Pencil It in: Exploring the Feasibility of Hand-Drawn Pencil Electrochemical Sensors and Their Direct Comparison to Screen-Printed Electrodes
Abstract
:1. Introduction
2. Materials and Methods
2.1. Chemicals
2.2. Instrumentation
2.3. Design and Fabrication of the Electrodes
2.4. Determination of the Heterogeneous Electron Transfer Rate Kinetics (k0) of the PDEs
3. Results and Discussion
3.1. Electrochemical Characterisation of Pencil-Drawn Electrodes (PDEs)
3.1.1 Optimisation of the Number of Draws
3.1.2. Influence of Different Pencil Grades upon the Fabrication of PDEs
3.2. Reproducibility of Pencil Batches: Physicochemical and Electrochemical Characterisation
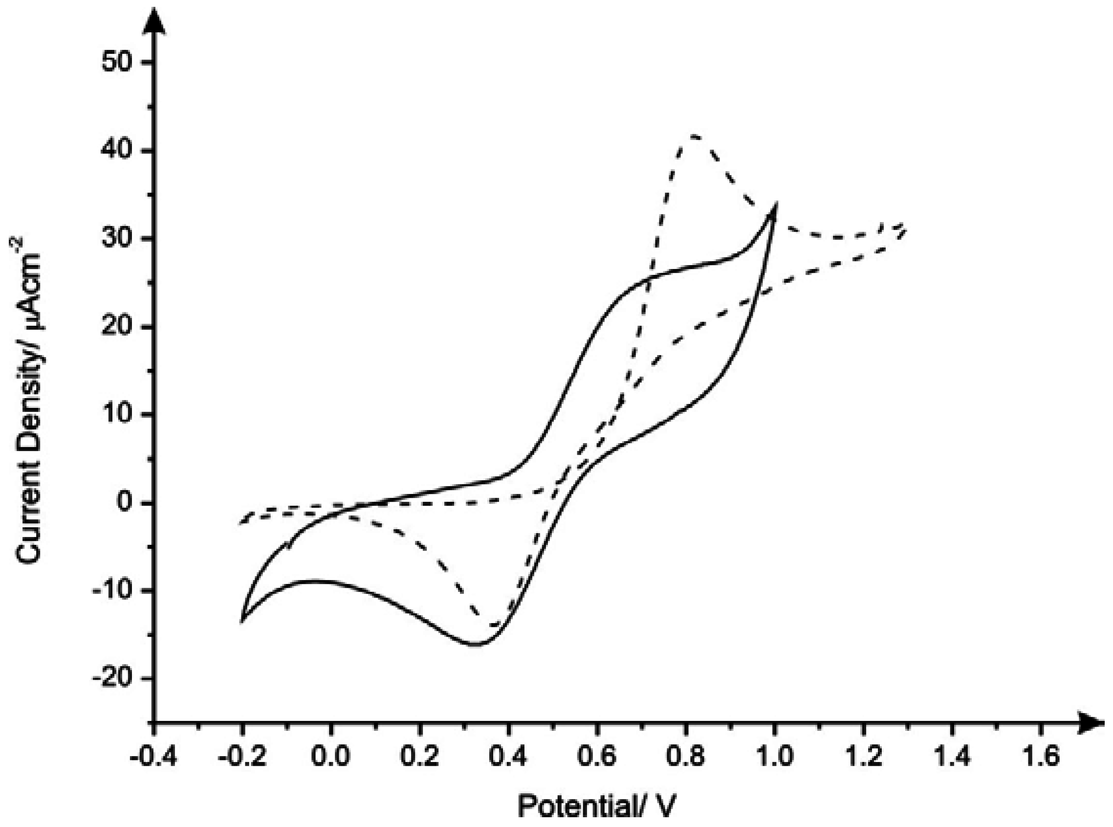
3.3. Application of PDEs for the Determination of Dopamine and Acetaminophen: Comparison with Screen-Printed Electrodes (SPEs)
4. Conclusions
Supplementary Materials








| Samples | Elemental Analysis/%wt. | ||||
|---|---|---|---|---|---|
| C | O | Si | Al | Fe | |
| PDE1 | 66.83 | 17.82 | 7.19 | 5.50 | 1.07 |
| 67.22 | 19.21 | 6.40 | 4.86 | 1.11 | |
| 67.09 | 16.33 | 7.91 | 5.95 | 1.20 | |
| PDE2 | 63.49 | 32.52 | 2.02 | 1.97 | |
| 62.61 | 32.80 | 2.17 | 2.41 | ||
| 63.18 | 30.49 | 3.26 | 3.07 | ||
| PDE3 | 66.39 | 19.19 | 7.21 | 5.31 | 1.03 |
| 66.81 | 20.20 | 6.48 | 4.79 | 0.95 | |
| 66.70 | 18.58 | 7.45 | 5.44 | 0.96 | |
| PDE4 | 60.70 | 26.69 | 6.19 | 5.79 | |
| 62.19 | 28.83 | 4.38 | 4.04 | ||
| 61.90 | 28.73 | 4.68 | 4.22 | ||
| PDE5 | 66.81 | 17.87 | 7.82 | 5.68 | 0.98 |
| 67.64 | 20.98 | 5.68 | 4.35 | 0.84 | |
| 67.09 | 22.71 | 5.12 | 3.87 | 0.73 | |
| PDE6 | 62.01 | 26.03 | 5.51 | 4.85 | 0.88 |
| 63.64 | 25.54 | 5.01 | 4.53 | 0.79 | |
| 62.77 | 27.11 | 4.56 | 4.35 | 0.69 | |
| Element | Atom % | |||||
|---|---|---|---|---|---|---|
| PDE1 | PDE2 | PDE3 | PDE4 | PDE5 | PDE6 | |
| C 1s | 81.65 | 74.82 | 94.84 | 80.97 | 93.94 | 87.55 |
| O 1s | 12.99 | 18.51 | 3.90 | 13.97 | 4.71 | 9.30 |
| Si 2p | 1.97 | 3.66 | 0.65 | 2.89 | 0.74 | 1.69 |
| Al 2p | 1.27 | 2.95 | 0.61 | 2.20 | 0.56 | 1.41 |
| Type of Reference Electrode | Formal Potential / V |
|---|---|
| Screen-Printed Graphite | +0.36 |
| Screen-Printed Ag/AgCl | −0.22 |
| Saturated Calomel Electrode | −0.19 |
| PDEs | −0.40 |
Acknowledgments
Author Contributions
Conflicts of Interest
References
