Total Internal Reflection Ellipsometry Approach for Bloch Surface Waves Biosensing Applications
Abstract
:1. Introduction
2. Materials and Methods
2.1. Materials
2.2. Formation of PC and PC/TiO2
2.3. TIRE Measurements
2.4. Functionalization of PC/TiO2 Surface for Covalent BSA Immobilization
2.5. Covalent BSA Immobilization and Formation of BSA/Anti-BSA Complex
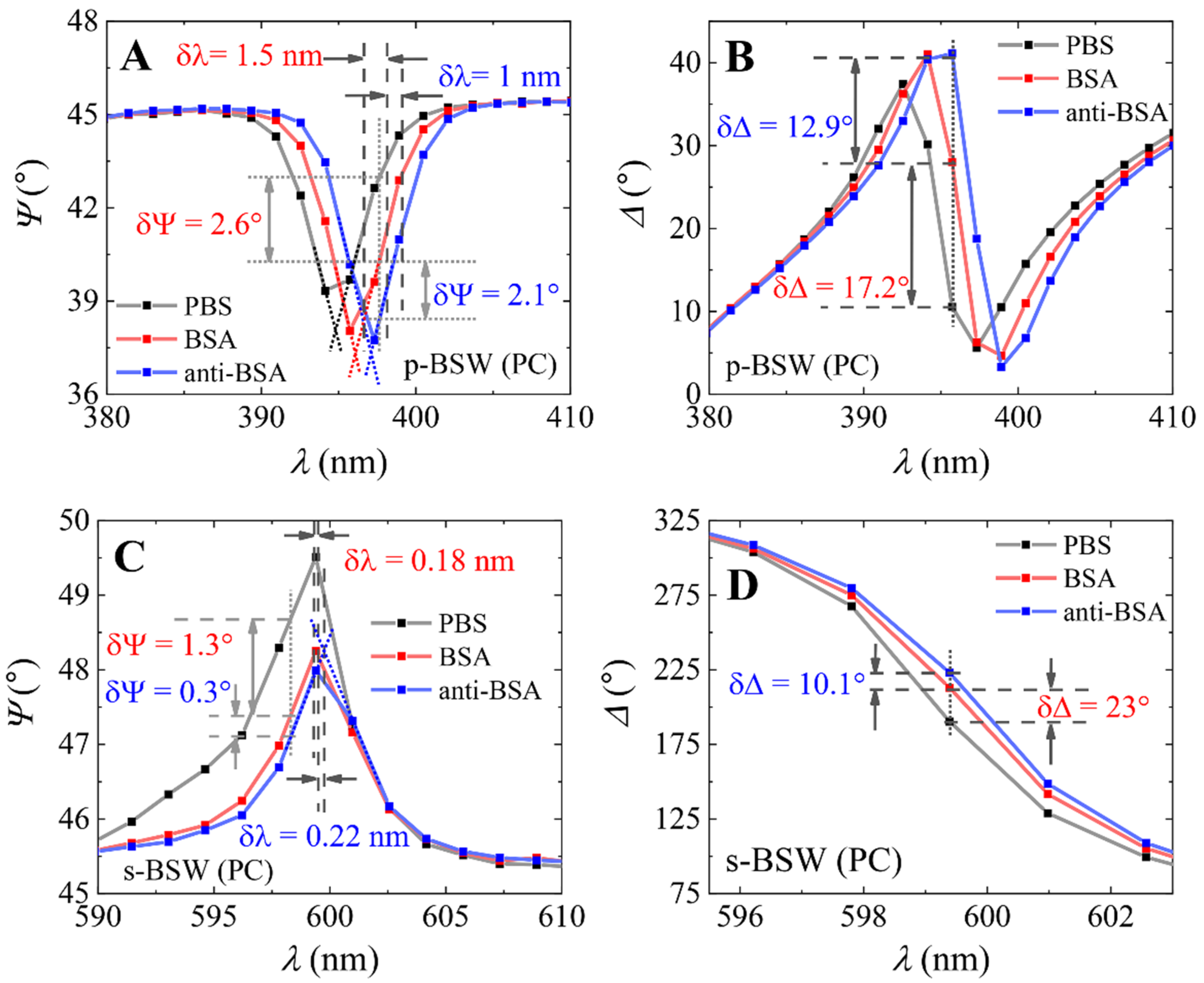
3. Results and Discussion
Application of PC/TiO2 Structure for Biosensing
4. Conclusions
Author Contributions
Funding
Institutional Review Board Statement
Informed Consent Statement
Data Availability Statement
Acknowledgments
Conflicts of Interest
References
- Brudzewski, K.; Osowski, S.; Pawlowski, W. Metal Oxide Sensor Arrays for Detection of Explosives at Sub-Parts-per Million Concentration Levels by the Differential Electronic Nose. Sens. Actuators B Chem. 2012, 161, 528–533. [Google Scholar] [CrossRef]
- Shi, C.; Ye, H.; Wang, H.; Ioannou, D.E.; Li, Q. Precise Gas Discrimination with Cross-Reactive Graphene and Metal Oxide Sensor Arrays. Appl. Phys. Lett. 2018, 113, 222102. [Google Scholar] [CrossRef]
- Abunahla, H.; Mohammad, B.; Alazzam, A.; Jaoude, M.A.; Al-Qutayri, M.; Abdul Hadi, S.; Al-Sarawi, S.F. MOMSense: Metal-Oxide-Metal Elementary Glucose Sensor. Sci. Rep. 2019, 9, 5524. [Google Scholar] [CrossRef]
- Gupta Chatterjee, S.; Chatterjee, S.; Ray, A.K.; Chakraborty, A.K. Graphene–Metal Oxide Nanohybrids for Toxic Gas Sensor: A Review. Sens. Actuators B Chem. 2015, 221, 1170–1181. [Google Scholar] [CrossRef]
- Balevicius, Z.; Paulauskas, A.; Plikusiene, I.; Mikoliunaite, L.; Bechelany, M.; Popov, A.; Ramanavicius, A.; Ramanaviciene, A. Towards the Application of Al2O3/ZnO Nanolaminates in Immunosensors: Total Internal Reflection Spectroscopic Ellipsometry Based Evaluation of BSA Immobilization. J. Mater. Chem. C 2018, 6, 8778–8783. [Google Scholar] [CrossRef]
- Zhang, Q.; Zhang, K.; Xu, D.; Yang, G.; Huang, H.; Nie, F.; Liu, C.; Yang, S. CuO Nanostructures: Synthesis, Characterization, Growth Mechanisms, Fundamental Properties, and Applications. Prog. Mater. Sci. 2014, 60, 208–337. [Google Scholar] [CrossRef]
- Walia, S.; Balendhran, S.; Nili, H.; Zhuiykov, S.; Rosengarten, G.; Wang, Q.H.; Bhaskaran, M.; Sriram, S.; Strano, M.S.; Kalantar-zadeh, K. Transition Metal Oxides—Thermoelectric Properties. Prog. Mater. Sci. 2013, 58, 1443–1489. [Google Scholar] [CrossRef]
- Jia, Y.; He, L.; Guo, Z.; Chen, X.; Meng, F.; Luo, T.; Li, M.; Liu, J. Preparation of Porous Tin Oxide Nanotubes Using Carbon Nanotubes as Templates and Their Gas-Sensing Properties. J. Phys. Chem. C 2009, 113, 9581–9587. [Google Scholar] [CrossRef]
