A Highly Sensitive Electrochemical Sensor for Capsaicinoids and Its Application in the Identification of Illegal Cooking Oil
Abstract
:1. Introduction
2. Experimental Section
2.1. Reagents and Apparatus
2.2. Preparation of the AuNPs@Fe3O4 Composite Nanoparticles
2.3. Sample Preparation
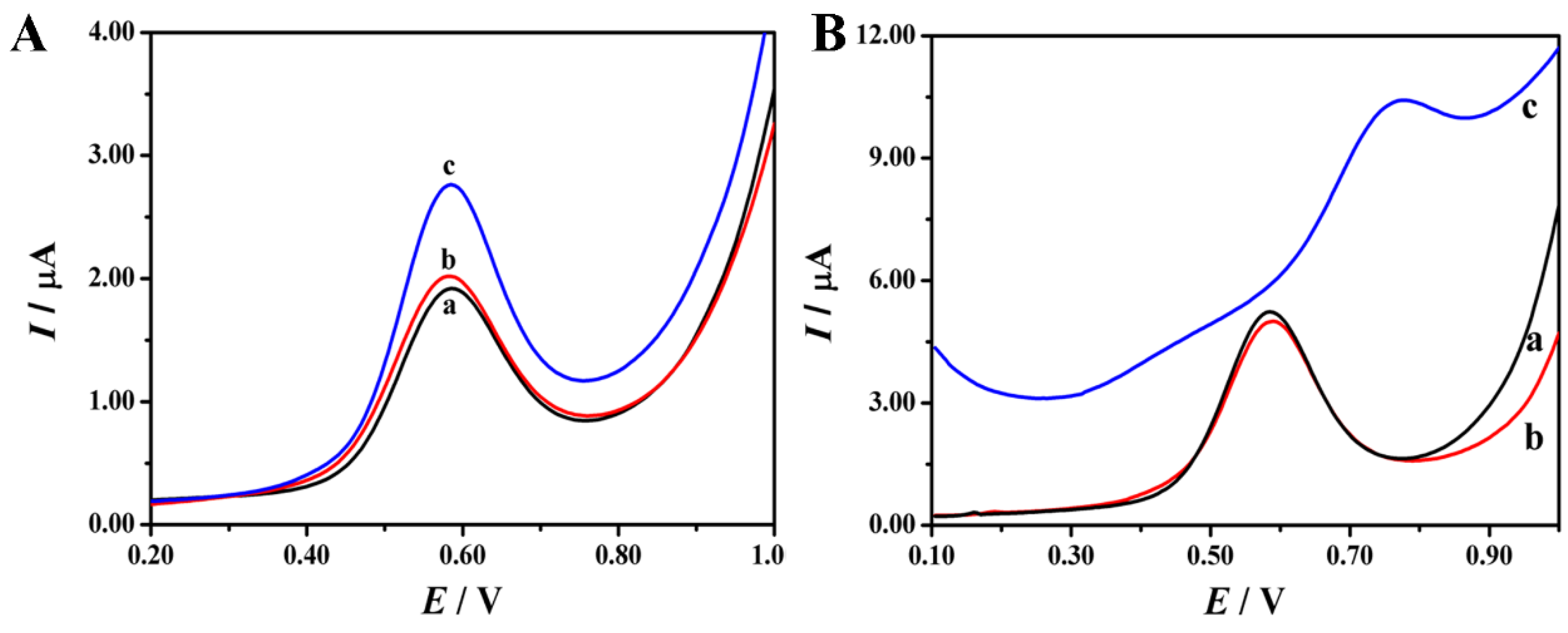
2.4. Capsaicinoids Reacted with 4-atp on the Surface of AuNPs@Fe3O4 Nanocomposites via the Diazotization–Coupling Reaction
2.5. Electrochemical Measurement Procedures
2.6. The Principle behind the Electrochemical Detection for Capsaicinoids
3. Results and Discussion
3.1. The Characterization of AuNPs@Fe3O4 Nanoparticles
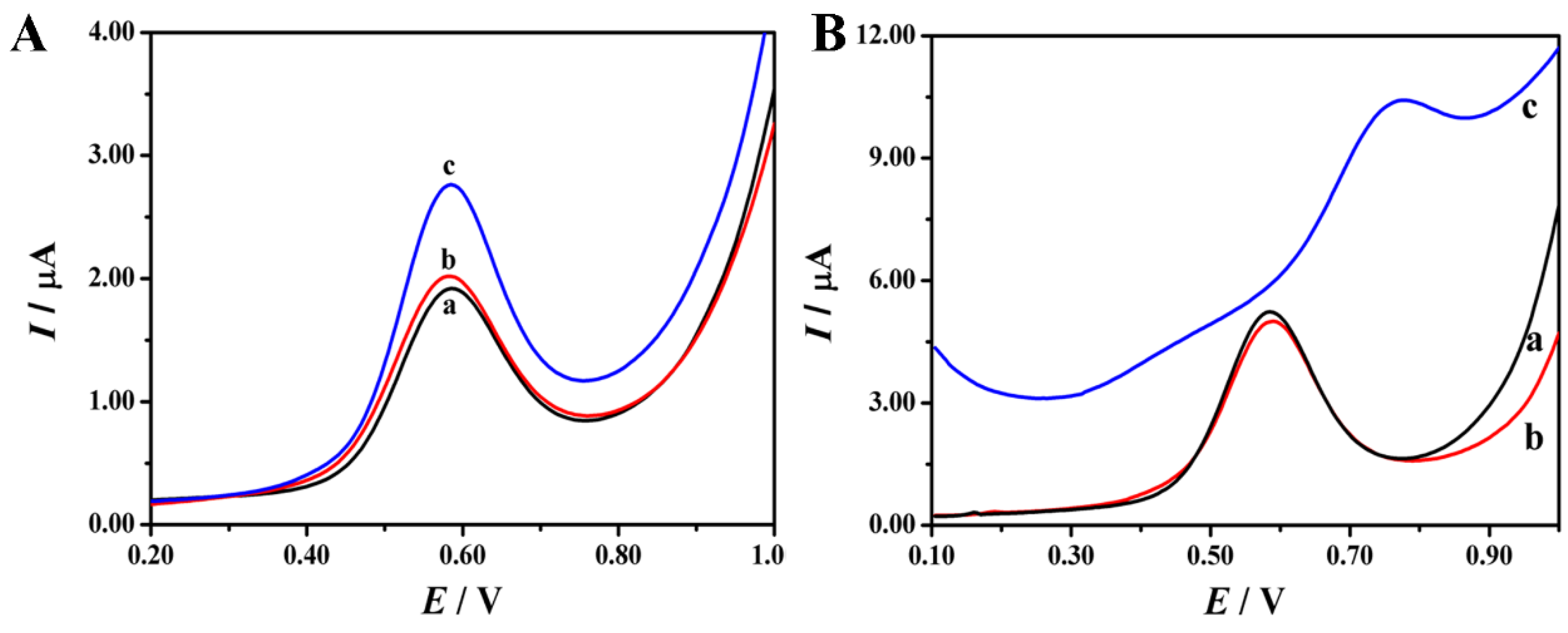
3.2. Electrochemical Behavior of Capsaicinoids
3.3. Matrix Effects
3.4. Optimizations of the Diazotization–Coupling Reaction Conditions
3.5. Optimizations of the pH Value and Concentration of Support Electrolyte
3.6. Optimizations of the Sample Pretreatment Conditions
3.7. Performance of the Sensor
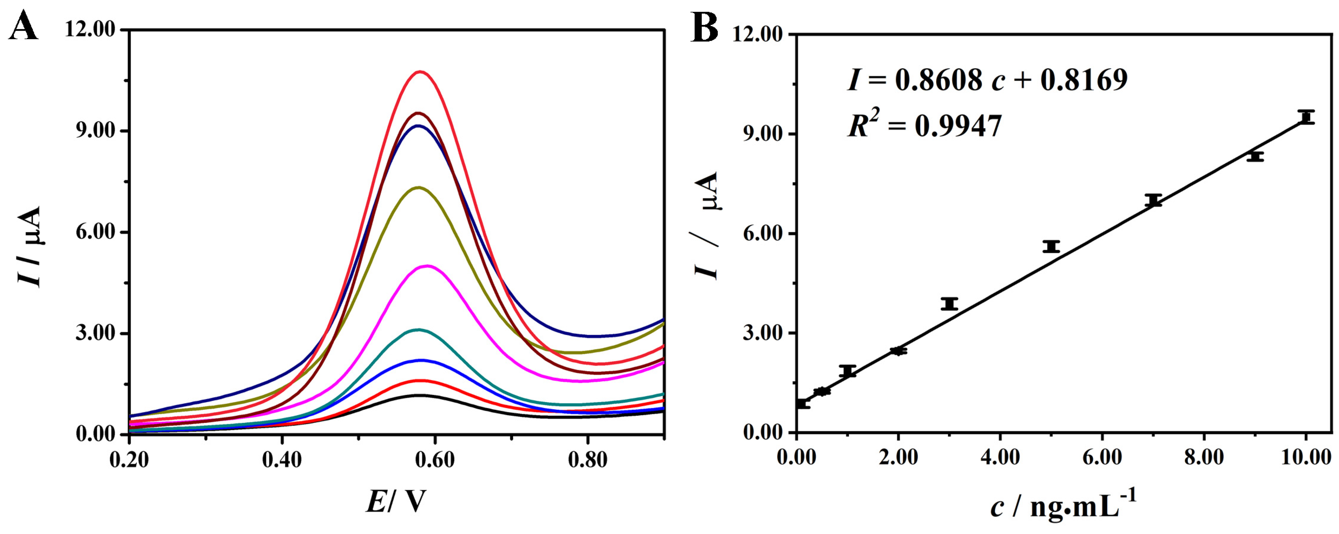
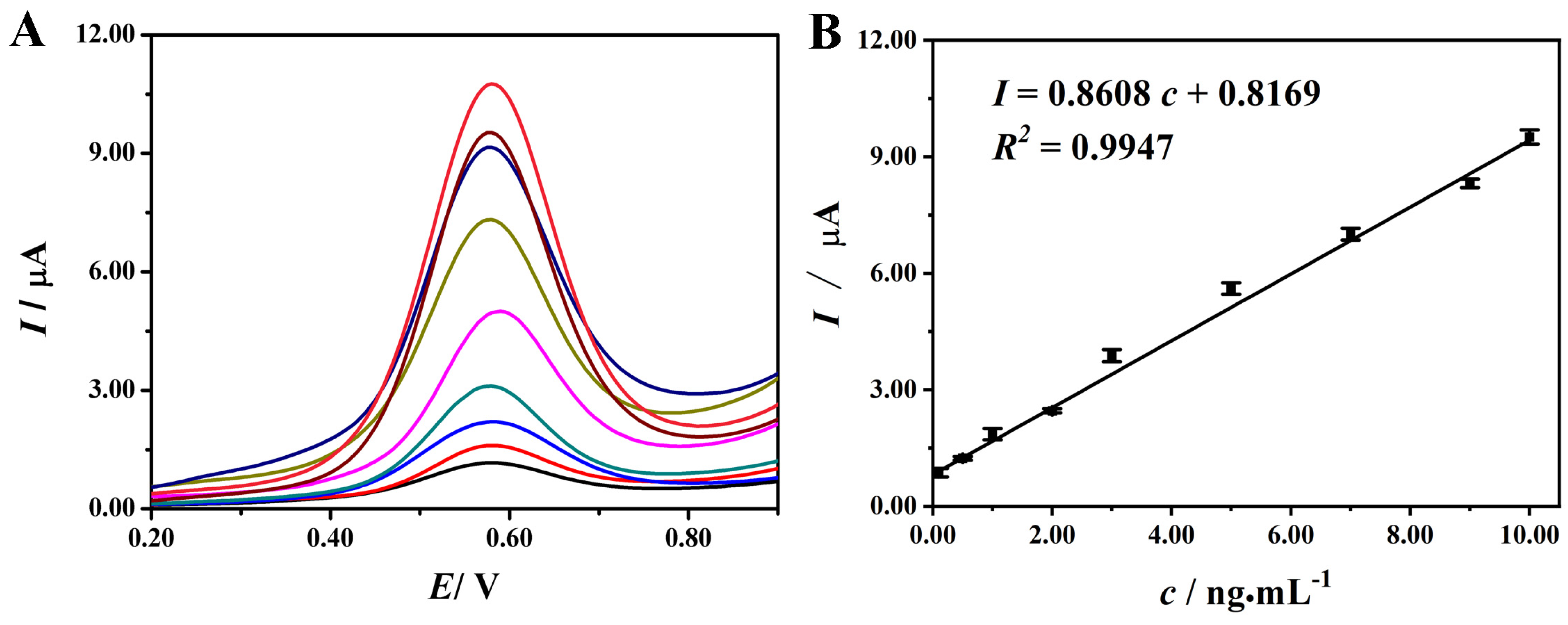
3.7.1. Calibration Curve and Limit Detection
3.7.2. Precision
3.7.3. Accuracy
3.7.4. Interference Test
3.8. Analytical Application
4. Conclusions
Supplementary Materials
Author Contributions
Funding
Institutional Review Board Statement
Informed Consent Statement
Data Availability Statement
Acknowledgments
Conflicts of Interest
References
- Cao, G.; Ruan, D.; Chen, Z.; Hong, Y.; Cai, Z. Recent developments and applications of mass spectrometry for the quality and safety assessment of cooking oil. TrAC-Trends Anal. Chem. 2017, 96, 201–211. [Google Scholar] [CrossRef]
- Liu, Z.; Yu, S.; Xu, S.; Zhao, B.; Xu, W. Ultrasensitive detection of capsaicin in oil for fast identification of illegal cooking oil by serrs. ACS Omega 2017, 2, 8401–8406. [Google Scholar] [CrossRef] [PubMed]
