Tuning the Sensitivity and Dynamic Range of Optical Oxygen Sensing Films by Blending Various Polymer Matrices
Abstract
:1. Introduction
2. Theory
2.1. Stern-Volmer Relationship
2.2. Phase Delay Measurements
3. Experiments
3.1. Chemical Reagents and Materials
3.2. Synthesis of the Sensing Films
3.3. Characterization of the Sensing Films
3.4. Experimental Setup and Measurement Principle
4. Results
4.1. Surface Morphology of the Sensing Films
4.2. Optical Properties of the Sensing Films
4.3. Response Time of the Sensing Films
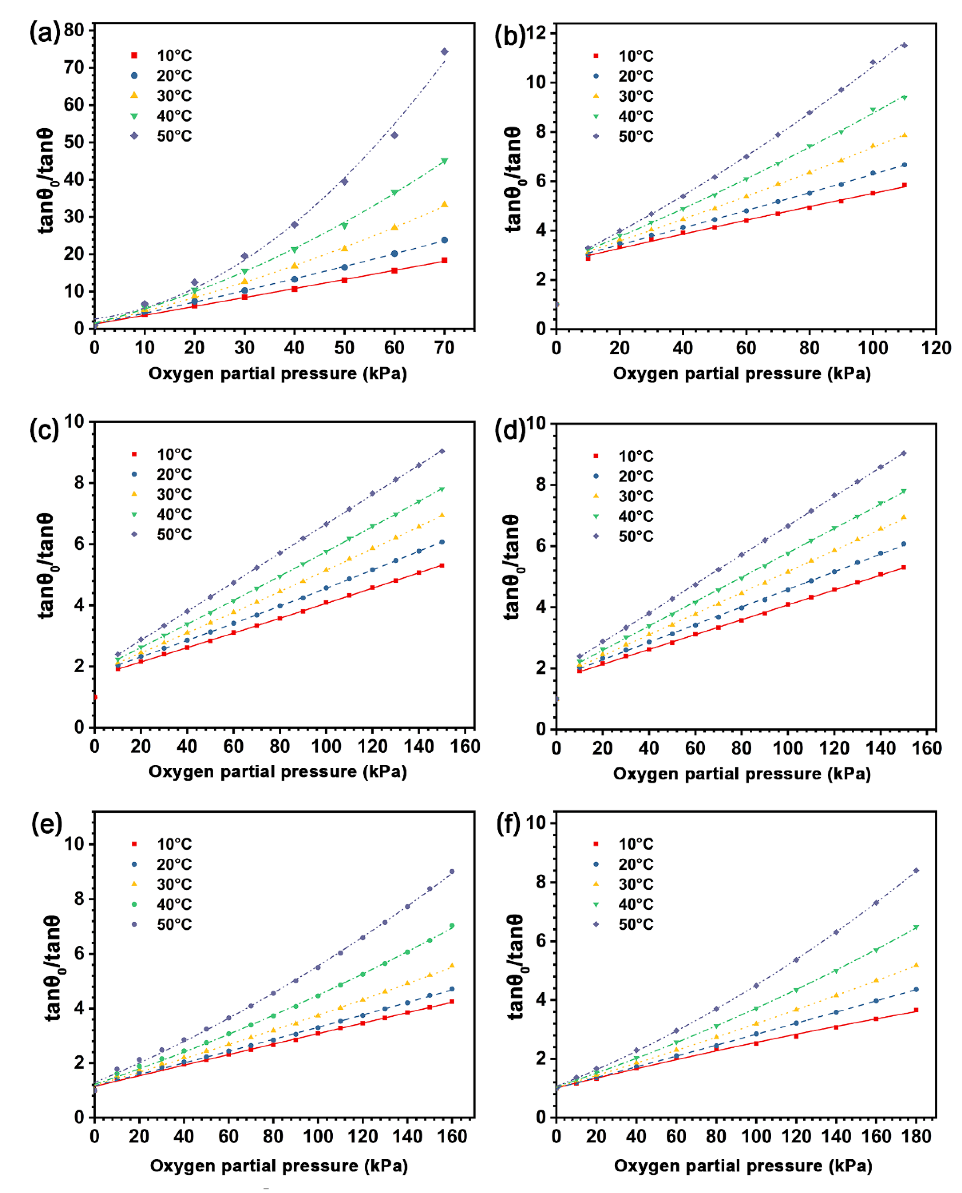
4.4. Sensitivity and Dynamic Range of the Sensing Films
4.5. Temperature Compensation of the Sensing Films
5. Discussion
5.1. Sensitivity and Dynamic Range
5.2. Intercept of the Stern-Volmer Plot
6. Conclusions
Supplementary Materials
Author Contributions
Funding
Institutional Review Board Statement
Informed Consent Statement
Data Availability Statement
Conflicts of Interest
References
- Cirulnick, E.; Zhang, H.; Klotzkin, D. Optical Oxygen Sensors with Improved Lifetime Incorporating Titania Beads and Polydimethylsiloxane Coatings. Photonic Sens. 2020, 12, 68–73. [Google Scholar] [CrossRef]
- Zhang, H.; Liu, T.; Xu, M.; Qin, F.; Zhang, Z.; Tian, Y. Oxygen-sensing properties of a highly sensitive and anti-photo-bleaching fluoropolymer film. Mater. Lett. 2019, 251, 165–168. [Google Scholar] [CrossRef]
- Winkler, L.W. Die Bestimmung des im Wasser gelösten Sauerstoffes. Ber. Dtsch. Chem. Ges. 1888, 21, 2843–2854. [Google Scholar] [CrossRef] [Green Version]
- Kinoshita, K. Electrochemical Oxygen Technology; John Wiley & Sons: New York, NY, USA, 1992; p. 448. [Google Scholar]
- Ast, C.; Schmälzlin, E.; Löhmannsröben, H.; van Dongen, J.T. Optical oxygen micro- and nanosensors for plant applications. Sensors 2012, 12, 7015–7032. [Google Scholar] [CrossRef] [PubMed] [Green Version]
- Wang, Q.; Zhang, J.; Li, S. Minreview: Recent advances in the development of gaseous and dissolved oxygen sensors. Instrum. Sci. Technol. 2019, 47, 19–50. [Google Scholar] [CrossRef]
- Li, H.; Yang, H.; Guo, X. Oxygen sensors based on SrTi0.65Fe0.35O3−δ thick film with MgO diffusion barrier for automotive emission control. Sens. Actuator B-Chem. 2015, 213, 102–110. [Google Scholar] [CrossRef]
- Chu, C.; Lo, Y. Optical fiber dissolved oxygen sensor based on Pt(II) complex and core-shell silica nanoparticles incorporated with sol–gel matrix. Sens. Actuat B-Chem. 2010, 151, 83–89. [Google Scholar] [CrossRef]
- Guo, L.; Ni, Q.; Li, J.; Zhang, L.; Lin, X.; Xie, Z.; Chen, G. A novel sensor based on the porous plastic probe for determination of dissolved oxygen in seawater. Talanta 2008, 74, 1032–1037. [Google Scholar] [CrossRef]
- Xia, T.; Jiang, L.; Zhang, J.; Wan, Y.; Yang, Y.; Gan, J.; Cui, Y.; Yang, Z.; Qian, G. A fluorometric metal-organic framework oxygen sensor: From sensitive powder to portable optical fiber device. Micropor. Mesopor. Mat. 2020, 305, 110396. [Google Scholar] [CrossRef]