- Liu, J.; Guo, Z.; Meng, F.; Luo, T.; Li, M.; Liu, J. Novel Porous Single-Crystalline ZnO Nanosheets Fabricated by Annealing ZnS(En) 0.5 (En = Ethylenediamine) Precursor. Application in a Gas Sensor for Indoor Air Contaminant Detection. Nanotechnology 2009, 20, 125501. [Google Scholar] [CrossRef]
- Maciulis, V.; Malinovskis, U.; Erts, D.; Ramanavicius, A.; Ramanaviciene, A.; Balevicius, S.; Juciute, S.; Plikusiene, I. Porous Aluminium Oxide Coating for the Development of Spectroscopic Ellipsometry Based Biosensor: Evaluation of Human Serum Albumin Adsorption. Coatings 2020, 10, 1018. [Google Scholar] [CrossRef]
- Oubaha, M.; Elmaghrum, S.; Copperwhite, R.; Corcoran, B.; McDonagh, C.; Gorin, A. Optical Properties of High Refractive Index Thin Films Processed at Low-Temperature. Opt. Mater. 2012, 34, 1366–1370. [Google Scholar] [CrossRef]
- Vyatskikh, A.; Ng, R.C.; Edwards, B.; Briggs, R.M.; Greer, J.R. Additive Manufacturing of High-Refractive-Index, Nanoarchitected Titanium Dioxide for 3D Dielectric Photonic Crystals. Nano Lett. 2020, 20, 3513–3520. [Google Scholar] [CrossRef] [PubMed]
- Hou, Y.-Q.; Zhuang, D.-M.; Zhang, G.; Zhao, M.; Wu, M.-S. Influence of Annealing Temperature on the Properties of Titanium Oxide Thin Film. Appl. Surf. Sci. 2003, 218, 98–106. [Google Scholar] [CrossRef]
- Buzavaite-Verteliene, E.; Plikusiene, I.; Tolenis, T.; Valavicius, A.; Anulyte, J.; Ramanavicius, A.; Balevicius, Z. Hybrid Tamm-Surface Plasmon Polariton Mode for Highly Sensitive Detection of Protein Interactions. Opt. Express 2020, 28, 29033–29043. [Google Scholar] [CrossRef] [PubMed]
- Yeh, P.; Yariv, A.; Hong, C.-S. Electromagnetic Propagation in Periodic Stratified Media I General Theory. J. Opt. Soc. Am. 1977, 67, 423. [Google Scholar] [CrossRef]
- Sinibaldi, A.; Danz, N.; Descrovi, E.; Munzert, P.; Schulz, U.; Sonntag, F.; Dominici, L.; Michelotti, F. Direct Comparison of the Performance of Bloch Surface Wave and Surface Plasmon Polariton Sensors. Sens. Actuators B Chem. 2012, 174, 292–298. [Google Scholar] [CrossRef]
- Kovalevich, T.; Ndao, A.; Suarez, M.; Tumenas, S.; Balevicius, Z.; Ramanavicius, A.; Baleviciute, I.; Häyrinen, M.; Roussey, M.; Kuittinen, M.; et al. Tunable Bloch Surface Waves in Anisotropic Photonic Crystals Based on Lithium Niobate Thin Films. Opt. Lett. 2016, 41, 5616. [Google Scholar] [CrossRef] [PubMed]
- Lereu, A.L.; Zerrad, M.; Passian, A.; Amra, C. Surface Plasmons and Bloch Surface Waves: Towards Optimized Ultra-Sensitive Optical Sensors. Appl. Phys. Lett. 2017, 111, 011107. [Google Scholar] [CrossRef]
