Electrochemical Nanosensor for the Simultaneous Determination of Anticancer Drugs Epirubicin and Topotecan Using UiO-66-NH2/GO Nanocomposite Modified Electrode
Abstract
1. Introduction
2. Experimental
2.1. Reagents
2.2. Synthesis of UiO-66-NH2/GO Nanocomposite
2.3. Preparation of Working Electrode
- In this equation:
- Ip = Current intensity
- n = Number of participated electrons in the redox reaction (n = 1)
- A = EASA
- C0 = Concentration of redox probe
- D = Diffusion coefficient
- ʋ = Scan rate
2.4. Electrochemical Analysis
3. Results and Discussion
3.1. Characterization of UiO-66-NH2/GO Nanocomposite
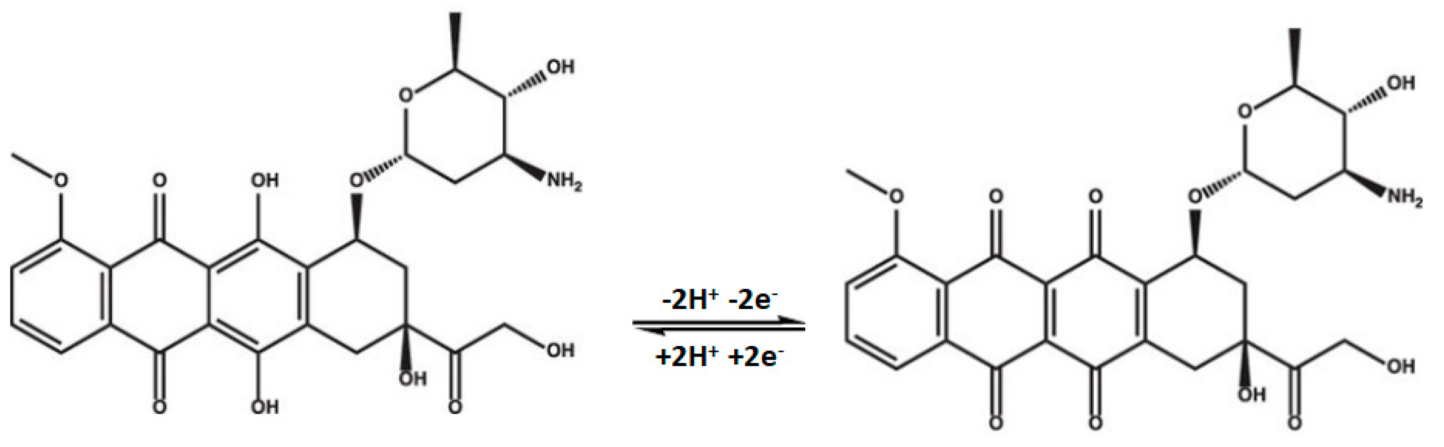
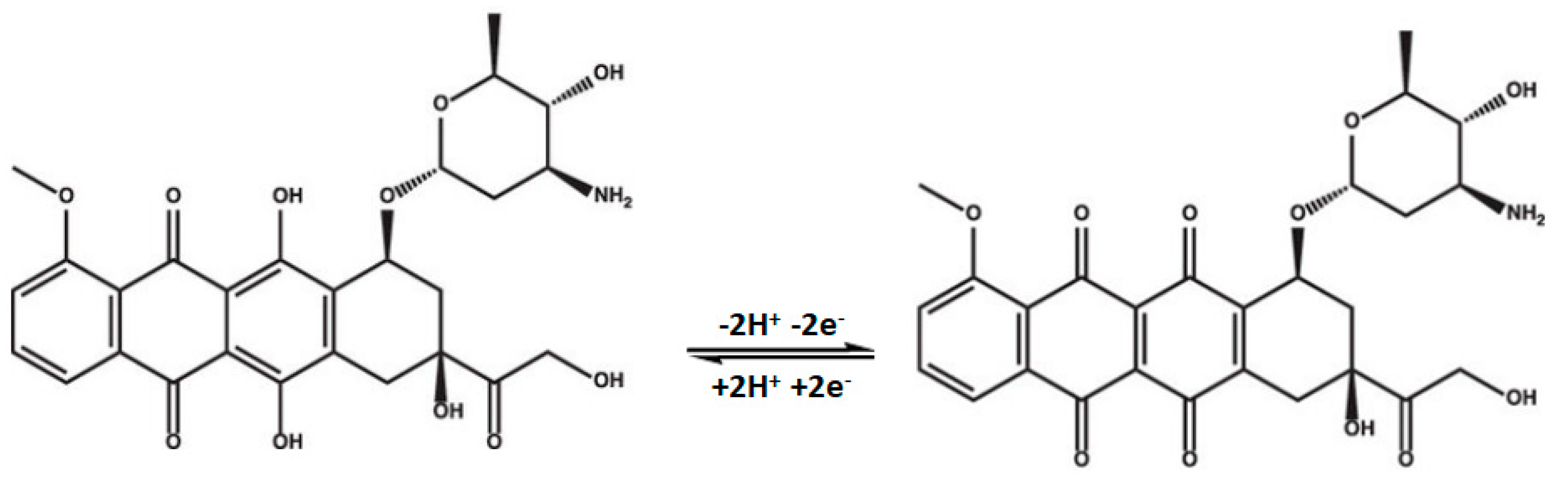
3.2. Electrochemical Behavior of EP on the Surface of UiO-66-NH2/GO/SPGE
3.3. Effect of Scan Rate
3.4. Chronoamperometric Studies
3.5. The Calibration Curve
3.6. Simultaneous Determination of EP and TP
3.7. Investigating the Stability, Repeatability, and Reproducibility Features of UiO-66-NH2/GO/SPGE Sensor
3.8. Selectivity Studies
3.9. Real Sample Analysis
4. Conclusions
Author Contributions
Funding
Informed Consent Statement
Data Availability Statement
Conflicts of Interest
References
- Soltani, N.; Khayatkashani, M.; Ebrahimian, J.; Tavakkoli, N.; Rezaei, A.; Ryadh, A.; Salavati-Niasari, M. A novel modified CPE using CE-Zno-Lapis lazuli nanocomposite as a sensitive electrochemical sensor for the determination of anti-cancer drug of etoposide. J. Alloys Compd. 2023, 968, 171900. [Google Scholar] [CrossRef]
- Ghalkhani, M.; Kaya, S.I.; Bakirhan, N.K.; Ozkan, Y.; Ozkan, S.A. Application of nanomaterials in development of electrochemical sensors and drug delivery systems for anticancer drugs and cancer biomarkers. Crit. Rev. Anal. Chem. 2022, 52, 481–503. [Google Scholar] [CrossRef] [PubMed]
- Alavi-Tabari, S.A.; Khalilzadeh, M.A.; Karimi-Maleh, H.; Zareyee, D. An amplified platform nanostructure sensor for the analysis of epirubicin in the presence of topotecan as two important chemotherapy drugs for breast cancer therapy. New J. Chem. 2018, 42, 3828–3832. [Google Scholar] [CrossRef]
- Abbasghorbani, M. Fe3O4 loaded single wall carbon nanotubes and 1-methyl-3-octylimidazlium chloride as two amplifiers for fabrication of highly sensitive voltammetric sensor for epirubicin anticancer drug analysis. J. Mol. Liq. 2018, 266, 176–180. [Google Scholar] [CrossRef]
- Er, E.; Ateş, A.K. Design of an electrochemical sensing platform based on MoS2-PEDOT: PSS nanocomposite for the detection of epirubicin in biological samples. Microchem. J. 2023, 189, 108534. [Google Scholar] [CrossRef]
- Mo, J.; Shen, L.; Xu, Q.; Zeng, J.; Sha, J.; Hu, T.; Chen, Y. An Nd3+-sensitized upconversion fluorescent sensor for epirubicin detection. Nanomaterials 2019, 9, 1700. [Google Scholar] [CrossRef] [PubMed]