- Chagas, C.L.S.; Costa Duarte, L.; Lobo-Júnior, E.O.; Piccin, E.; Dossi, N.; Coltro, W.K.T. Hand drawing of pencil electrodes on paper platforms for contactless conductivity detection of inorganic cations in human tear samples using electrophoresis chips. Electrophoresis 2015, 36, 1837–1844. [Google Scholar] [CrossRef] [PubMed]
- Banks, C.E.; Foster, C.W.; Kadara, R.O. Screen-Printing Electrochemical Architectures, 1st ed.; SpringerBriefs in Applied Sciences and Technology: Berlin, Germany, 2016. [Google Scholar]
- Metters, J.P.; Kadara, R.O.; Banks, C.E. New directions in screen printed electroanalytical sensors: An overview of recent developments. Analyst 2011, 136, 1067–1076. [Google Scholar] [CrossRef] [PubMed]
- Kumar, A.S.; Zen, J. Electrochemical Investigation of Glucose Sensor Fabricated at Copper-Plated Screen-Printed Carbon Electrodes. Electroanalysis 2002, 14, 671–678. [Google Scholar] [CrossRef]
- Hart, J.P.; Wring, S.A. Screen-printed voltammetric and amperometric electrochemical sensors for decentralized testing. Electroanalysis 1994, 6, 617–624. [Google Scholar] [CrossRef]
- Honeychurch, K.C.; Hart, J.P. Screen-printed electrochemical sensors for monitoring metal pollutants. TrAC 2003, 22, 456–469. [Google Scholar] [CrossRef]
- Li, M.; Li, Y.; Li, D.; Long, Y. Recent developments and applications of screen-printed electrodes in environmental assays—A review. Anal. Chim. Acta 2011, 734, 31–44. [Google Scholar] [CrossRef] [PubMed]
- Heller, A.; Feldman, B. Electrochemical Glucose Sensors and Their Applications in Diabetes Management. Chem. Rev. 2008, 108, 2482–2505. [Google Scholar] [CrossRef] [PubMed]
- Schlesinger, M. Applications of Electrochemistry in Medicine; Springer US: New York, NY, USA, 2013; Volume 56, p. 83. [Google Scholar]
- Lin, C.W.; Zhao, Z.; Kim, J.; Huang, J. Pencil-drawn Strain Gauges and Chemiresistors on Paper. Sci. Rep. 2014, 4. [Google Scholar] [CrossRef] [PubMed]
- Foster, C.W.; Brownson, D.A.C.; Ruas de Souza, A.P.; Bernalte, E.; Iniesta, J.; Bertotti, M.; Banks, C.E. Pencil it in: Pencil-drawn electrochemical sensing platforms. Analyst 2016, 141, 4055–4064. [Google Scholar] [CrossRef] [PubMed]
- Dossi, N.; Toniolo, R.; Pizzariello, A.; Impellizzieri, F.; Piccin, E.; Bontempelli, G. Pencil-drawn paper supported electrodes as simple electrochemical detectors for paper-based fluidic devices. Electrophoresis 2013, 34, 2085–2091. [Google Scholar] [CrossRef] [PubMed]
