L) and incubated overnight at 37 °C under aerobic conditions.
Minimum Inhibitory Concentration (MIC) assays. Inoculum were prepared following a standard microdilution assay procedure using tryptic soy broth (TSB) and performed in triplicate. All the compounds were dissolved in a water/ethanol 99:1 mixture to obtain stock solutions at a concentration of 1 mM and kept at 4 °C. Then, fresh solutions of each compound at 400 µM in TSB were prepared. A total of 200 µL of these solutions were added in 96-well plates, and a 1:1 serial dilution was performed from 400 µM to 1.56 µM. A total of 100 µL of a bacterial suspension at 2.106 CFU/mL was added to each well, which resulted in a range of concentrations from 200 to 0.78 µM. Subsequently, the 96-well plates were irradiated with white LED visible light (wavelength around: 390–700 nm, 4.83 mW/cm2) for a total fluence of 25 J/cm2. Controls consisting of 96-well plates were prepared in the same conditions but kept in the dark. After irradiation, the 96-well plates were incubated overnight at 37 °C under aerobic conditions. The lowest concentration of each compound that prevented bacterial growth was considered the Minimum Inhibitory Concentration (MIC) of each compound. All compounds displaying activity at the minimum 0.78 µM concentration of the original assay were tested again with 25 µM as the initial concentration instead of 200 µM and using the same procedure previously described. A total of three independent experiments were performed with each strain.

Supplementary Materials

The following are available online at https://www.mdpi.com/article/10.3390/antibiotics10060626/s1: Table S1. Molar extinction coefficient (ε), fluorescence quantum yield (Φf), and singlet oxygen quantum yield (ΦΔ) of the tested PN in water. Figure S1 to S48: 1H and 13C NMR spectra, HRMS and ESI+ spectra. Figure S49: chemical strcuture of all compounds.

Author Contributions

Conceptualization, J.G., V.S., T.-S.O., and F.B.; methodology, J.G.; validation, V.S., F.B., T.-S.O., and R.M.W.; investigation, J.G. and D.G.; resources, V.S.; writing—original draft preparation, J.G.; writing—review and editing, F.B., T.-S.O., and V.S.; visualization, V.S., F.B., and T.-S.O.; supervision, V.S., F.B., T.-S.O., N.V., S.L.-L., and R.M.W.; validation, V.S.; All authors have read and agreed to the published version of the manuscript.

Funding

This project has received funding from the European Union’s Horizon 2020 research and innovation programme under the Marie Sklodowska-Curie grant agreement no. 764837.

Institutional Review Board Statement

Not applicable.

Informed Consent Statement

Not applicable.

Data Availability Statement

No datastets were generated.

Acknowledgments

The authors acknowledge “Région Limousin then Nouvelle-Aquitaine” for their help (J.G.), Cyril Colas (ICOA, Orléans University, France) for the HRMS experiments, Yves Champavier (BISCEm, Limoges University, France) for the NMR experiments, and Michel Guilloton for manuscript editing.

Conflicts of Interest

The authors declare no conflict of interest.

