A Dual-Band High-Sensitivity THz Metamaterial Sensor Based on Split Metal Stacking Ring
Abstract
:1. Introduction
2. Structure Design and Simulation
3. Results and Discussion
3.1. Resonant Mechanism
3.2. Sensing Performance
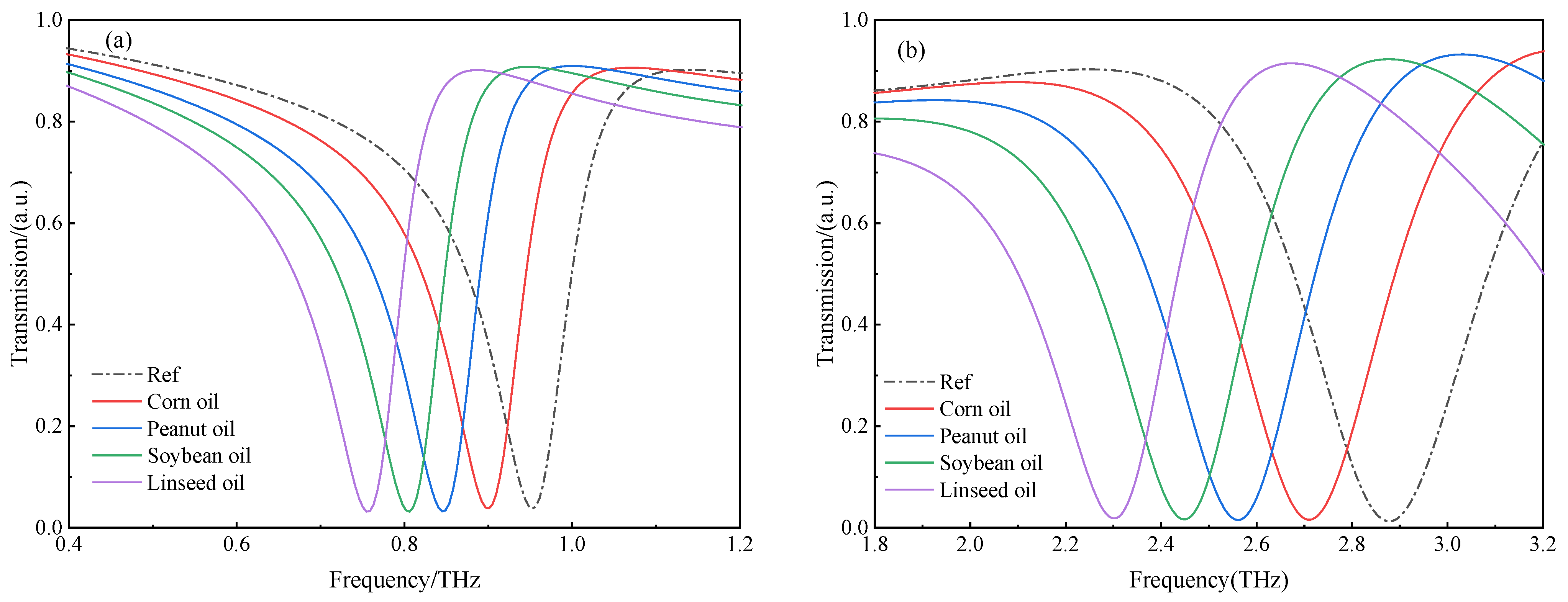
3.3. Application Analysis
4. Conclusions
Author Contributions
Funding
Institutional Review Board Statement
Informed Consent Statement
Data Availability Statement
Acknowledgments
Conflicts of Interest
References
- Lee, Y.S. Principles of Terahertz Science and Technology; Springer Science & Business Media: Berlin/Heidelberg, Germany, 2009. [Google Scholar]
- Gong, A.; Qiu, Y.; Chen, X.; Zhao, Z.; Xia, L.; Shao, Y. Biomedical applications of terahertz technology. Appl. Spectrosc. Rev. 2020, 55, 418–438. [Google Scholar] [CrossRef]
- Guerboukha, H.; Cao, Y.; Nallappan, K.; Skorobogatiy, M. Super-resolution orthogonal deterministic imaging technique for terahertz subwavelength microscopy. ACS Photonics 2020, 7, 1866–1875. [Google Scholar] [CrossRef]
- Tang, M.; Xia, L.; Wei, D.; Yan, S.; Zhang, M.; Yang, Z.; Wang, H.; Du, C.; Cui, H.L. Rapid and label-free metamaterial-based biosensor for fatty acid detection with terahertz time-domain spectroscopy. Spectrochim. Acta Part A Mol. Biomol. Spectrosc. 2020, 228, 117736. [Google Scholar] [CrossRef]
- Yang, X.; Yang, K.; Luo, Y.; Fu, W. Terahertz spectroscopy for bacterial detection: Opportunities and challenges. Appl. Microbiol. Biotechnol. 2016, 100, 5289–5299. [Google Scholar] [CrossRef]
- Pickwell, E.; Wallace, V.P. Biomedical applications of terahertz technology. J. Phys. D Appl. Phys. 2006, 39, R301. [Google Scholar] [CrossRef]
- Feng, H.; An, D.; Tu, H.; Bu, W.; Wang, W.; Zhang, Y.; Zhang, H.; Meng, X.; Wei, W.; Gao, B.; et al. A passive video-rate terahertz human body imager with real-time calibration for security applications. Appl. Phys. B 2020, 126, 143. [Google Scholar] [CrossRef]
- Liu, W.; Xu, X.; Liu, C.; Zheng, L. Nondestructive detection of authenticity of Thai jasmine rice using multispectral imaging. J. Food Qual. 2021, 2021, 1–8. [Google Scholar] [CrossRef]
- Beruete, M.; Jáuregui-López, I. Terahertz sensing based on metasurfaces. Adv. Opt. Mater. 2020, 8, 1900721. [Google Scholar] [CrossRef] [Green Version]
- Mittleman, D.M. Perspective: Terahertz science and technology. J. Appl. Phys. 2017, 122, 230901. [Google Scholar] [CrossRef]