- Mills, A.; Lepre, A. Controlling the Response Characteristics of Luminescent Porphyrin Plastic Film Sensors for Oxygen. Anal. Chem. 1997, 69, 4653–4659. [Google Scholar] [CrossRef]
- Song, D.H.; Kim, H.D.; Kim, K.C. Dissolved oxygen concentration field measurement in micro-scale water flows using PtOEP/PS film sensor. Opt. Laser. Eng. 2012, 50, 74–81. [Google Scholar] [CrossRef]
- Abuelwafa, A.A.; El-Denglawey, A.; Dongol, M.; El-Nahass, M.M.; Soga, T. Structural and optical properties of nanocrystalline platinum octaethylporphyrin (PtOEP) thin films. J. Alloys Compd. 2016, 655, 415–422. [Google Scholar] [CrossRef]
- Dienel, T.; Proehl, H.; Fritz, T.; Leo, K. Novel near-infrared photoluminescence from platinum(II)-porphyrin (PtOEP) aggregates. J. Lumin. 2004, 110, 253–257. [Google Scholar] [CrossRef]
- Abuelwafa, A.A.; El-Denglawey, A.; Dongol, M.; El-Nahass, M.M.; Soga, T. Influence of annealing temperature on structural and optical properties of nanocrystalline Platinum octaethylporphyrin (PtOEP) thin films. Opt. Mater. 2015, 49, 271–278. [Google Scholar] [CrossRef]
- Zhang, K.; Zhang, H.; Li, W.; Tian, Y.; Li, S.; Zhao, J.; Li, Y. PtOEP/PS composite particles based on fluorescent sensor for dissolved oxygen detection. Mater. Lett. 2016, 172, 112–115. [Google Scholar] [CrossRef]
- Lin, H.; Bescher, E.; Mackenzie, J.D.; Dai, H.; Stafsudd, O.M. Preparation and properties of laser dye-ORMOSIL composites. J. Mater. Sci. 1992, 27, 5523–5528. [Google Scholar] [CrossRef]
- Kochmann, S.; Baleizão, C.; Berberan-Santos, M.N.; Wolfbeis, O.S. Sensing and Imaging of Oxygen with Parts per Billion Limits of Detection and Based on the Quenching of the Delayed Fluorescence of 13C70 Fullerene in Polymer Hosts. Anal. Chem. 2013, 85, 1300–1304. [Google Scholar] [CrossRef] [PubMed]
- Chen, R.; Formenti, F.; McPeak, H.; Obeid, A.N.; Hahn, C.E.W.; Farmery, A.D. Optimizing Design for Polymer Fiber Optic Oxygen Sensors. IEEE Sens. J. 2014, 14, 3358–3364. [Google Scholar] [CrossRef]
- Tai, H.; Jiang, Y.; Xie, G.; Yu, J.; Chen, X.; Ying, Z. Influence of polymerization temperature on NH3 response of PANI/TiO2 thin film gas sensor. Sens. Actuator B-Chem. 2008, 129, 319–326. [Google Scholar] [CrossRef]
- Dey, A. Semiconductor metal oxide gas sensors: A review. Mater. Sci. Eng. B 2018, 229, 206–217. [Google Scholar] [CrossRef]
- Pan, H.M.; Gonuguntla, S.; Li, S.; Trau, D. Conjugated Polymers for Biosensor Devices. In Comprehensive Biomaterials II; Elsevier: Oxford, UK, 2017; pp. 716–754. [Google Scholar]
- Bansal, A.K.; Holzer, W.; Penzkofer, A.; Tsuboi, T. Absorption and emission spectroscopic characterization of platinum-octaethyl-porphyrin (PtOEP). Chem. Phys. 2006, 330, 118–129. [Google Scholar] [CrossRef]