References

  1. Allegranzi, B.; Nejad, S.B.; Combescure, C.; Graafmans, W.; Attar, H.; Donaldson, L.; Pittet, D. Burden of Endemic Health-Care-Associated Infection in Developing Countries: Systematic Review and Meta-Analysis. Lancet 2011, 377, 228–241. [Google Scholar] [CrossRef]
  2. Agaba, P.; Tumukunde, J.; Tindimwebwa, J.V.B.; Kwizera, A. Nosocomial Bacterial Infections and Their Antimicrobial Susceptibility Patterns among Patients in Ugandan Intensive Care Units: A Cross Sectional Study. BMC Res. Notes 2017, 10, 349. [Google Scholar] [CrossRef]
  3. Zhanel, G.G.; DeCorby, M.; Laing, N.; Weshnoweski, B.; Vashisht, R.; Tailor, F.; Nichol, K.A.; Wierzbowski, A.; Baudry, P.J.; Karlowsky, J.A.; et al. Antimicrobial-Resistant Pathogens in Intensive Care Units in Canada: Results of the Canadian National Intensive Care Unit (CAN-ICU) Study, 2005–2006. Antimicrob. Agents Chemother. 2008, 52, 1430–1437. [Google Scholar] [CrossRef] [PubMed]
  4. Glasset, B.; Herbin, S.; Granier, S.A.; Cavalié, L.; Lafeuille, E.; Guérin, C.; Ruimy, R.; Casagrande-Magne, F.; Levast, M.; Chautemps, N.; et al. Bacillus Cereus, a Serious Cause of Nosocomial Infections: Epidemiologic and Genetic Survey. PLoS ONE 2018, 13, e0194346. [Google Scholar] [CrossRef] [PubMed]
  5. Roux, D.; Pier, G.B.; Skurnik, D. Magic Bullets for the 21st Century: The Reemergence of Immunotherapy for Multi- and Pan-Resistant Microbes. J. Antimicrob. Chemother. 2012, 67, 2785–2787. [Google Scholar] [CrossRef] [PubMed]
  6. Lin, D.M.; Koskella, B.; Lin, H.C. Phage Therapy: An Alternative to Antibiotics in the Age of Multi-Drug Resistance. World J. Gastrointest. Pharmacol. Ther. 2017, 8, 162. [Google Scholar] [CrossRef]
  7. Huang, L.; Dai, T.; Hamblin, M.R. Antimicrobial Photodynamic Inactivation and Photodynamic Therapy for Infections. In Photodynamic Therapy; Gomer, C.J., Ed.; Methods in Molecular Biology; Humana Press: Totowa, NJ, USA, 2010; Volume 635, pp. 155–173. ISBN 978-1-60761-696-2. [Google Scholar]
  8. Wainwright, M.; Maisch, T.; Nonell, S.; Plaetzer, K.; Almeida, A.; Tegos, G.P.; Hamblin, M.R. Photoantimicrobials—Are We Afraid of the Light? Lancet Infect. Dis. 2017, 17, e49–e55. [Google Scholar] [CrossRef]
  9. Mahmoudi, H.; Bahador, A.; Pourhajibagher, M.; Alikhani, M.Y. Antimicrobial Photodynamic Therapy: An Effective Alternative Approach to Control Bacterial Infections. J. Lasers Med. Sci. 2018, 9, 154–160. [Google Scholar] [CrossRef]
  10. Le Guern, F.; Sol, V.; Ouk, C.; Arnoux, P.; Frochot, C.; Ouk, T.-S. Enhanced Photobactericidal and Targeting Properties of a Cationic Porphyrin Following the Attachment of Polymyxin B. Bioconjugate Chem. 2017, 28, 2493–2506. [Google Scholar] [CrossRef]
  11. Nitzan, Y.; Gutterman, M.; Malik, Z.; Ehrenberg, B. Inactivation of gram-negative bacteria by photosensitized porphyrins. Photochem. Photobiol. 1992, 55, 89–96. [Google Scholar] [CrossRef]
  12. Cieplik, F.; Späth, A.; Regensburger, J.; Gollmer, A.; Tabenski, L.; Hiller, K.-A.; Bäumler, W.; Maisch, T.; Schmalz, G. Photodynamic Biofilm Inactivation by SAPYR—An Exclusive Singlet Oxygen Photosensitizer. Free Radic. Biol. Med. 2013, 65, 477–487. [Google Scholar] [CrossRef] [PubMed]
  13. Späth, A.; Leibl, C.; Cieplik, F.; Lehner, K.; Regensburger, J.; Hiller, K.-A.; Bäumler, W.; Schmalz, G.; Maisch, T. Improving Photodynamic Inactivation of Bacteria in Dentistry: Highly Effective and Fast Killing of Oral Key Pathogens with Novel Tooth-Colored Type-II Photosensitizers. J. Med. Chem. 2014, 57, 5157–5168. [Google Scholar] [CrossRef]