- Patil, P.; Gude, V.; Reddy, H.; Muppaneni, T.; Deng, S. Biodiesel production from waste cooking oil using sulfuric acid and microwave irradiation processes. J. Environ. Prot. 2012, 3, 107–113. [Google Scholar] [CrossRef]
- Chen, G.; Liu, C.; Ma, W.; Zhang, X.; Li, Y.; Yan, B.; Zhou, W. Co-pyrolysis of corn cob and waste cooking oil in a fixed bed. Bioresour. Technol. 2014, 166, 500–507. [Google Scholar] [CrossRef]
- He, J.; Xu, W.; Shang, Y.; Zhu, P.; Mei, X.; Tian, W.; Huang, K. Development and optimization of an efficient method to detect the authenticity of edible oils. Food Control 2013, 31, 71–79. [Google Scholar] [CrossRef]
- Liu, T.; Zhou, Y.; Lv, J.; Chen, Z.; Li, B.; Shi, Y. Authentication of edible vegetable oil and refined recycled cooking oil using a micro-UV spectrophotometer based on chemometrics. J. Am. Oil Chem. Soc. 2013, 90, 1599–1606. [Google Scholar] [CrossRef]
- Fayos, O.; Alejo, N.; Vega, O.; Savirón, M.; Orduna, J.; Mallor, C.; Barbero, G.; Claver, A. Assessment of capsaicinoid and capsinoid accumulation patterns during fruit development in three chili pepper genotypes (Capsicum spp.) carrying Pun1 and pAMT alleles related to pungency. J. Agric. Food Chem. 2019, 67, 12219–12227. [Google Scholar] [CrossRef]
- Ornelas-Paz, J.; Martínez-Burrola, J.; Ruiz-Cruz, S.; Santana-Rodríguez, V.; Ibarra-Junquera, V.; Olivas, G.; Pérez-Martínez, D. Effect of cooking on the capsaicinoids and phenolics contents of Mexican peppers. Food Chem. 2010, 119, 1619–1625. [Google Scholar] [CrossRef]
- Cisneros-Pineda, O.; Torres-Tapia, L.; Gutiérrez-Pacheco, L.; ContrerasMartín, F.; González-Estrada, T.; Peraza-Sánchez, S. Capsaicinoids quantification in chili peppers cultivated in the state of Yucatan, Mexico. Food Chem. 2007, 104, 1755–1760. [Google Scholar] [CrossRef]