- Pendry, J.B.; Holden, A.J.; Stewart, W.J.; Youngs, I. Extremely low frequency plasmons in metallic mesostructures. Phys. Rev. Lett. 1996, 76, 4773. [Google Scholar] [CrossRef] [Green Version]
- Smith, D.R.; Padilla, W.J.; Vier, D.C.; Nemat-Nasser, S.C.; Schultz, S. Composite medium with simultaneously negative permeability and permittivity. Phys. Rev. Lett. 2000, 84, 4184. [Google Scholar] [CrossRef] [PubMed] [Green Version]
- Aly, A.H.; Ameen, A.A.; Mahmoud, M.A.; Matar, Z.S.; Al-Dossari, M.; Elsayed, H.A. Photonic crystal enhanced by metamaterial for measuring electric permittivity in GHz range. Photonics 2021, 8, 416. [Google Scholar] [CrossRef]
- Siemion, A.; Minkevičius, L.; Qi, L.; Valušis, G. Spatial filtering based terahertz imaging of low absorbing objects. Opt. Lasers Eng. 2021, 139, 106476. [Google Scholar] [CrossRef]
- He, X.; Li, S.; Yang, X.; Shi, S.; Wu, F.; Jiang, J. High-sensitive dual-band sensor based on microsize circular ring complementary terahertz metamaterial. J. Electromagn. Waves Appl. 2017, 31, 91–100. [Google Scholar] [CrossRef]
- Veeraselvam, A.; Mohammed, G.N.A.; Savarimuthu, K.; Sankararajan, R. A novel multi-band biomedical sensor for THz regime. Opt. Quantum Electron. 2021, 53, 354. [Google Scholar] [CrossRef]
- Khani, S.; Danaie, M.; Rezaei, P. Plasmonic all-optical metal–insulator–metal switches based on silver nano-rods, comprehensive theoretical analysis and design guidelines. J. Comput. Electron. 2021, 20, 442–457. [Google Scholar] [CrossRef]
- Forouzeshfard, M.R.; Ghafari, S.; Vafapour, Z. Solute concentration sensing in two aqueous solution using an optical metamaterial sensor. J. Lumin. 2021, 230, 117734. [Google Scholar] [CrossRef]
- Xu, W.; Huang, Y.; Zhou, R.; Wang, Q.; Yin, J.; Kono, J.; Ping, J.; Xie, L.; Ying, Y. Metamaterial-free flexible graphene-enabled terahertz sensors for pesticide detection at bio-interface. ACS Appl. Mater. Interfaces 2020, 12, 44281–44287. [Google Scholar] [CrossRef]
- Liu, J. High-sensitivity detection method for organochlorine pesticide residues based on loop-shaped absorber. Mater. Chem. Phys. 2020, 242, 122542. [Google Scholar] [CrossRef]
- Zhao, R.; Zou, B.; Zhang, G.; Xu, D.; Yang, Y. High-sensitivity identification of aflatoxin B1 and B2 using terahertz time-domain spectroscopy and metamaterial-based terahertz biosensor. J. Phys. D Appl. Phys. 2020, 53, 195401. [Google Scholar] [CrossRef]