- Congur, G.; Erdem, A.; Mese, F. Electrochemical investigation of the interaction between topotecan and DNA at disposable graphite electrodes. Bioelectrochemistry 2015, 102, 21–28. [Google Scholar] [CrossRef] [PubMed]
- Er, E.; Erk, N. A novel electrochemical sensing platform based on mono-dispersed gold nanorods modified graphene for the sensitive determination of topotecan. Sens. Actuators B Chem. 2020, 320, 128320. [Google Scholar] [CrossRef]
- Ibrahim, M.; Ibrahim, H.; Almandil, N.B.; Kawde, A.N. A novel nanocomposite based on gold nanoparticles loaded on acetylene black for electrochemical sensing of the anticancer drug topotecan in the presence of high concentration of uric acid. J. Electroanal. Chem. 2018, 824, 22–31. [Google Scholar] [CrossRef]
- Bavandpour, R.; Rajabi, M.; Asghari, A. Electrochemical determination of epirubicin in the presence of topotecan as essential anti-cancer compounds using paste electrode amplified with Pt/SWCNT nanocomposite and a deep eutectic solvent. Chemosphere 2022, 289, 133060. [Google Scholar] [CrossRef]
- Beitollahi, H.; Safaei, M.; Tajik, S. Different electrochemical sensors for determination of dopamine as neurotransmitter in mixed and clinical samples: A review. Anal. Bioanal. Chem. Res. 2019, 6, 81–96. [Google Scholar]
- Roshanfekr, H. A simple specific dopamine aptasensor based on partially reduced graphene oxide–AuNPs composite. Prog. Chem. Biochem. Res. 2023, 6, 61–70. [Google Scholar]
- Li, G.; Wu, J.; Qi, X.; Wan, X.; Liu, Y.; Chen, Y.; Xu, L. Molecularly imprinted polypyrrole film-coated poly(3,4-ethylenedioxythiophene): Polystyrene sulfonate-functionalized black phosphorene for the selective and robust detection of norfloxacin. Mater. Today Chem. 2022, 26, 101043. [Google Scholar] [CrossRef]
- Cheraghi, S.; Taher, M.A.; Karimi-Maleh, H.; Karimi, F.; Shabani-Nooshabadi, M.; Alizadeh, M.; Al-Othman, A.; Erk, N.; Raman, P.K.Y.; Karaman, C. Novel enzymatic graphene oxide based biosensor for the detection of glutathione in biological body fluids. Chemosphere 2022, 287, 132187. [Google Scholar] [CrossRef] [PubMed]
- Mohammadi, S.Z.; Beitollahi, H.; Bani Asadi, E. Electrochemical determination of hydrazine using a ZrO2 nanoparticles-modified carbon paste electrode. Environ. Monit. Assess. 2015, 187, 122. [Google Scholar] [CrossRef] [PubMed]
- Rasen, N.D.; Gomaa, E.A.; Salem, S.E.; Abd El-Hady, M.N.; El-Defrawy, A.M. Voltammetric analysis of lead nitrate with various ligands in aqueous solutions at 302.15 K. Chem. Methodol. 2023, 7, 761–775. [Google Scholar]
- Li, G.; Qi, X.; Wu, J.; Wan, X.; Wang, T.; Liu, Y.; Chen, Y.; Xia, Y. Highly stable electrochemical sensing platform for the selective determination of pefloxacin in food samples based on a molecularly imprinted-polymer-coated gold nanoparticle/black phosphorus nanocomposite. Food Chem. 2024, 436, 137753. [Google Scholar] [CrossRef] [PubMed]