- Dossi, N.; Toniolo, R.; Piccin, E.; Susmel, S.; Pizzariello, A.; Bontempelli, G. Pencil-Drawn Dual Electrode Detectors to Discriminate Between Analytes Comigrating on Paper-Based Fluidic Devices but Undergoing Electrochemical Processes with Different Reversibility. Electroanalysis 2013, 25, 2515–2522. [Google Scholar] [CrossRef]
- Dossi, N.; Toniolo, R.; Terzi, F.; Impellizzieri, F.; Bontempelli, G. Pencil leads doped with electrochemically deposited Ag and AgCl for drawing reference electrodes on paper-based electrochemical devices. Electrochim. Acta. 2014, 146, 518–524. [Google Scholar] [CrossRef]
- Santhiago, M.; Henry, C.S.; Kubota, L.T. Low cost, simple three dimensional electrochemical paper-based analytical device for determination of p-nitrophenol. Electrochim. Acta 2014, 130, 771–777. [Google Scholar] [CrossRef]
- Yang, H.; Kong, Q.; Wang, S.; Xu, J.; Bian, Z.; Zheng, X.; Ma, C.; Ge, S.; Yu, J. Hand-drawn&written pen-on-paper electrochemiluminescence immunodevice powered by rechargeable battery for low-cost point-of-care testing. Biosens. Bioelectron. 2014, 61, 21–27. [Google Scholar] [PubMed]
- Dossi, N.; Toniolo, R.; Impellizzieri, F.; Bontempelli, G. Doped pencil leads for drawing modified electrodes on paper-based electrochemical devices. J. Electroanal. Chem. 2014, 722–723, 90–94. [Google Scholar] [CrossRef]
- Honeychurch, K.C. The voltammetric behaviour of lead at a hand drawn pencil electrode and its trace determination in water by stripping voltammetry. Anal. Methods 2015, 7, 2437–2443. [Google Scholar] [CrossRef]
- Dossi, N.; Toniolo, R.; Terzi, F.; Piccin, E.; Bontempelli, G. Simple pencil-drawn paper-based devices for one-spot electrochemical detection of electroactive species in oil samples. Electrophoresis 2015, 36, 1830–1836. [Google Scholar] [CrossRef] [PubMed]
- Li, W.; Qian, D.; Li, Y.; Bao, N.; Gu, H.; Yu, C. Fully-drawn pencil-on-paper sensors for electroanalysis of dopamine. J. Electroanal. Chem. 2016, 769, 72–79. [Google Scholar] [CrossRef]
- Li, W.; Qian, D.; Wang, Q.; Li, Y.; Bao, N.; Gu, H.; Yu, C. Fully-drawn origami paper analytical device for electrochemical detection of glucose. Sens. Actuators B Chem. 2016, 231, 230–238. [Google Scholar] [CrossRef]
- Innovation in Surface Spectroscopy and Microscopy Systems. Available online: http://www.specs.de/cms/front_content.php?idcat=209 (accessed on 1 February 2016).