- Wang, G.; Zhu, F.; Lang, T.; Liu, J.; Hong, Z.; Qin, J. All-metal terahertz metamaterial biosensor for protein detection. Nanoscale Res. Lett. 2021, 16, 109. [Google Scholar] [CrossRef] [PubMed]
- Wang, Z.; Geng, Z.; Fang, W. Exploring performance of THz metamaterial biosensor based on flexible thin-film. Opt. Express 2020, 28, 26370–26384. [Google Scholar] [CrossRef] [PubMed]
- Zhu, L.; Li, H.D.; Dong, L.; Zhou, W.J.; Rong, M.; Zhang, X.; Guo, J. Dual-band electromagnetically induced transparency (EIT) terahertz metamaterial sensor. Opt. Mater. Express 2021, 11, 2109–2121. [Google Scholar] [CrossRef]
- Janneh, M.; De Marcellis, A.; Palange, E.; Tenggara, A.T.; Byun, D. Design of a metasurface-based dual-band Terahertz perfect absorber with very high Q-factors for sensing applications. Opt. Commun. 2018, 416, 152–159. [Google Scholar] [CrossRef]
- He, X.; Lin, F.; Liu, F.; Shi, W. Tunable strontium titanate terahertz all-dielectric metamaterials. J. Phys. D Appl. Phys. 2020, 53, 155105. [Google Scholar] [CrossRef]
- Geng, Z.; Su, W.; Wang, X.; Jiang, Y.; Liu, Y. Numerical design of a metasurface-based ultra-narrow band terahertz perfect absorber with high Q-factors. Optik 2019, 194, 163071. [Google Scholar] [CrossRef]
- Nickpay, M.R.; Danaie, M.; Shahzadi, A. Design of a graphene-based multi-band metamaterial perfect absorber in THz frequency region for refractive index sensing. Phys. E Low-Dimens. Syst. Nanostruct. 2022, 138, 115114. [Google Scholar] [CrossRef]
- Abramovich, A.; Azoulay, Y.; Rotshild, D. Real-Time Metasurface Sensor for Monitoring Micropoisons in Aqueous Solutions Based on Gold Nanoparticles and Terahertz Spectroscopy. Sensors 2022, 22, 1279. [Google Scholar] [CrossRef]
- Ye, Y.; Zhang, Y.; Zhao, Y.; Ren, Y.; Ren, X. Sensitivity influencing factors during pesticide residue detection research via a terahertz metasensor. Opt. Express 2021, 29, 15255–15268. [Google Scholar] [CrossRef]
- Li, D.; Hu, F.; Zhang, H.; Chen, Z.; Huang, G.; Tang, F.; Lin, S.; Zou, Y.; Zhou, Y. Identification of early-stage cervical cancer tissue using metamaterial terahertz biosensor with two resonant absorption frequencies. IEEE J. Sel. Top. Quantum Electron. 2021, 27, 1–7. [Google Scholar] [CrossRef]
- Zhang, Z.; Ding, H.; Yan, X.; Liang, L.; Wei, D.; Wang, M.; Yang, Q.; Yao, J. Sensitive detection of cancer cell apoptosis based on the non-bianisotropic metamaterials biosensors in terahertz frequency. Opt. Mater. Express 2018, 8, 659–667. [Google Scholar] [CrossRef]