- Karimi-Maleh, H.; Fakude, C.T.; Mabuba, N.; Peleyeju, G.M.; Arotiba, O.A. The determination of 2-phenylphenol in the presence of 4-chlorophenol using nano-Fe3O4/ionic liquid paste electrode as an electrochemical sensor. J. Colloid Interface Sci. 2019, 554, 603–610. [Google Scholar] [CrossRef] [PubMed]
- Peyman, H. Design and fabrication of modified DNA-Gp nano-biocomposite electrode for industrial dye measurement and optical confirmation. Prog. Chem. Biochem. Res. 2022, 5, 391–405. [Google Scholar]
- Kazemipour, M.; Ansari, M.; Mohammadi, A.; Beitollahi, H.; Ahmadi, R. Use of adsorptive square-wave anodic stripping voltammetry at carbon paste electrode for the determination of amlodipine besylate in pharmaceutical preparations. J. Anal. Chem. 2009, 64, 65–70. [Google Scholar] [CrossRef]
- Silva, R.M.; da Silva, A.D.; Camargo, J.R.; de Castro, B.S.; Meireles, L.M.; Silva, P.S.; Silva, T.A. Carbon nanomaterials-based screen-printed electrodes for sensing applications. Biosensors 2023, 13, 453. [Google Scholar] [CrossRef] [PubMed]
- Ilkhani, H.; Arvand, M.; Ganjali, M.R.; Marrazza, G.; Mascini, M. Nanostructured screen printed graphite electrode for the development of a novel electrochemical genosensor. Electroanalysis 2013, 25, 507–514. [Google Scholar] [CrossRef]
- Aragay, G.; Pons, J.; Merkoçi, A. Enhanced electrochemical detection of heavy metals at heated graphite nanoparticle-based screen-printed electrodes. J. Mater. Chem. 2011, 21, 4326–4331. [Google Scholar] [CrossRef]
- Cerdà, V.; Rennan, G.O.A.; Ferreira, S.L. Revising flow-through cells for amperometric and voltammetric detections using stationary mercury and bismuth screen printed electrodes. Prog. Chem. Biochem. Res. 2022, 5, 351–366. [Google Scholar]
- Garkani Nejad, F.; Asadi, M.H.; Sheikhshoaie, I.; Dourandish, Z.; Zaimbashi, R.; Beitollahi, H. Construction of modified screen-printed graphite electrode for the application in electrochemical detection of sunset yellow in food samples. Food Chem. Toxicol. 2022, 166, 113243. [Google Scholar] [CrossRef] [PubMed]
- Al-Azzawi, M.A.; Saleh, W.R. Fabrication of environmental monitoring amperometric biosensor based on alkaloids compound derived from catharanthus roseus extract nanoparticles for detection of cadmium pollution of water. Chem. Methodol. 2023, 7, 358–371. [Google Scholar]
- Zhang, Z.; Karimi-Maleh, H. In situ synthesis of label-free electrochemical aptasensor-based sandwich-like AuNPs/PPy/Ti3C2Tx for ultrasensitive detection of lead ions as hazardous pollutants in environmental fluids. Chemosphere 2023, 324, 138302. [Google Scholar] [CrossRef]
- Ariavand, S.; Ebrahimi, M.; Foladi, E. Design and construction of a novel and an efficient potentiometric sensor for determination of sodium ion in urban water samples. Chem. Methodol. 2022, 6, 886–904. [Google Scholar]