- Constant, H.; Cordell, G.; West, D.; Johnson, J. Separation and quantification of capsaicinoids using complexation chromatography. J. Nat. Prod. 1995, 58, 1925–1928. [Google Scholar] [CrossRef]
- Laskaridou-monnerville, A. Determination of capsaicin and dihydrocapsaicin by micellar electrokinetic capillary chromatography and its application to various species of Capsicum, Solanaceae. J. Chromatogr. A 1999, 838, 293–302. [Google Scholar] [CrossRef] [PubMed]
- Wang, L.; Jin, J.; Wang, S.; Wang, X.; Tian, Y.; Chen, J. A novel method for the identification of illegal cooking oil (1): Detection of three capsaicinoids with liquid chromatography-mass spectrometry. Chin. J. Chromatogr. 2012, 30, 1094–1099. [Google Scholar] [CrossRef] [PubMed]
- Zhao, Q.; Hu, Q.; Xu, J.; Feng, Y. Rapid detection of capsaicin and dihydrocapsaicin in edible oil and illegal cooking oil by solid phase extraction-ultra high performance liquid chromatography-mass spectrometry. J. Anal. Sci. 2014, 6, 13–18. [Google Scholar]
- Pilvenyte, G.; Ratautaite, V.; Boguzaite, R.; Ramanavicius, S.; Chen, C.F.; Viter, R.; Ramanavicius, A. Molecularly Imprinted Polymer-Based Electrochemical Sensors for the Diagnosis of Infectious Diseases. Biosensors 2023, 13, 620. [Google Scholar] [CrossRef]
- Peng, S.; Wang, A.; Lian, Y.; Jia, J.; Ji, X.; Yang, H.; Li, J.; Yang, S.; Liao, J.; Zhou, S. Technology for Rapid Detection of Cyromazine Residues in Fruits and Vegetables: Molecularly Imprinted Electrochemical Sensors. Biosensors 2022, 12, 414. [Google Scholar] [CrossRef]
- Malik, S.; Khan, A.; Khan, H.; Rahman, G.; Ali, N.; Khan, S.; Sotomayor, M.D.P.T. Biomimetic Electrochemical Sensors Based on Core-Shell Imprinted Polymers for Targeted Sunset Yellow Estimation in Environmental Samples. Biosensors 2023, 13, 429. [Google Scholar] [CrossRef]
