Determination of rSpike Protein by Specific Antibodies with Screen-Printed Carbon Electrode Modified by Electrodeposited Gold Nanostructures
Abstract
:1. Introduction
2. Experimental
2.1. Materials
2.2. Electrochemical Measurements
2.3. Au Deposition on SPCE
2.4. Immobilisation of rSpike and Anti-rSpike
2.5. Calibration of Anti-rSpike
3. Results and Discussion
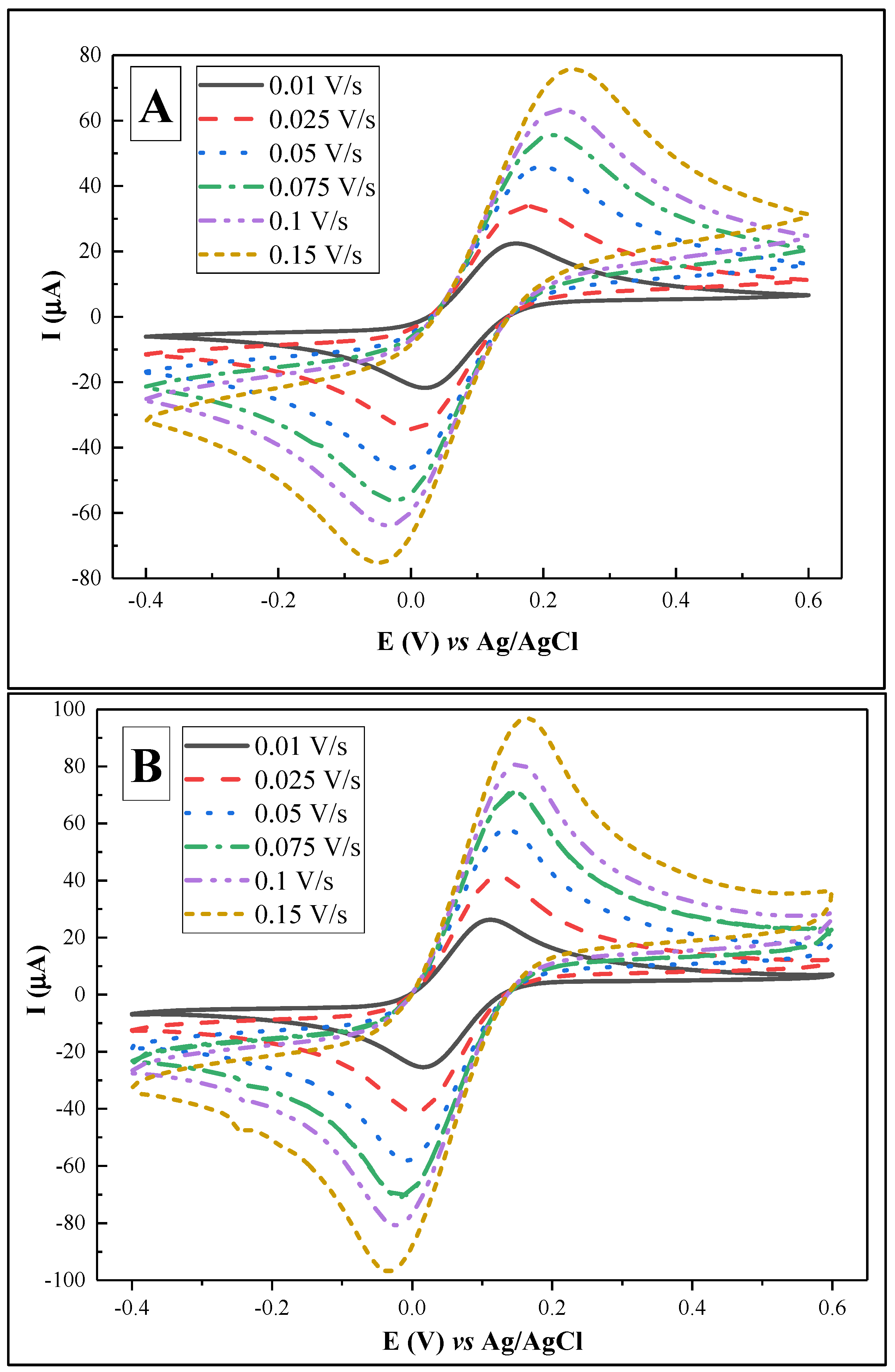
3.1. Electrochemical Characterisation of SPCE and SPCE/AuNS
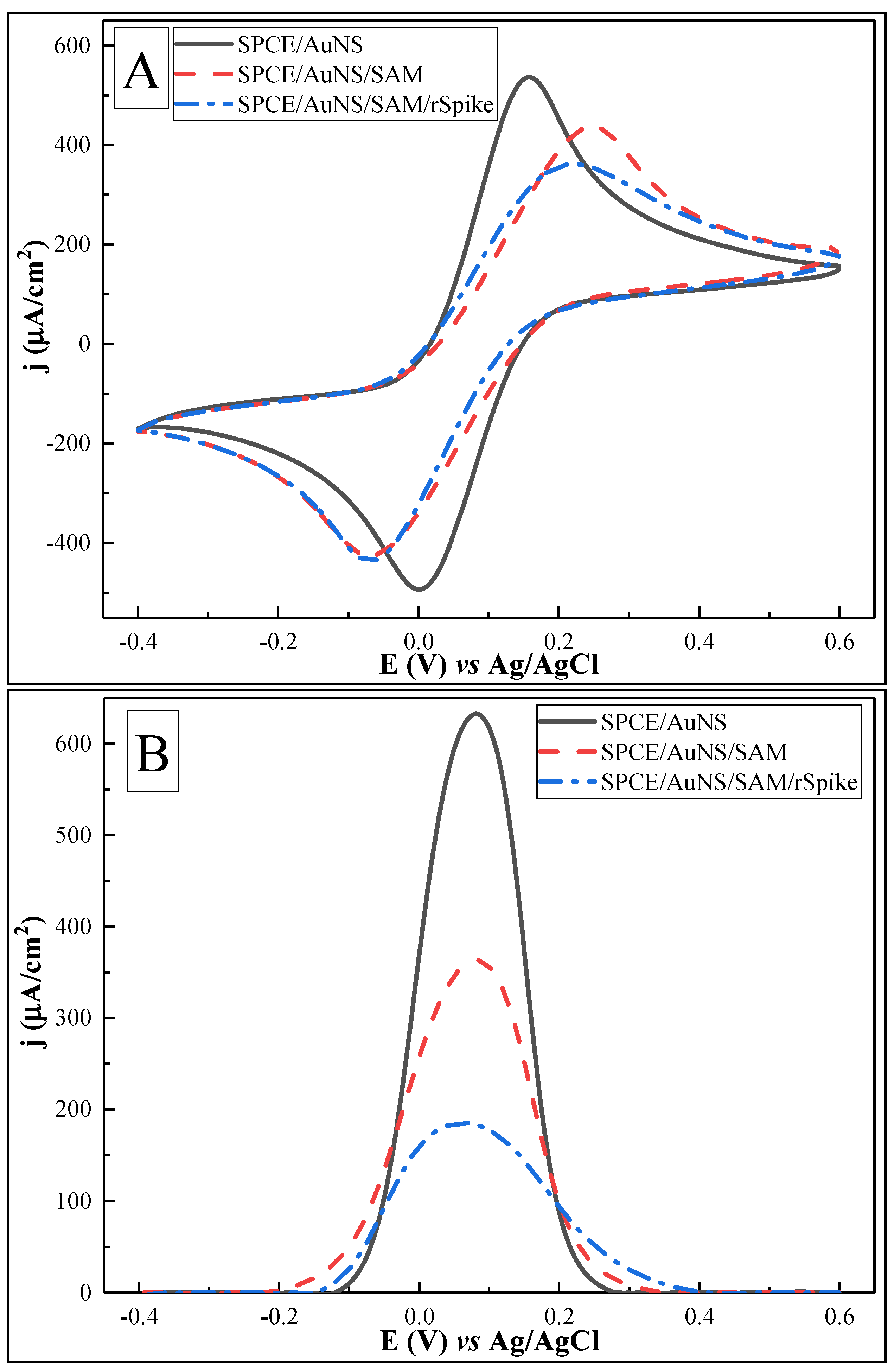
3.2. Electrochemical Characterisation of the Biosensing Element
3.3. Electrochemical Characterisation of the Anti-rSpike Detection
3.4. Limit of Detection and Limit of Quantification
3.5. Specificity Test
4. Conclusions
Author Contributions
Funding
Institutional Review Board Statement
Informed Consent Statement
Acknowledgments
Conflicts of Interest
References
- Hu, B.; Guo, H.; Zhou, P.; Shi, Z.-L. Characteristics of SARS-CoV-2 and COVID-19. Nat. Rev. Microbiol. 2021, 19, 141–154. [Google Scholar] [CrossRef] [PubMed]
- Yadav, A.; Verma, D.; Kumar, A.; Kumar, P.; Solanki, P. The perspectives of biomarker-based electrochemical immunosensors, artificial intelligence and the Internet of Medical Things toward COVID-19 diagnosis and management. Mater. Today Chem. 2021, 20, 100443. [Google Scholar] [CrossRef] [PubMed]
- Ramanavicius, S.; Ramanavicius, A. Progress and Insights in the Application of MXenes as New 2D Nano-Materials Suitable for Biosensors and Biofuel Cell Design. Int. J. Mol. Sci. 2020, 21, 9224. [Google Scholar] [CrossRef] [PubMed]
- Ramanavicius, S.; Ramanavicius, A. Conducting Polymers in the Design of Biosensors and Biofuel Cells. Polymers 2021, 13, 49. [Google Scholar] [CrossRef] [PubMed]
- Ramanavicius, S.; Jagminas, A.; Ramanavicius, A. Advances in Molecularly Imprinted Polymers Based Affinity Sensors (Review). Polymers 2021, 13, 974. [Google Scholar] [CrossRef] [PubMed]
- Ratautaite, V.; Boguzaite, R.; Brazys, E.; Ramanaviciene, A.; Ciplys, E.; Juozapaitis, M.; Slibinskas, R.; Bechelany, M.; Ramanavicius, A. Molecularly imprinted polypyrrole based sensor for the detection of SARS-CoV-2 spike glycoprotein. Electrochim. Acta 2022, 403, 139581. [Google Scholar] [CrossRef] [PubMed]