- Mohammadnavaz, A.; Beitollahi, H.; Modiri, S. Construction and Application of an Electrochemical Sensor for Determination of D-Penicillamine Based on Modified Carbon Paste Electrode. Micromachines 2024, 15, 220. [Google Scholar] [CrossRef]
- Zhang, Z.; Karimi-Maleh, H. Label-free electrochemical aptasensor based on gold nanoparticles/titanium carbide MXene for lead detection with its reduction peak as index signal. Adv. Compos. Hybrid Mater. 2023, 6, 68. [Google Scholar] [CrossRef]
- Mehdizadeh, Z.; Shahidi, S.; Ghorbani-HasanSaraei, A.; Limooei, M.; Bijad, M. Monitoring of amaranth in drinking samples using voltammetric amplified electroanalytical sensor. Chem. Methodol. 2022, 6, 246–252. [Google Scholar]
- Hojjati-Najafabadi, A.; Mansoorianfar, M.; Liang, T.X.; Shahin, K.; Karimi-Maleh, H. A review on magnetic sensors for monitoring of hazardous pollutants in water resources. Sci. Total Environ. 2022, 824, 153844. [Google Scholar] [CrossRef] [PubMed]
- Saboor, F.H.; Ataei, A. Decoration of metal nanoparticles and metal oxide nanoparticles on carbon nanotubes. Adv. J. Chem. A 2024, 7, 122–145. [Google Scholar]
- Vardini, M.; Abbasi, N.; Kaviani, A.; Ahmadi, M.; Karimi, E. Graphite electrode potentiometric sensor modified by surface imprinted silica gel to measure valproic acid. Chem. Methodol. 2022, 6, 398–408. [Google Scholar]
- Mazloum-Ardakani, M.; Beitollahi, H.; Ganjipour, B.; Naeimi, H. Novel carbon nanotube paste electrode for simultaneous determination of norepinephrine, uric acid and d-penicillamine. Int. J. Electrochem. Sci. 2010, 5, 531–546. [Google Scholar] [CrossRef]
- Buledi, J.A.; Mahar, N.; Mallah, A.; Solangi, A.R.; Palabiyik, I.M.; Qambrani, N.; Karimi, F.; Vasseghian, Y.; Karimi-Maleh, H. Electrochemical quantification of mancozeb through tungsten oxide/reduced graphene oxide nanocomposite: A potential method for environmental remediation. Food Chem. Toxicol. 2022, 161, 112843. [Google Scholar] [CrossRef] [PubMed]
- Akeremale, O.K. Metal-organic frameworks (MOFs) as adsorbents for purification of dye-contaminated wastewater: A review. J. Chem. Rev. 2022, 4, 1–14. [Google Scholar]
- Shayegan, H.; Safarifard, V.; Taherkhani, H.; Rezvani, M.A. Efficient removal of cobalt(II) ion from aqueous solution using amide-functionalized metal-organic framework. J. Appl. Organomet. Chem. 2022, 2, 109–118. [Google Scholar]
- Karimi-Maleh, H.; Liu, Y.; Li, Z.; Darabi, R.; Orooji, Y.; Karaman, C.; Karimi, F.; Baghayeri, M.; Rouhi, J.; Fu, L. Calf thymus ds-DNA intercalation with pendimethalin herbicide at the surface of ZIF-8/Co/rGO/C3N4/ds-DNA/SPCE; A bio-sensing approach for pendimethalin quantification confirmed by molecular docking study. Chemosphere 2023, 332, 138815. [Google Scholar] [CrossRef]
- Wan, X.; Du, H.; Tuo, D.; Qi, X.; Wang, T.; Wu, J.; Li, G. Uio-66/carboxylated multiwalled carbon nanotube composites for highly efficient and stable voltammetric sensors for gatifloxacin. ACS Appl. Nano Mater. 2023, 6, 19403–19413. [Google Scholar] [CrossRef]