- Lehner, P.; Staudinger, C.; Borisov, S.M.; Klimant, I. Ultra-sensitive optical oxygen sensors for characterization of nearly anoxic systems. Nat. Commun. 2014, 5, 4460. [Google Scholar] [CrossRef] [Green Version]
- Ongun, M.Z.; Oter, O.; Sabancı, G.; Ertekin, K.; Celik, E. Enhanced stability of ruthenium complex in ionic liquid doped electrospun fibers. Sens. Actuator B-Chem. 2013, 183, 11–19. [Google Scholar] [CrossRef]
- Huang, J.; Fang, X.; Liu, X.; Lu, S.; Li, S.; Yang, Z.; Feng, X. High-Linearity Hydrogen Peroxide Sensor Based on Nanoporous Gold Electrode. J. Electrochem. Soc. 2019, 166, B814–B820. [Google Scholar] [CrossRef]
- Mao, Y.; Mei, Z.; Wen, J.; Li, G.; Tian, Y.; Zhou, B.; Tian, Y. Honeycomb structured porous films from a platinum porphyrin-grafted poly(styrene-co-4-vinylpyridine) copolymer as an optical oxygen sensor. Sens. Actuator B-Chem. 2018, 257, 944–953. [Google Scholar] [CrossRef]
- Phanthong, P.; Guan, G.; Karnjanakom, S.; Hao, X.; Wang, Z.; Kusakabe, K.; Abudula, A. Amphiphobic nanocellulose-modified paper: Fabrication and evaluation. RSC Adv. 2016, 6, 13328–13334. [Google Scholar] [CrossRef]
- Yu, H.; Hu, M.; Xu, Z.; Wang, J.; Wang, S. Surface modification of polypropylene microporous membranes to improve their antifouling property in MBR: NH plasma treatment. Sep. Purif. Technol. 2005, 45, 8–15. [Google Scholar] [CrossRef]
- Yang, Q.; Xu, Z.; Dai, Z.; Wang, J.; Ulbricht, M. Surface Modification of Polypropylene Microporous Membranes with a Novel Glycopolymer. Chem. Mater. 2005, 17, 3050–3058. [Google Scholar] [CrossRef]
- Koren, K.; Hutter, L.; Enko, B.; Pein, A.; Borisov, S.M.; Klimant, I. Tuning the dynamic range and sensitivity of optical oxygen-sensors by employing differently substituted polystyrene-derivatives. Sens. Actuator B-Chem. 2013, 176, 344–350. [Google Scholar] [CrossRef] [Green Version]
- McNeil, C.L.; D’Asaro, E.A. A calibration equation for oxygen optodes based on physical properties of the sensing foil. Limnol. Oceanogr. Meth. 2014, 12, 139–154. [Google Scholar] [CrossRef] [Green Version]
- Tripathi, V.S.; Lakshminarayana, G.; Nogami, M. Optical oxygen sensors based on platinum porphyrin dyes encapsulated in ORMOSILS. Sens. Actuator B-Chem. 2010, 147, 741–747. [Google Scholar] [CrossRef]
- Ding, L.; Zhang, W.; Zhang, Y.; Lin, Z.; Wang, X. Luminescent Silica Nanosensors for Lifetime Based Imaging of Intracellular Oxygen with Millisecond Time Resolution. Anal. Chem. 2019, 91, 15625–15633. [Google Scholar] [CrossRef] [PubMed]
- Lee, S.; Park, J. Luminescent oxygen sensors with highly improved sensitivity based on a porous sensing film with increased oxygen accessibility and photoluminescence. Sens. Actuator B-Chem. 2017, 249, 364–377. [Google Scholar] [CrossRef]
- Wang, F.; Chang, J.; Chen, X.; Wang, Z.; Wang, Q.; Wei, Y.; Qin, Z. Optical fiber oxygen sensor utilizing a robust phase demodulator. Measurement 2017, 95, 1–7. [Google Scholar] [CrossRef]