- Baytak, A.; Aslanoglu, M. Sensitive determination of capsaicin in pepper samples using a voltammetric platform based on carbon nanotubes and ruthenium nanoparticles. Food Chem. 2017, 228, 152–157. [Google Scholar] [CrossRef]
- Wang, Y.; Huang, B.; Dai, W.; Ye, J.; Ye, J. Sensitive Electrochemical capsaicin sensor based on a screen printed electrode modified with poly(sodium 4-styrenesulfonate) functionalized graphite. Anal. Sci. 2017, 33, 793–799. [Google Scholar] [CrossRef]
- Verma, A.; Jain, R. Ultrasensitive Voltammetric Quantification of Antioxidant Capsaicin at Platform Polypyrrole/Bi2O3/Graphene Oxide in Surfactant Stabilized Media. J. Electrochem. Soc. 2017, 164, H908–H917. [Google Scholar] [CrossRef]
- Torres Rodríguez, L.; Ramírez, Torres. F.; Gazcón, Orta. N.; Ramírez, Martínez. J. Electrochemical and electrogravimetric studies of the deposition and catalysis of capsaicin in polyaniline: A preliminary study of the determination of chili hotness. Synth. Met. 2017, 223, 153–165. [Google Scholar] [CrossRef]
- Lyu, W.; Zhang, X.; Zhang, Z.; Chen, X.; Zhou, Y.; Chen, H.; Wang, H.; Ding, M. A simple and sensitive electrochemical method for the determination of capsaicinoids in chilli peppers. Sens. Actuators B-Chem. 2019, 288, 65–70. [Google Scholar] [CrossRef]
- Wang, W.; Yi, Z.; Liang, Q.; Zhen, J.; Wang, R.; Li, M.; Zeng, L.; Li, Y. In Situ Deposition of Gold Nanoparticles and L-Cysteine on Screen-Printed Carbon Electrode for Rapid Electrochemical Determination of As(III) in Water and Tea. Biosensors 2023, 13, 130. [Google Scholar] [CrossRef] [PubMed]