- Kwofie, F.; Lavine, B.K.; Ottaway, J.; Booksh, K. Incorporating brand variability into classification of edible oils by Raman spectroscopy. J. Chemom. 2020, 34, e3173. [Google Scholar] [CrossRef]
- Sota-Uba, I.; Bamidele, M.; Moulton, J.; Booksh, K.; Lavine, B.K. Authentication of edible oils using Fourier transform infrared spectroscopy and pattern recognition methods. Chemom. Intell. Lab. Syst. 2021, 210, 104251. [Google Scholar] [CrossRef]






| Thickness/μm | ||||
|---|---|---|---|---|
| 2 | 188 | 573 | 1.53 | 1.57 |
| 6 | 271 | 823 | 2.20 | 2.25 |
| 10 | 295 | 893 | 2.40 | 2.44 |
| 14 | 290 | 898 | 2.36 | 2.45 |
| 18 | 304 | 912 | 2.47 | 2.49 |
| 22 | 292 | 907 | 2.37 | 2.48 |
| Parameters | Reference Values | Corn Oil | Peanut Oil | Soybean Oil | Canola Oil |
|---|---|---|---|---|---|
| 1 | 1.33 | 1.83 | 2.21 | 2.73 | |
| 1 | 1.153 | 1.353 | 1.486 | 1.652 | |
| /THz | 0.9568 | 0.9009 | 0.845 | 0.802 | 0.7504 |
| /THz | 2.8832 | 2.7112 | 2.5607 | 2.4489 | 2.2984 |
| /THz | 0 | 0.0559 | 0.1118 | 0.1548 | 0.2064 |
| /THz | 0 | 0.172 | 0.3225 | 0.4343 | 0.5848 |
| /GHz·RIU−1 | 304 | ||||
| /GHz·RIU−1 | 912 | ||||
| 1 | 1.184 | 1.368 | 1.509 | 1.678 | |
| 1 | 1.189 | 1.354 | 1.476 | 1.641 | |
Publisher’s Note: MDPI stays neutral with regard to jurisdictional claims in published maps and institutional affiliations. |
© 2022 by the authors. Licensee MDPI, Basel, Switzerland. This article is an open access article distributed under the terms and conditions of the Creative Commons Attribution (CC BY) license (https://creativecommons.org/licenses/by/4.0/).
Share and Cite
Lu, X.; Ge, H.; Jiang, Y.; Zhang, Y. A Dual-Band High-Sensitivity THz Metamaterial Sensor Based on Split Metal Stacking Ring. Biosensors 2022, 12, 471. https://doi.org/10.3390/bios12070471
Lu X, Ge H, Jiang Y, Zhang Y. A Dual-Band High-Sensitivity THz Metamaterial Sensor Based on Split Metal Stacking Ring. Biosensors. 2022; 12(7):471. https://doi.org/10.3390/bios12070471
Chicago/Turabian StyleLu, Xuejing, Hongyi Ge, Yuying Jiang, and Yuan Zhang. 2022. "A Dual-Band High-Sensitivity THz Metamaterial Sensor Based on Split Metal Stacking Ring" Biosensors 12, no. 7: 471. https://doi.org/10.3390/bios12070471
APA StyleLu, X., Ge, H., Jiang, Y., & Zhang, Y. (2022). A Dual-Band High-Sensitivity THz Metamaterial Sensor Based on Split Metal Stacking Ring. Biosensors, 12(7), 471. https://doi.org/10.3390/bios12070471