- Plikusiene, I.; Maciulis, V.; Ramanaviciene, A.; Balevicius, Z.; Buzavaite-Verteliene, E.; Ciplys, E.; Slibinskas, R.; Simanavicius, M.; Zvirbliene, A.; Ramanavicius, A. Evaluation of kinetics and thermodynamics of interaction between immobilized SARS-CoV-2 nucleoprotein and specific antibodies by total internal reflection ellipsometry. J. Colloid Interface Sci. 2021, 594, 195–203. [Google Scholar] [CrossRef] [PubMed]
- Thévenot, D.R.; Toth, K.; Durst, R.A.; Wilson, G.S. Electrochemical biosensors: Recommended definitions and classification. Biosens. Bioelectron. 2001, 16, 121–131. [Google Scholar] [CrossRef]
- Drobysh, M.; Ramanaviciene, A.; Viter, R.; Ramanavicius, A. Affinity Sensors for the Diagnosis of COVID-19. Micromachines 2021, 12, 390. [Google Scholar] [CrossRef] [PubMed]
- Lim, R.R.X.; Bonanni, A. The potential of electrochemistry for the detection of coronavirus-induced infections. TrAC Trends Anal. Chem. 2020, 133, 116081. [Google Scholar] [CrossRef] [PubMed]
- Abid, S.A.; Muneer, A.A.; Al-Kadmy, I.M.; Sattar, A.A.; Beshbishy, A.M.; Batiha, G.E.-S.; Hetta, H.F. Biosensors as a future diagnostic approach for COVID-19. Life Sci. 2021, 273, 119117. [Google Scholar] [CrossRef] [PubMed]
- Drobysh, M.; Ramanaviciene, A.; Viter, R.; Chen, C.-F.; Samukaite-Bubniene, U.; Ratautaite, V.; Ramanavicius, A. Biosensors for the Determination of SARS-CoV-2 Virus and Diagnosis of COVID-19 Infection. Int. J. Mol. Sci. 2022, 23, 666. [Google Scholar] [CrossRef] [PubMed]
- Hill, E.W.; Vijayaragahvan, A.; Novoselov, K. Graphene Sensors. IEEE Sens. J. 2011, 11, 3161–3170. [Google Scholar] [CrossRef]
- Makaraviciute, A.; Ramanavicius, A.; Ramanaviciene, A. Development of a reusable protein G based SPR immunosensor for direct human growth hormone detection in real samples. Anal. Methods 2015, 7, 9875–9884. [Google Scholar] [CrossRef]
- Alonso-Lomillo, M.; Yardimci, C.; Domínguez-Renedo, O.; Arcos-Martínez, M. CYP450 2B4 covalently attached to carbon and gold screen printed electrodes by diazonium salt and thiols monolayers. Anal. Chim. Acta 2009, 633, 51–56. [Google Scholar] [CrossRef] [PubMed]
- Baradoke, A.; Jose, B.; Pauliukaite, R.; Forster, R.J. Properties of Anti-CA125 antibody layers on screen-printed carbon electrodes modified by gold and platinum nanostructures. Electrochim. Acta 2019, 306, 299–306. [Google Scholar] [CrossRef]