- Cavka, J.H.; Jakobsen, S.; Olsbye, U.; Guillou, N.; Lamberti, C.; Bordiga, S.; Lillerud, K.P. A new zirconium inorganic building brick forming metal organic frameworks with exceptional stability. J. Am. Chem. Soc. 2008, 130, 13850–13851. [Google Scholar] [CrossRef]
- Ding, Y.; Wei, F.; Dong, C.; Li, J.; Zhang, C.; Han, X. UiO-66 based electrochemical sensor for simultaneous detection of Cd (II) and Pb (II). Inorg. Chem. Commun. 2021, 131, 108785. [Google Scholar] [CrossRef]
- Naik, T.S.K.; Singh, S.; Pavithra, N.; Varshney, R.; Uppara, B.; Singh, J.; Ramamurthy, P.C. Advanced experimental techniques for the sensitive detection of a toxic bisphenol A using UiO-66-NDC/GO-based electrochemical sensor. Chemosphere 2023, 311, 137104. [Google Scholar] [CrossRef] [PubMed]
- Mir, A.; Shabani-Nooshabadi, M.; Ziaie, N. Determination of methotrexate in plasma and environmental samples using an electrochemical sensor modified by UiO66-NH2/mesoporous carbon nitride composite and synergistic signal amplification with decorated AuNPs. Chemosphere 2023, 338, 139427. [Google Scholar] [CrossRef] [PubMed]
- Zhou, Y.; Li, R.; Zhang, G.; Zhang, Y.; Zhang, C.; Shuang, S. A novel electrochemical sensor based on AuPd/UiO-66-NH2/GN composites for sensitive dopamine detection. Analyst 2022, 147, 5655–5662. [Google Scholar] [CrossRef] [PubMed]
- Chu, J.; Chu, B.; Lu, C.; Gu, Q.; Li, W.; Lin, R.; Chen, X. Highly sensitive detection of lead ions and cadmium ions based on UiO-66-NH2@carbon nanohorns composites enhanced by bismuth film in water environment. J. Environ. Chem. Eng. 2022, 10, 108753. [Google Scholar] [CrossRef]
- Shu, Y.; Lu, Q.; Yuan, F.; Tao, Q.; Jin, D.; Yao, H.; Hu, X. Stretchable electrochemical biosensing platform based on Ni-MOF composite/Au nanoparticle-coated carbon nanotubes for real-time monitoring of dopamine released from living cells. ACS Appl. Mater. Interfaces 2020, 12, 49480–49488. [Google Scholar] [CrossRef] [PubMed]
- Xiao, P.; Zhu, G.; Shang, X.; Hu, B.; Zhang, B.; Tang, Z.; Liu, J. An Fe-MOF/MXene-based ultra-sensitive electrochemical sensor for arsenic (III) measurement. J. Electroanal. Chem. 2022, 916, 116382. [Google Scholar] [CrossRef]
- Rasheed, T.; Rizwan, K. Metal-organic frameworks based hybrid nanocomposites as state-of–the-art analytical tools for electrochemical sensing applications. Biosens. Bioelectron. 2022, 199, 113867. [Google Scholar] [CrossRef]
- Martín, N.; Da Ros, T.; Nierengarten, J.F. Carbon nanostructures in biology and medicine. J. Mater. Chem. B 2017, 5, 6425–6427. [Google Scholar] [CrossRef]
- Yang, Z.; Ren, J.; Zhang, Z.; Chen, X.; Guan, G.; Qiu, L.; Peng, H. Recent advancement of nanostructured carbon for energy applications. Chem. Rev. 2015, 115, 5159–5223. [Google Scholar] [CrossRef] [PubMed]