- Seah, M.P.; Spencer, S.J. Repeatable intensity calibration of an X-ray photoelectron spectrometer. J. Electron. Spectrosc. Relat. Phenom. 2006, 151, 178–181. [Google Scholar] [CrossRef]
- Scofield, J.H. Hartree-Slater subshell photoionization cross-sections at 1254 and 1487 eV. J. Electron. Spectrosc. Relat. Phenom. 1976, 8, 129–137. [Google Scholar] [CrossRef]
- CasaXPS: Processing Software for XPS, AES, SIMS and More. Available online: http://www.casaxps.com/ (accessed on 1 February 2016).
- Galdino, F.E.; Foster, C.W.; Bonacin, J.A.; Banks, C.E. Exploring the electrical wiring of screen-printed configurations utilised in electroanalysis. Anal. Methods 2015, 7, 1208–1214. [Google Scholar] [CrossRef]
- Foster, C.W.; Metters, J.P.; Banks, C.E. Ultra Flexible Paper Based Electrochemical Sensors: Effect of Mechanical Contortion upon Electrochemical Performance. Electroanalysis 2013, 25, 2275–2282. [Google Scholar] [CrossRef]
- Randviir, E.P.; Brownson, D.A.C.; Metters, J.P.; Kadara, R.O.; Banks, C.E. The fabrication, characterisation and electrochemical investigation of screen-printed graphene electrodes. Phys. Chem. Chem. Phys. 2014, 16, 4598–4611. [Google Scholar] [CrossRef] [PubMed]
- Brownson, D.A.C.; Varey, S.A.; Hussain, F.; Haigh, S.J.; Banks, C.E. Electrochemical properties of CVD grown pristine graphene: Monolayer- vs. quasi-graphene. Nanoscale 2014, 6, 1607–1621. [Google Scholar] [CrossRef] [PubMed]
- Brownson, D.A.C.; Kelly, P.J.; Banks, C.E. In situ electrochemical characterisation of graphene and various carbon-based electrode materials: An internal standard approach. RSC Adv. 2015, 5, 37281–37286. [Google Scholar] [CrossRef]
- Chen, P.; McCreery, R.L. Control of Electron Transfer Kinetics at Glassy Carbon Electrodes by Specific Surface Modification. Anal. Chem. 1996, 68, 3958–3965. [Google Scholar] [CrossRef]
- Cumba, L.R.; Foster, C.W.; Brownson, D.A.C.; Smith, J.P.; Iniesta, J.; Thakur, B.; do Carmo, D.R.; Banks, C.E. Can the mechanical activation (polishing) of screen-printed electrodes enhance their electroanalytical response? Analyst 2016, 141, 2791–2799. [Google Scholar] [CrossRef] [PubMed]




| Electrodes Fabricated | Pencil and Substrate Utilised | Target Analytes | Analytical Method | Reference |
|---|---|---|---|---|
| Pencil-drawn macroelectrode | Derwent, Staedtler Mars Lumograph, FILA and Koh-i-Noor Hardtmuth (HB, B, 2B, 3B, 4B, 6B, 8B explored) upon paper substrates | Potassium ferrocyanide, ascorbic acid and sunset yellow | Thin-layer chromatography with amperometric detection and cyclic voltammetry | [12] |
| Pencil-drawn dual electrode with pseudo reference electrode | Staedtler Mars (grade “3B” only) upon paper substrates. | Ascorbic acid, dopamine and paracetamol | Thin-layer chromatography with amperometric detection and cyclic voltammetry | [13] |
| Pencil-drawn working macroelectrode | Staedtler Mars (grade “3B” only) upon paper substrates | Potassium ferrocyanide and 1,2-hydroxybenzene | Cyclic voltammetry | [14] |
| Pencil-drawn counter electrode only | Bulk pencil “lead’’ working electrode with the counter electrode drawn using Pental (6B grade only) pencil upon paper substrates | p-nitrophenol | Differential pulse voltammetry | [15] |
| Pencil-drawn immune device | 6B-type Black Pencil only upon a paper substrate | Carbohydrate antigen 199 | Electro-chemiluminescence | [16] |
| Pencil-drawn strain gauges and chemiresistor | Blick pencils (9H, 2H, HB, 2B, 6B, 9B explored) upon paper substrates | Toluene, THF, ethyl acetate, methanol, hexane and acetone | Resistance measurements | [10] |