- Balevicius, Z.; Baskys, A. Optical Dispersions of Bloch Surface Waves and Surface Plasmon Polaritons: Towards Advanced Biosensors. Materials 2019, 12, 3147. [Google Scholar] [CrossRef]
- Yu, L.; Barakat, E.; Sfez, T.; Hvozdara, L.; Di Francesco, J.; Peter Herzig, H. Manipulating Bloch Surface Waves in 2D: A Platform Concept-Based Flat Lens. Light Sci. Appl. 2014, 3, e124. [Google Scholar] [CrossRef]
- Kim, M.-S.; Vosoughi Lahijani, B.; Descharmes, N.; Straubel, J.; Negredo, F.; Rockstuhl, C.; Häyrinen, M.; Kuittinen, M.; Roussey, M.; Herzig, H.P. Subwavelength Focusing of Bloch Surface Waves. ACS Photonics 2017, 4, 1477–1483. [Google Scholar] [CrossRef]
- Augenstein, Y.; Vetter, A.; Lahijani, B.V.; Herzig, H.P.; Rockstuhl, C.; Kim, M.-S. Inverse Photonic Design of Functional Elements That Focus Bloch Surface Waves. Light Sci. Appl. 2018, 7, 104. [Google Scholar] [CrossRef] [PubMed]
- Arwin, H. TIRE and SPR-enhanced SE for adsorption processes. In Ellipsometry of Functional Organic Surfaces and Films; Hinrichs, K., Eichhorn, K.-J., Eds.; Springer: Berlin/Heidelberg, Germany, 2014; Volume 52, pp. 249–264. ISBN 978-3-642-40127-5. [Google Scholar]
- Arwin, H.; Poksinski, M.; Johansen, K. Total Internal Reflection Ellipsometry: Principles and Applications. Appl. Opt. 2004, 43, 3028. [Google Scholar] [CrossRef]
- Balevicius, Z.; Makaraviciute, A.; Babonas, G.-J.; Tumenas, S.; Bukauskas, V.; Ramanaviciene, A.; Ramanavicius, A. Study of Optical Anisotropy in Thin Molecular Layers by Total Internal Reflection Ellipsometry. Sens. Actuators B Chem. 2013, 181, 119–124. [Google Scholar] [CrossRef]
- Plikusiene, I.; Maciulis, V.; Ramanaviciene, A.; Balevicius, Z.; Buzavaite-Verteliene, E.; Ciplys, E.; Slibinskas, R.; Simanavicius, M.; Zvirbliene, A.; Ramanavicius, A. Evaluation of kinetics and thermodynamics of interaction between immobilized SARS-CoV-2 nucleoprotein and specific antibodies by total internal reflection ellipsometry. J. Colloid Interface Sci. 2021, 594, 195–203. [Google Scholar] [CrossRef]
- Plikusiene, I.; Maciulis, V.; Juciute, S.; Maciuleviciene, R.; Balevicius, S.; Ramanavicius, A.; Ramanaviciene, A. Investigation and Comparison of Specific Antibodies’ Affinity Interaction with SARS-CoV-2 Wild-Type, B.1.1.7, and B.1.351 Spike Protein by Total Internal Reflection Ellipsometry. Biosensors 2022, 12, 351. [Google Scholar] [CrossRef]
- Plikusiene, I.; Maciulis, V.; Graniel, O.; Bechelany, M.; Balevicius, S.; Vertelis, V.; Balevicius, Z.; Popov, A.; Ramanavicius, A.; Ramanaviciene, A. Total internal reflection ellipsometry for kinetics-based assessment of bovine serum albumin immobilization on ZnO nanowires. J. Mater. Chem. C 2021, 9, 1345–1352. [Google Scholar] [CrossRef]