- Hong, J.; Park, S.J.; Kim, S. Synthesis and electrochemical characterization of nanostructured Ni-Co-MOF/graphene oxide composites as capacitor electrodes. Electrochim. Acta 2019, 311, 62–71. [Google Scholar] [CrossRef]
- Zheng, S.; Zhang, N.; Li, L.; Liu, T.; Zhang, Y.; Tang, J.; Su, S. Synthesis of graphene oxide-coupled CoNi bimetallic MOF nanocomposites for the simultaneous analysis of catechol and hydroquinone. Sensors 2023, 23, 6957. [Google Scholar] [CrossRef] [PubMed]
- Alam, A.U.; Deen, M.J. Bisphenol A electrochemical sensor using graphene oxide and β-cyclodextrin-functionalized multi-walled carbon nanotubes. Anal. Chem. 2020, 92, 5532–5539. [Google Scholar] [CrossRef] [PubMed]
- Molahalli, V.; Bhat, V.S.; Shetty, A.; Hundekal, D.; Toghan, A.; Hegde, G. ZnO doped SnO2 nano flower decorated on graphene oxide/polypyrrole nanotubes for symmetric supercapacitor applications. J. Energy Storage 2023, 69, 107953. [Google Scholar] [CrossRef]
- Mei, J.; Han, J.; Wu, F.; Pan, Q.; Zheng, F.; Jiang, J.; Li, Q. SnS@C nanoparticles anchored on graphene oxide as high-performance anode materials for lithium-ion batteries. Front. Chem. 2023, 10, 1105997. [Google Scholar] [CrossRef] [PubMed]
- Li, Y.; Shen, Y.; Zhang, Y.; Zeng, T.; Wan, Q.; Lai, G.; Yang, N. A UiO-66-NH2/carbon nanotube nanocomposite for simultaneous sensing of dopamine and acetaminophen. Anal. Chim. Acta 2021, 1158, 338419. [Google Scholar] [CrossRef]
- Fang, Y.; Zhang, L.; Zhao, Q.; Wang, X.; Jia, X. Highly selective visible-light photocatalytic benzene hydroxylation to phenol using a new heterogeneous photocatalyst UiO-66-NH2-SA-V. Catal. Lett. 2019, 149, 2408–2414. [Google Scholar] [CrossRef]
- Mehmandoust, M.; Erk, N.; Karaman, C.; Karimi, F.; Salmanpour, S. Sensitive and selective electrochemical detection of epirubicin as anticancer drug based on nickel ferrite decorated with gold nanoparticles. Micromachines 2021, 12, 1334. [Google Scholar] [CrossRef]
- Karimi, F.; Shojaei, A.F.; Tabatabaeian, K.; Shakeri, S. CoFe2O4 nanoparticle/ionic liquid modified carbon paste electrode as an amplified sensor for epirubicin analysis as an anticancer drug. J. Mol. Liq. 2017, 242, 685–689. [Google Scholar] [CrossRef]
- Shams, A.; Yari, A. A new sensor consisting of Ag-MWCNT nanocomposite as the sensing element for electrochemical determination of Epirubicin. Sens. Actuators B Chem. 2019, 286, 131–138. [Google Scholar] [CrossRef]









| Electrochemical Sensor | Electrochemical Method | Linear Range | LOD | Ref. |
|---|---|---|---|---|
| Fe3O4-SWCNTs/ionic liquid/CPE | Square wave voltammetry (SWV) | 0.02 µM to 700 µM | 0.007 µM | [4] |
| Pt/single-walled carbon nanotube (SWCNT)/deep eutectic solvent/carbon paste electrode (CPE) | DPV | 0.001 µM to 500 µM | 0.8 nM | [10] |
| Au@NiFe2O4/SPE | DPV | 0.01 µM to 3.6 µM | 0.0053 µM | [59] |
| CoFe2O4 nanoparticles/ionic liquid/CPE | SWV | 0.04 µM to 450 µM | 0.01 µM | [60] |