  14. Tabenski, I.; Cieplik, F.; Tabenski, L.; Regensburger, J.; Hiller, K.-A.; Buchalla, W.; Maisch, T.; Späth, A. The Impact of Cationic Substituents in Phenalen-1-One Photosensitizers on Antimicrobial Photodynamic Efficacy. Photochem. Photobiol. Sci. 2016, 15, 57–68. [Google Scholar] [CrossRef]
  15. Fletcher, J.T.; Sobczyk, J.M.; Gwazdacz, S.C.; Blanck, A.J. Antimicrobial 1,3,4-Trisubstituted-1,2,3-Triazolium Salts. Bioorganic Med. Chem. Lett. 2018, 28, 3320–3323. [Google Scholar] [CrossRef]
  16. Jiblaoui, A.; Leroy-Lhez, S.; Ouk, T.-S.; Grenier, K.; Sol, V. Novel Polycarboxylate Porphyrins: Synthesis, Characterization, Photophysical Properties and Preliminary Antimicrobial Study against Gram-Positive Bacteria. Bioorganic Med. Chem. Lett. 2015, 25, 355–362. [Google Scholar] [CrossRef]
  17. Le Guern, F.; Ouk, T.-S.; Ouk, C.; Vanderesse, R.; Champavier, Y.; Pinault, E.; Sol, V. Lysine Analogue of Polymyxin B as a Significant Opportunity for Photodynamic Antimicrobial Chemotherapy. ACS Med. Chem. Lett. 2018, 9, 11–16. [Google Scholar] [CrossRef] [PubMed]
  18. Orzeszko, A.; Kamińska, B.; Orzeszko, G.; Starościak, B.J. Synthesis and Antimicrobial Activity of New Adamantane Derivatives II. Il Farm. 2000, 55, 619–623. [Google Scholar] [CrossRef]
  19. Godard, J.; Brégier, F.; Arnoux, P.; Myrzakhmetov, B.; Champavier, Y.; Frochot, C.; Sol, V. New Phenalenone Derivatives: Synthesis and Evaluation of Their Singlet Oxygen Quantum Yield. ACS Omega 2020, 5, 28264–28272. [Google Scholar] [CrossRef]
  20. Shao, C.; Wang, X.; Zhang, Q.; Luo, S.; Zhao, J.; Hu, Y. Acid–Base Jointly Promoted Copper(I)-Catalyzed Azide–Alkyne Cycloaddition. J. Org. Chem. 2011, 76, 6832–6836. [Google Scholar] [CrossRef]
  21. Rostovtsev, V.V.; Green, L.G.; Fokin, V.V.; Sharpless, K.B. A Stepwise Huisgen Cycloaddition Process: Copper(I)-Catalyzed Regioselective “Ligation” of Azides and Terminal Alkynes. Angew. Chem. Int. Ed. Eng. 2002, 41, 2596–2599. [Google Scholar] [CrossRef]
  22. Nonell, S.; González, M.; Trull, F.R. 1H-Phenalen-1-One-2-Sulfonic Acid: An Extremely Efficient Singlet Molecular Oxygen Sensitizer for Aqueous Media. Afinidad 1993, 448, 445–450. [Google Scholar]
  23. Sperandio, F.F.; Huang, Y.-Y.; Hamblin, M.R. Antimicrobial Photodynamic Therapy to Kill Gram-Negative Bacteria. Recent Pat. Anti-Infect Drug Discov. 2013, 8, 108–120. [Google Scholar] [CrossRef] [PubMed]
  24. Crosby, G.A.; Demas, J.N. Measurement of Photoluminescence Quantum Yields. Review. J. Phys. Chem. 1971, 75, 991–1024. [Google Scholar] [CrossRef]
  25. Origin; Version 2018b; OriginLab Corporation: Northampton, MA, USA, 2018.
Figure 1. Structure of SAPyR (left) and 1,3,4-trisubstituted-1,2,3-triazolium salt (right).
Figure 1. Structure of SAPyR (left) and 1,3,4-trisubstituted-1,2,3-triazolium salt (right).
Antibiotics 10 00626 g001
Figure 2. Structure of phenalenone derivatives used as precursors for the triazolium salt synthesis.
Figure 2. Structure of phenalenone derivatives used as precursors for the triazolium salt synthesis.
Antibiotics 10 00626 g002
Scheme 1. Synthesis of compounds 7 and 8 from propargyl precursor 3 by CuAAC. Reaction conditions: (i) Benzyle azide (2 eq.), CuI (0.02 eq.), diisopropylethylamine (0.04 eq.), acetic acid (0.02 eq.), 55 h, r.t. (ii) 2 (1 eq.), and CuSO4.5H2O (0.2 eq.) in tBuOH/H2O 1:1, 72 h, r.t.
Scheme 1. Synthesis of compounds 7 and 8 from propargyl precursor 3 by CuAAC. Reaction conditions: (i) Benzyle azide (2 eq.), CuI (0.02 eq.), diisopropylethylamine (0.04 eq.), acetic acid (0.02 eq.), 55 h, r.t. (ii) 2 (1 eq.), and CuSO4.5H2O (0.2 eq.) in tBuOH/H2O 1:1, 72 h, r.t.