- Sinibaldi, A.; Fieramosca, A.; Rizzo, R.; Anopchenko, A.; Danz, N.; Munzert, P.; Magistris, C.; Barolo, C.; Michelotti, F. Combining Label-Free and Fluorescence Operation of Bloch Surface Wave Optical Sensors. Opt. Lett. 2014, 39, 2947. [Google Scholar] [CrossRef]
- Paeder, V.; Musi, V.; Hvozdara, L.; Herminjard, S.; Herzig, H.P. Detection of Protein Aggregation with a Bloch Surface Wave Based Sensor. Sens. Actuators B Chem. 2011, 157, 260–264. [Google Scholar] [CrossRef]
- Paulauskas, A.; Tumenas, S.; Selskis, A.; Tolenis, T.; Valavicius, A.; Balevicius, Z. Hybrid Tamm-Surface Plasmon Polaritons Mode for Detection of Mercury Adsorption on 1D Photonic Crystal/Gold Nanostructures by Total Internal Reflection Ellipsometry. Opt. Express 2018, 26, 30400. [Google Scholar] [CrossRef]





| δΨ (°) | δΔ (°) | δλ (nm) | (δΨ/δλ) (°/nm) | (δΔ/δλ) (°/nm) | |
|---|---|---|---|---|---|
| PC (p-BSW) | 4.7 | 30.1 | 2.5 | 1.88 | 12 |
| PC (s-BSW) | 1.6 | 33.1 | 0.4 | 4 | 82.75 |
| PC/TiO2 (p-BSW) | 8 | 74.7 | 0.8 | 10 | 93.4 |
| PC/TiO2 (s-BSW) | 3.9 | 19.1 | 0.6 | 6.5 | 31.8 |
Publisher’s Note: MDPI stays neutral with regard to jurisdictional claims in published maps and institutional affiliations. |
© 2022 by the authors. Licensee MDPI, Basel, Switzerland. This article is an open access article distributed under the terms and conditions of the Creative Commons Attribution (CC BY) license (https://creativecommons.org/licenses/by/4.0/).
Share and Cite
Bužavaitė-Vertelienė, E.; Maciulis, V.; Anulytė, J.; Tolenis, T.; Baskys, A.; Plikusiene, I.; Balevičius, Z. Total Internal Reflection Ellipsometry Approach for Bloch Surface Waves Biosensing Applications. Biosensors 2022, 12, 584. https://doi.org/10.3390/bios12080584
Bužavaitė-Vertelienė E, Maciulis V, Anulytė J, Tolenis T, Baskys A, Plikusiene I, Balevičius Z. Total Internal Reflection Ellipsometry Approach for Bloch Surface Waves Biosensing Applications. Biosensors. 2022; 12(8):584. https://doi.org/10.3390/bios12080584
Chicago/Turabian StyleBužavaitė-Vertelienė, Ernesta, Vincentas Maciulis, Justina Anulytė, Tomas Tolenis, Algirdas Baskys, Ieva Plikusiene, and Zigmas Balevičius. 2022. "Total Internal Reflection Ellipsometry Approach for Bloch Surface Waves Biosensing Applications" Biosensors 12, no. 8: 584. https://doi.org/10.3390/bios12080584
APA StyleBužavaitė-Vertelienė, E., Maciulis, V., Anulytė, J., Tolenis, T., Baskys, A., Plikusiene, I., & Balevičius, Z. (2022). Total Internal Reflection Ellipsometry Approach for Bloch Surface Waves Biosensing Applications. Biosensors, 12(8), 584. https://doi.org/10.3390/bios12080584