| Ag/MWCNTs/glassy carbon electrode (GCE) | SWV | 0.003 µM to 0.25 µM | 0.001 µM | [61] |
| UiO-66-NH2/GO/SPGE | DPV | 0.008 µM to 200.0 µM | 0.003 µM | This work |
| Real Sample | Spiked Concentration | Detected Concentration | Recovery | R.S.D. (n = 5) | ||||
|---|---|---|---|---|---|---|---|---|
| EP | TP | EP | TP | EP | TP | EP | TP | |
| Epirubicin Injection | 0 | 0 | 2.9 µM | - | - | - | 3.4% | - |
| 2.0 µM | 5.0 µM | 4.8 µM | 5.1 µM | 97.9% | 102.0% | 2.7% | 3.2% | |
| 4.0 µM | 7.0 µM | 7.0 µM | 6.9 µM | 101.5% | 98.6% | 2.1% | 1.9% | |
| 6.0 µM | 9.0 µM | 9.2 µM | 8.8 µM | 103.4% | 97.8% | 3.0% | 2.2% | |
| 8.0 µM | 11.0 µM | 10.8 µM | 11.2 µM | 99.1% | 101.8% | 2.9% | 2.6% | |
| Topotecan Injection | 0 | 0 | - | 2.6 µM | - | - | - | 1.9% |
| 5.0 µM | 2.5 µM | 5.1 µM | 5.0 µM | 102.0% | 98.0% | 2.4% | 3.5% | |
| 6.0 µM | 3.5 µM | 5.8 µM | 6.3 µM | 96.7% | 103.3% | 2.6% | 2.4% | |
| 7.0 µM | 4.5 µM | 7.1 µM | 6.9 µM | 101.4% | 97.2% | 3.0% | 1.8% | |
| 8.0 µM | 5.5 µM | 7.9 µM | 8.2 µM | 98.7% | 101.2% | 2.1% | 3.7% | |
Disclaimer/Publisher’s Note: The statements, opinions and data contained in all publications are solely those of the individual author(s) and contributor(s) and not of MDPI and/or the editor(s). MDPI and/or the editor(s) disclaim responsibility for any injury to people or property resulting from any ideas, methods, instructions or products referred to in the content. |
© 2024 by the authors. Licensee MDPI, Basel, Switzerland. This article is an open access article distributed under the terms and conditions of the Creative Commons Attribution (CC BY) license (https://creativecommons.org/licenses/by/4.0/).
Share and Cite
Tajik, S.; Shams, P.; Beitollahi, H.; Garkani Nejad, F. Electrochemical Nanosensor for the Simultaneous Determination of Anticancer Drugs Epirubicin and Topotecan Using UiO-66-NH2/GO Nanocomposite Modified Electrode. Biosensors 2024, 14, 229. https://doi.org/10.3390/bios14050229
Tajik S, Shams P, Beitollahi H, Garkani Nejad F. Electrochemical Nanosensor for the Simultaneous Determination of Anticancer Drugs Epirubicin and Topotecan Using UiO-66-NH2/GO Nanocomposite Modified Electrode. Biosensors. 2024; 14(5):229. https://doi.org/10.3390/bios14050229
Chicago/Turabian StyleTajik, Somayeh, Parisa Shams, Hadi Beitollahi, and Fariba Garkani Nejad. 2024. "Electrochemical Nanosensor for the Simultaneous Determination of Anticancer Drugs Epirubicin and Topotecan Using UiO-66-NH2/GO Nanocomposite Modified Electrode" Biosensors 14, no. 5: 229. https://doi.org/10.3390/bios14050229
APA StyleTajik, S., Shams, P., Beitollahi, H., & Garkani Nejad, F. (2024). Electrochemical Nanosensor for the Simultaneous Determination of Anticancer Drugs Epirubicin and Topotecan Using UiO-66-NH2/GO Nanocomposite Modified Electrode. Biosensors, 14(5), 229. https://doi.org/10.3390/bios14050229