Antibiotics 10 00626 sch001
Scheme 2. Synthesis of various triazolium salts by (A) alkylation with MeI and 1 and (B) deprotection of the BOC moiety. Compounds 4a10a are the methylated triazolium, compounds 4b10b are the phenalenomethylated triazolium.
Scheme 2. Synthesis of various triazolium salts by (A) alkylation with MeI and 1 and (B) deprotection of the BOC moiety. Compounds 4a10a are the methylated triazolium, compounds 4b10b are the phenalenomethylated triazolium.
Antibiotics 10 00626 sch002
Table 1. Structure of the triazolium salts, yield of alkylation or deprotection, partition coefficients (log P) calculated at pH = 7.3, and singlet oxygen quantum yields (ΦΔ) in H2O based on 1H-phenalene-1-one-2-sulfonic acid (PNS) [22] with Φ∆ = 0.97 as a reference. For all chemical structures see Figure S49 in Supplementary Materials.
Table 1. Structure of the triazolium salts, yield of alkylation or deprotection, partition coefficients (log P) calculated at pH = 7.3, and singlet oxygen quantum yields (ΦΔ) in H2O based on 1H-phenalene-1-one-2-sulfonic acid (PNS) [22] with Φ∆ = 0.97 as a reference. For all chemical structures see Figure S49 in Supplementary Materials.
CompoundR1R2R3XYield (%)Log PΦΔ
4aPNGlc (OAc)4HI85−2.00.80
4bPNGlc (OAc)4PNBr67+0.4>0.98
5aPNGlcHI80−3.70.97
5b *PNGlcPNBr48−1.30.31
6aPNNHCOAdaHI70+0.70.70
6bPNNHCOAdaPNBr41+3.10.59
7aPhOCH2PNHI92+0.7>0.99
7bPhOCH2PNPNBr86+3.2N/A
8aPNOCH2PNHI91+1.4>0.99
8bPNOCH2PNPNBr81+3.8N/A
9aPNNHBOCHI68−0.40.93
9bPNNHBOCPNBr84+2.00.23
10aPNNH3+H2Cl99−1.80.87
10bPNNH3+PN2Cl97+0.7N/A
5PNGlc −0.70.87
10PNNH3+ +0.60.91
SAPYR −0.5 (Litt. −1.3) [13]0.83
* Compound obtained with a purity of 70%, mixed with 30% of compound 5. N/A: signal too weak.
Table 2. Minimum Inhibitory Concentration of 17 phenalenone derivatives tested against 6 bacterial strains (E.c. 1: Escherichia coli CIP54.8T, E.c. 2: Escherichia coli CIP53.126, S.a.: Staphylococcus aureus CIP76.25, S.e.: Staphylococcus epidermidis CIP109.562, B.c.: Bacillus cereus CH, P.a.: Pseudomonas aeruginosa CIP76.110) under dark (D) and light (L) conditions.
Table 2. Minimum Inhibitory Concentration of 17 phenalenone derivatives tested against 6 bacterial strains (E.c. 1: Escherichia coli CIP54.8T, E.c. 2: Escherichia coli CIP53.126, S.a.: Staphylococcus aureus CIP76.25, S.e.: Staphylococcus epidermidis CIP109.562, B.c.: Bacillus cereus CH, P.a.: Pseudomonas aeruginosa CIP76.110) under dark (D) and light (L) conditions.
CompoundMinimum Inhibitory Concentration (µM)
E.c. 1E.c. 2P.a.S.a.S.e.B.c.
DLDLDLDLDLDL
4a>200100>200100>200200>200100>200200>200200
4b>200>200>20010020020010012.510012.510050
5>200>200>200>200>200>200>200100>200>200>200>200
5a>200>200>200>200>200>200>200>200>200200>200>200
5b *>200>200>200>200>200200>200200>200200>200200
6a>20050>20025>200200506.2520012.5>200100
6bNDNDNDNDNDND253.126.250.78256.25
7a>200200>200100>200>200506.25256.2510050
7b>200>200>200>200>200>2006.250.786.250.7812.53.12
8a>200100>20050>200100250.7812.51.562512.5
8b>200200>200100>200200500.3912.50.78506.25
9a>200100>20050>200>200>20025>20012.5>200200
9b>200>200>200>20025256.251.5612.51.566.256.25
10>200100>20050>20012.5>20050>200100>200>200
10a>200>200>200>200>200200>200200>200100>200>200
10b>200>200>200>200>200>20010050>20012.5>200>200
SAPyR>200200>200>200>20050>2005020025>20050
* Compound obtained with a purity of 70%, mixed with 30% of compound 5. ND: Not data, compounds not soluble at the concentrations.
Publisher’s Note: MDPI stays neutral with regard to jurisdictional claims in published maps and institutional affiliations.