- Pandey, L.M. Design of engineered surfaces for prospective detection of SARS-CoV-2 using quartz crystal microbalance-based techniques. Expert Rev. Proteom. 2020, 17, 425–432. [Google Scholar] [CrossRef] [PubMed]
- Lee, J.M.; Park, H.K.; Jung, Y.; Kim, J.K.; Jung, S.O.; Chung, B.H. Direct Immobilization of Protein G Variants with Various Numbers of Cysteine Residues on a Gold Surface. Anal. Chem. 2007, 79, 2680–2687. [Google Scholar] [CrossRef] [PubMed]
- Kausaite, A.; van Dijk, M.; Castrop, J.; Ramanaviciene, A.; Baltrus, J.P.; Acaite, J.; Ramanavicius, A. Surface plasmon resonance label-free monitoring of antibody antigen interactions in real time. Biochem. Mol. Biol. Educ. 2007, 35, 57–63. [Google Scholar] [CrossRef] [PubMed]
- Yan, B.; Wang, F.; He, S.; Liu, W.; Zhang, C.; Chen, C.; Lu, Y. Peroxidase-like activity of Ru–N–C nanozymes in colorimetric assay of acetylcholinesterase activity. Anal. Chim. Acta 2021, 1191, 339362. [Google Scholar] [CrossRef]
- Zhang, W.; Song, Y.; Wang, Y.; He, S.; Shang, L.; Ma, R.-N.; Jia, L.; Wang, H. A perylenetetracarboxylic dianhydride and aniline-assembled supramolecular nanomaterial with multi-color electrochemiluminescence for a highly sensitive label-free immunoassay. J. Mater. Chem. B 2020, 8, 3676–3682. [Google Scholar] [CrossRef] [PubMed]
- Zhang, W.; Song, Y.; Wang, Y.; Gong, Y.; Shang, L.; Ma, R.; Jia, L.; Xue, Q.; Du, Y.; He, S.; et al. Perylene Dianhydride and Perylene Diimide Luminophores Integrated with Gold Nanoparticles for Dual-Potential Electrochemiluminescence Ratiometric Immunosensors. ACS Appl. Nano Mater. 2020, 4, 683–690. [Google Scholar] [CrossRef]
- Song, Y.; Zhang, W.; He, S.; Shang, L.; Ma, R.; Jia, L.; Wang, H. Perylene Diimide and Luminol as Potential-Resolved Electrochemiluminescence Nanoprobes for Dual Targets Immunoassay at Low Potential. ACS Appl. Mater. Interfaces 2019, 11, 33676–33683. [Google Scholar] [CrossRef] [PubMed]
- Zhang, C.; Hu, F.; Hao, X.; Rao, Q.; Hu, T.; Sun, W.; Guo, C.; Li, C.M. Sandwiching Phosphorene with Iron Porphyrin Monolayer for High Stability and Its Biomimetic Sensor to Sensitively Detect Living Cell Released NO. Adv. Sci. 2022, 9, 2104066. [Google Scholar] [CrossRef] [PubMed]