- Wang, P.; Liu, Z.; Chen, X.; Meng, F.; Liu, J.; Huang, X. UV irradiation synthesis of an Au–graphene nanocomposite with enhanced electrochemical sensing properties. J. Mater. Chem. A 2013, 1, 9189–9195. [Google Scholar] [CrossRef]
- Elahi, N.; Kamali, M.; Baghersad, M.H. Recent biomedical applications of gold nanoparticles: A review. Talanta 2018, 184, 537–556. [Google Scholar] [CrossRef] [PubMed]
- Deller, A.E.; Soares, A.L.; Volpe, J.; Ruthes, J.G.A.; Souto, D.P.; Vidotti, M. Development of folate-group impedimetric biosensor based on polypyrrole nanotubes decorated with gold nanoparticles. Biosensors 2022, 12, 970. [Google Scholar] [CrossRef]
- Tran, H.N.; Nguyen, N.B.; Ly, N.H.; Joo, S.W.; Vasseghian, Y. Core-shell Au@ZIF-67-based pollutant monitoring of thiram and carbendazim pesticides. Environ. Pollut. 2023, 317, 120775. [Google Scholar] [CrossRef]
- Hua, Z.; Yu, T.; Liu, D.; Xianyu, Y. Recent advances in gold nanoparticles-based biosensors for food safety detection. Biosens. Bioelectron. 2021, 179, 113076. [Google Scholar] [CrossRef]
- Peng, H.; Liang, R.; Zhang, L.; Qiu, J. Facile preparation of novel core-shell enzyme-Au-polydopamine-Fe3O4 magnetic bionanoparticles for glucosesensor. Biosens. Bioelectron. 2013, 42, 293–299. [Google Scholar] [CrossRef]
- Samphao, A.; Butmee, P.; Jitcharoen, J.; Švorc, Ľ.; Raber, G.; Kalcher, K. Flow-injection amperometric determination of glucose using a biosensor based on immobilization of glucose oxidase onto Au seeds decorated on core Fe3O4 nanoparticles. Talanta 2015, 142, 35–42. [Google Scholar] [CrossRef]
- Guivar, J.A.R.; Fernandes, E.G.R.; Zucolotto, V. A peroxidase biomimetic system based on Fe3O4 nanoparticles in non-enzymatic sensors. Talanta 2015, 141, 307–314. [Google Scholar] [CrossRef]