| Pencil-drawn working macroelectrode with pseudo reference and counter electrode also drawn | Working electrode was a bespoke “pencil’’ manufactured utilising a mixture of carbon powder, sodium bentonite and potassium silicate, then doped with decamethylferrocene or cobalt(II) phthalocyanine and drawn upon paper substrates | Cysteine and hydrogen peroxide | Linear sweep voltammetry and cyclic voltammetry | [17] |
| Pencil-drawn working macroelectrode | Derwent (grade 6B only) upon polyvinyl chloride substrate | Lead (II) | Anodic stripping voltammetry | [18] |
| Pencil-drawn working macroelectrode with pseudo reference and counter electrode | Working electrode was a “pencil’’ manufactured using a mixture of carbon powder, sodium bentonite and potassium silicate. Ag/AgCl doped pencils leads were used for drawing reference electrode. Chromatographic paper as substrate | Ortho-diphenols in extra virgin olive oil and sunflower oil | Cyclic voltammetry | [19] |
| Pencil-drawn electrodes attached to poly(methyl methacrylate) (PMMA) electrophoresis chips | Pencil grade is not specified. Drawn upon chromatographic paper platform | K+, Na+ and Li+ | Electrical conductivity | [1] |
| Fully-drawn pencil sensor | Staedtler Mars 4B, 5B, 6B and 9B grades’ pencils for drawing working, counter and reference electrodes upon paper substrate | Dopamine | Cyclic voltammetry | [20] |
| Fully-drawn origami paper analytical device | Staedtler Mars 6B pencil was used for drawing working, counter and reference electrodes on paper substrate | Glucose | Cyclic voltammetry | [21] |
| Pencil-drawn working macroelectrode | Commercially available Staedtler Mars tradition pencils upon an ultra-flexible polyester substrate (2H, H, HB, B, 2B, 3B, 4B, 5B, 6B) explored; 10 draws | Hexaammineruthenium(III) chloride, ammonium iron(II) sulfate, potassium ferricyanide, p-benzoquinone and simultaneous detection of lead(II) and cadmium(II) ions | Cyclic voltammetry and anodic stripping voltammetry | [11] |
| Pencil-drawn working and reference macroelectrodes | Commercially available Derwent pencils upon an ultra-flexible polyester substrate (HB, B, 2B, 3B, 4B 7B, 8B, 9B explored); 60 draws. Reference electrodes have been drawn with a HB and compared to screen-printed alternatives | Hexaammineruthenium(III) chloride, potassium ferrocyanide, ammonium iron(II) sulfate, dopamine and acetaminophen | Cyclic voltammetry | This Work |
© 2016 by the authors; licensee MDPI, Basel, Switzerland. This article is an open access article distributed under the terms and conditions of the Creative Commons Attribution (CC-BY) license (http://creativecommons.org/licenses/by/4.0/).
Share and Cite
Bernalte, E.; Foster, C.W.; Brownson, D.A.C.; Mosna, M.; Smith, G.C.; Banks, C.E. Pencil It in: Exploring the Feasibility of Hand-Drawn Pencil Electrochemical Sensors and Their Direct Comparison to Screen-Printed Electrodes. Biosensors 2016, 6, 45. https://doi.org/10.3390/bios6030045
Bernalte E, Foster CW, Brownson DAC, Mosna M, Smith GC, Banks CE. Pencil It in: Exploring the Feasibility of Hand-Drawn Pencil Electrochemical Sensors and Their Direct Comparison to Screen-Printed Electrodes. Biosensors. 2016; 6(3):45. https://doi.org/10.3390/bios6030045
Chicago/Turabian StyleBernalte, Elena, Christopher W. Foster, Dale A.C. Brownson, Morgane Mosna, Graham C. Smith, and Craig E. Banks. 2016. "Pencil It in: Exploring the Feasibility of Hand-Drawn Pencil Electrochemical Sensors and Their Direct Comparison to Screen-Printed Electrodes" Biosensors 6, no. 3: 45. https://doi.org/10.3390/bios6030045
APA StyleBernalte, E., Foster, C. W., Brownson, D. A. C., Mosna, M., Smith, G. C., & Banks, C. E. (2016). Pencil It in: Exploring the Feasibility of Hand-Drawn Pencil Electrochemical Sensors and Their Direct Comparison to Screen-Printed Electrodes. Biosensors, 6(3), 45. https://doi.org/10.3390/bios6030045