Share and Cite

MDPI and ACS Style

Godard, J.; Gibbons, D.; Leroy-Lhez, S.; Williams, R.M.; Villandier, N.; Ouk, T.-S.; Brégier, F.; Sol, V. Development of Phenalenone-Triazolium Salt Derivatives for aPDT: Synthesis and Antibacterial Screening. Antibiotics 2021, 10, 626. https://doi.org/10.3390/antibiotics10060626

AMA Style

Godard J, Gibbons D, Leroy-Lhez S, Williams RM, Villandier N, Ouk T-S, Brégier F, Sol V. Development of Phenalenone-Triazolium Salt Derivatives for aPDT: Synthesis and Antibacterial Screening. Antibiotics. 2021; 10(6):626. https://doi.org/10.3390/antibiotics10060626

Chicago/Turabian Style

Godard, Jérémy, Dáire Gibbons, Stéphanie Leroy-Lhez, René M. Williams, Nicolas Villandier, Tan-Sothéa Ouk, Frédérique Brégier, and Vincent Sol. 2021. "Development of Phenalenone-Triazolium Salt Derivatives for aPDT: Synthesis and Antibacterial Screening" Antibiotics 10, no. 6: 626. https://doi.org/10.3390/antibiotics10060626

APA Style

Godard, J., Gibbons, D., Leroy-Lhez, S., Williams, R. M., Villandier, N., Ouk, T.-S., Brégier, F., & Sol, V. (2021). Development of Phenalenone-Triazolium Salt Derivatives for aPDT: Synthesis and Antibacterial Screening. Antibiotics, 10(6), 626. https://doi.org/10.3390/antibiotics10060626

Note that from the first issue of 2016, this journal uses article numbers instead of page numbers. See further details here.

Article Metrics

Back to TopTop