- Baradoke, A.; Hein, R.; Li, X.; Davis, J.J. Reagentless Redox Capacitive Assaying of C-Reactive Protein at a Polyaniline Interface. Anal. Chem. 2020, 92, 3508–3511. [Google Scholar] [CrossRef] [PubMed] [Green Version]
- Saeb, M.R.; Rabiee, N.; Seidi, F.; Far, B.F.; Bagherzadeh, M.; Lima, E.C.; Rabiee, M. Green CoNi2S4/porphyrin decorated carbon-based nanocomposites for genetic materials detection. J. Bioresour. Bioprod. 2021, 6, 215–222. [Google Scholar] [CrossRef]
- Grieshaber, D.; MacKenzie, R.; Vörös, J.; Reimhult, E.; Grieshaber, D.; MacKenzie, R.; Vörös, J.; Reimhult, E. Electrochemical Biosensors-Sensor Principles and Architectures. Sensors 2008, 8, 1400–1458. [Google Scholar] [CrossRef] [PubMed]
- Brett, C.M.; Brett, O.; Electrochemistry, A.M. Electrochemistry: Principles, Methods, and Applications; Oxford University Press: New York, NY, USA, 1993. [Google Scholar]
- Ramanavicius, A.; Oztekin, Y.; Ramanaviciene, A. Electrochemical formation of polypyrrole-based layer for immunosensor design. Sens. Actuators B Chem. 2014, 197, 237–243. [Google Scholar] [CrossRef]
- Zhao, H.; Liu, F.; Xie, W.; Zhou, T.-C.; OuYang, J.; Jin, L.; Li, H.; Zhao, C.-Y.; Zhang, L.; Wei, J.; et al. Ultrasensitive supersandwich-type electrochemical sensor for SARS-CoV-2 from the infected COVID-19 patients using a smartphone. Sens. Actuators B Chem. 2020, 327, 128899. [Google Scholar] [CrossRef] [PubMed]
- Liustrovaite, V.; Drobysh, M.; Rucinskiene, A.; Baradoke, A.; Ramanaviciene, A.; Plikusiene, I.; Samukaite-Bubniene, U.; Viter, R.; Chen, C.-F.; Ramanavicius, A. Towards an Electrochemical Immunosensor for the Detection of Antibodies against SARS-CoV-2 Spike Protein. J. Electrochem. Soc. 2022, 169, 037523. [Google Scholar] [CrossRef]
- NIBSC 20/136; First WHO International Standard for Anti-SARS-CoV-2 Immunoglobulin (Human). National Institute for Biological Standards and Control: London, UK, 2020.
- Immundiagnostik AG. IDK Anti-SARS-CoV-2 IgG ELISA (Manual); Immundiagnostik AG: Bensheim, Germany, 2021. [Google Scholar]
- Dietzen, D.J. Amino acids, peptides, and proteins. In Principles and Applications of Molecular Diagnostics; Rifai, N., Horvath, A.R., Wittwer, C.T., Eds.; Elsevier: Amsterdam, The Netherlands, 2018; pp. 345–380. [Google Scholar]