- Yang, X.; Wu, F.; Chen, D.; Lin, H. An electrochemical immunosensor for rapid determination of clenbuterol by using magnetic nanocomposites to modify screen printed carbon electrode based on competitive immunoassay mode. Sens. Actuators B-Chem. 2014, 192, 529–535. [Google Scholar] [CrossRef]
- Chen, J.; Pang, S.; He, L.; Nugen, S. Highly sensitive and selective detection of nitrite ions using Fe3O4@SiO2/Au magnetic nanoparticles by surface-enhanced Raman spectroscopy. Biosens. Bioelectron. 2016, 85, 726–733. [Google Scholar] [CrossRef] [PubMed]
- Hu, X.; Goud, K.; Kumar, V.; Catanante, G.; Li, Z.; Zhu, Z.; Marty, J. Disposable electrochemical aptasensor based on carbon nanotubes-V2O5-chitosan nanocomposite for detection of ciprofloxacin. Sens. Actuators B-Chem. 2018, 268, 278–286. [Google Scholar] [CrossRef]
- Seino, S.; Matsuoka, Y.; Kinoshita, T.; Nakagawa, T.; Yamamoto, T. Dispersibility improvement of gold/iron-oxide composite nanoparticles by polyethylenimine modification. J. Magn. Magn. Mater. 2009, 321, 1404–1407. [Google Scholar] [CrossRef]
- Zhao, H.; Wang, Y.; Xu, X.; Ren, H.; Li, L.; Li, X.; Zhong, W. Detection of adulterated vegetable oils containing waste cooking oils based on the contents and ratios of cholesterol, β-sitosterol, and campesterol by gas chromatography/mass spectrometry. J. AOAC Int. 2015, 98, 1645–1654. [Google Scholar] [CrossRef] [PubMed]
- Zhang, Z.; Ren, F.; Zhang, P. Determination of capsaicinoids and eugenol in waste-edible-oil by liquid-liquid extraction and liquid chromatographytandem mass spectrometry. Chin. J. Chromatogr. 2012, 30, 1108–1112. [Google Scholar] [CrossRef]






| Number of Illegal Cooking Oil | Concentration (Mean ± SD, ng/mL) | Result |
|---|---|---|
| 1 | - | Negative |
| 2 | - | Negative |
| 3 | - | Negative |
| 4 | 4.05 ± 0.23 | Positive |
| 5 | 3.69 ± 0.05 | Positive |
| 6 | 7.32 ± 0.13 | Positive |