- Park, I.-S.; Lee, K.-S.; Jung, D.-S.; Park, H.-Y.; Sung, Y.-E. Electrocatalytic activity of carbon-supported Pt–Au nanoparticles for methanol electro-oxidation. Electrochim. Acta 2007, 52, 5599–5605. [Google Scholar] [CrossRef]
- Trasatti, S.; Petrii, O. Real surface area measurements in electrochemistry. J. Electroanal. Chem. 1992, 327, 353–376. [Google Scholar] [CrossRef]
- Randviir, E.P. A cross examination of electron transfer rate constants for carbon screen-printed electrodes using Electrochemical Impedance Spectroscopy and cyclic voltammetry. Electrochim. Acta 2018, 286, 179–186. [Google Scholar] [CrossRef]
- Nicholson, R.S. Theory and Application of Cyclic Voltammetry for Measurement of Electrode Reaction Kinetics. Anal. Chem. 1965, 37, 1351–1355. [Google Scholar] [CrossRef]
- Lavagnini, I.; Antiochia, R.; Magno, F. An Extended Method for the Practical Evaluation of the Standard Rate Constant from Cyclic Voltammetric Data. Electroanalysis 2004, 16, 505–506. [Google Scholar] [CrossRef]
- Islam, M.N.; Channon, R.B. Electrochemical sensors. In Bioengineering Innovative Solutions for Cancer; Academic Press: Cambridge, MA, USA, 2020; pp. 47–71. [Google Scholar] [CrossRef]
- Savéant, J.M. Elements of Molecular and Biomolecular Electrochemistry: An Electrochemical Approach to Electron Transfer Chemistry; John Wiley & Sons: Hoboken, NJ, USA, 2006. [Google Scholar]
- Shrivastava, A.; Gupta, V.B. Methods for the determination of limit of detection and limit of quantitation of the analytical methods. Chron. Young Sci. 2011, 2, 21–25. [Google Scholar] [CrossRef]











| Scan Rate, V/s | SPCE | SPCE/AuNS | ||
|---|---|---|---|---|
| Ip, A | ΔE, V | Ip, A | ΔE, V | |
| 0.01 | 2.24 × 10−5 ± 0.73% | 0.14 ± 0.91% | 2.63 × 10−5 ± 1.05% | 0.10 ± 0.44% |
| 0.025 | 3.38 × 10−5 ± 0.65% | 0.17 ± 0.15% | 4.13 × 10−5 ± 0.56% | 0.12 ± 0.80% |
| 0.05 | 4.59 × 10−5 ± 0.17% | 0.21 ± 0.31% | 5.78 × 10−5 ± 0.10% | 0.14 ± 0.21% |
| 0.075 | 5.55 × 10−5 ± 0.01% | 0.24 ± 0.45% | 7.10 × 10−5 ± 0.00% | 0.16 ± 0.66% |
| 0.10 | 6.34 × 10−5 ± 0.20% | 0.25 ± 0.66% | 8.09 × 10−5 ± 0.28% | 0.17 ± 0.37% |
| 0.15 | 7.57 × 10−5 ± 0.33% | 0.29 ± 0.16% | 9.69 × 10−5 ± 0.38% | 0.20 ± 0.25% |
| CV | DPV | RR for CV | RR for DPV | |
|---|---|---|---|---|
| jpa, µA/cm2 | jp, µA/cm2 | % | % | |
| Au-modified SPCE | 536.30 ± 0.42% | 632.53 ± 0.83% | ||
| SAM | 436.96 ± 0.18% | 363.52 ± 0.28% | ||
| rSpike (blank) | 361.83 ± 0.28% | 185.26 ± 1.17% | 0 | 0 |
| Anti-rSpike 0.5 nM | 323.11 ± 0.13% | 148.86 ± 1.02% | 10.70 ± 0.13 | 19.65 ± 1.02 |
| Anti-rSpike 1.0 nM | 303.18 ± 0.10% | 124.25 ± 0.32% | 16.21 ± 0.10 | 32.93 ± 0.32 |
| Anti-rSpike 1.5 nM | 297.42 ± 0.07% | 105.86 ± 0.32% | 17.80 ± 0.07 | 42.86 ± 0.32 |
| Anti-rSpike 2.5 nM | 276.91 ± 0.49% | 82.23 ± 0.59% | 23.47 ± 0.49 | 55.61 ± 0.59 |
| Anti-rSpike 3.5 nM | 270.04 ± 0.63% | 66.93 ± 0.20% | 25,370.63 | 63.87 ± 0.20 |
Publisher’s Note: MDPI stays neutral with regard to jurisdictional claims in published maps and institutional affiliations. |
© 2022 by the authors. Licensee MDPI, Basel, Switzerland. This article is an open access article distributed under the terms and conditions of the Creative Commons Attribution (CC BY) license (https://creativecommons.org/licenses/by/4.0/).
Share and Cite
Drobysh, M.; Liustrovaite, V.; Baradoke, A.; Viter, R.; Chen, C.-F.; Ramanavicius, A.; Ramanaviciene, A. Determination of rSpike Protein by Specific Antibodies with Screen-Printed Carbon Electrode Modified by Electrodeposited Gold Nanostructures. Biosensors 2022, 12, 593. https://doi.org/10.3390/bios12080593
Drobysh M, Liustrovaite V, Baradoke A, Viter R, Chen C-F, Ramanavicius A, Ramanaviciene A. Determination of rSpike Protein by Specific Antibodies with Screen-Printed Carbon Electrode Modified by Electrodeposited Gold Nanostructures. Biosensors. 2022; 12(8):593. https://doi.org/10.3390/bios12080593
Chicago/Turabian StyleDrobysh, Maryia, Viktorija Liustrovaite, Ausra Baradoke, Roman Viter, Chien-Fu Chen, Arunas Ramanavicius, and Almira Ramanaviciene. 2022. "Determination of rSpike Protein by Specific Antibodies with Screen-Printed Carbon Electrode Modified by Electrodeposited Gold Nanostructures" Biosensors 12, no. 8: 593. https://doi.org/10.3390/bios12080593
APA StyleDrobysh, M., Liustrovaite, V., Baradoke, A., Viter, R., Chen, C.-F., Ramanavicius, A., & Ramanaviciene, A. (2022). Determination of rSpike Protein by Specific Antibodies with Screen-Printed Carbon Electrode Modified by Electrodeposited Gold Nanostructures. Biosensors, 12(8), 593. https://doi.org/10.3390/bios12080593