Disclaimer/Publisher’s Note: The statements, opinions and data contained in all publications are solely those of the individual author(s) and contributor(s) and not of MDPI and/or the editor(s). MDPI and/or the editor(s) disclaim responsibility for any injury to people or property resulting from any ideas, methods, instructions or products referred to in the content. |
© 2023 by the authors. Licensee MDPI, Basel, Switzerland. This article is an open access article distributed under the terms and conditions of the Creative Commons Attribution (CC BY) license (https://creativecommons.org/licenses/by/4.0/).
Share and Cite
Lyu, W.; Ding, M.; Zhou, Y.; Jiang, M.; Li, Y.; Ding, Y.; Zhang, Z.; Wei, X.; Zhang, X. A Highly Sensitive Electrochemical Sensor for Capsaicinoids and Its Application in the Identification of Illegal Cooking Oil. Biosensors 2023, 13, 863. https://doi.org/10.3390/bios13090863
Lyu W, Ding M, Zhou Y, Jiang M, Li Y, Ding Y, Zhang Z, Wei X, Zhang X. A Highly Sensitive Electrochemical Sensor for Capsaicinoids and Its Application in the Identification of Illegal Cooking Oil. Biosensors. 2023; 13(9):863. https://doi.org/10.3390/bios13090863
Chicago/Turabian StyleLyu, Wenjing, Min Ding, Ying Zhou, Mengdan Jiang, Yanru Li, Yanxiang Ding, Zhong Zhang, Xue Wei, and Xiaoqing Zhang. 2023. "A Highly Sensitive Electrochemical Sensor for Capsaicinoids and Its Application in the Identification of Illegal Cooking Oil" Biosensors 13, no. 9: 863. https://doi.org/10.3390/bios13090863
APA StyleLyu, W., Ding, M., Zhou, Y., Jiang, M., Li, Y., Ding, Y., Zhang, Z., Wei, X., & Zhang, X. (2023). A Highly Sensitive Electrochemical Sensor for Capsaicinoids and Its Application in the Identification of Illegal Cooking Oil. Biosensors, 13(9), 863. https://doi.org/10.3390/bios13090863