- Presley, K.; Shahhosseini, M.; Shi, D.; Castro, C.; Lannutti, J. Analysis of long-term optical performance of phosphorescent oxygen sensing polymeric nanofibers. Polym. Test. 2019, 80, 106127. [Google Scholar] [CrossRef]
- Zhao, X.; Zheng, W.; Dong, D.; Jiao, L. Temperature effect on fluorescence of PtOEP embedded in sol–gel membrane used in oxygen sensor. Optik 2013, 124, 6799–6802. [Google Scholar] [CrossRef]
- Chu, C.; Lo, Y. High-performance fiber-optic oxygen sensors based on fluorinated xerogels doped with Pt(II) complexes. Sens. Actuator B-Chem. 2007, 124, 376–382. [Google Scholar] [CrossRef]
- Alexandrovskaya, A.Y.; Melnikov, P.V.; Safonov, A.V.; Naumova, A.O.; Zaytsev, N.K. A comprehensive study of the resistance to biofouling of different polymers for optical oxygen sensors. The advantage of the novel fluorinated composite based on core-dye-shell structure. Mater. Today Commun. 2020, 23, 100916. [Google Scholar] [CrossRef]
- Gillanders, R.N.; Tedford, M.C.; Crilly, P.J.; Bailey, R.T. A composite thin film optical sensor for dissolved oxygen in contaminated aqueous environments. Anal. Chim. Acta 2005, 545, 189–194. [Google Scholar] [CrossRef]
- Lakowicz, J.R. Principles of Fluorescence Spectroscopy, 2nd ed.; Kluwer Academic/Plenum: New York, NY, USA, 1999; p. 283. [Google Scholar]
- Chen, R.; Formenti, F.; McPeak, H.; Obeid, A.N.; Hahn, C.; Farmery, A. Experimental investigation of the effect of polymer matrices on polymer fibre optic oxygen sensors and their time response characteristics using a vacuum testing chamber and a liquid flow apparatus. Sens. Actuator B-Chem. 2016, 222, 531–535. [Google Scholar] [CrossRef] [Green Version]
- Mills, A.; Thomas, M. Fluorescence-based thin plastic film ion-pair sensors for oxygen. Analyst 1997, 122, 63–68. [Google Scholar] [CrossRef]
- Pulido, C.; Esteban, Ó. Tapered polymer optical fiber oxygen sensor based on fluorescence-quenching of an embedded fluorophore. Sens. Actuator B-Chem. 2013, 184, 64–69. [Google Scholar] [CrossRef]
- Chang-Yen, D.A.; Badardeen, A.; Gale, B.K. Spin-assembled nanofilms for gaseous oxygen sensing. Sens. Actuator B-Chem. 2007, 120, 426–433. [Google Scholar] [CrossRef]










| Sample | Dynamic Response time a (s) | T90up b/ Air-Vacuum (s) | T90down c/ Vacuum-Air (s) |
|---|---|---|---|
| SF-EC | <1 | 13 | 3 |
| SF-E3P1 | <1 | 13 | 3 |
| SF-E1P1 | <1 | 13 | 3 |
| SF-E1P3 | <1 | 10 | 4 |
| SF-PMMA | <1 | 8 | 4 |
| Sample | KSVa (kPa−1) | Dynamic Range (kPa) |
|---|---|---|
| SF-EC | 0.298 | 0–70 |
| SF-E1P3 | 0.039 | 10–110 |
| SF-E1P1 | 0.029 | 10–150 |
| SF-E3P1 | 0.021 | 0–160 |
| SF-PMMA | 0.017 | 0–180 |
| Indicator | Polymer Matrix | Sensitivity/KSV (kPa−1) | Dynamic Range (kPa) | Ref. |
|---|---|---|---|---|
| PtOEP | EC | 0.298 | 0–70 | This work |
| PtOEP | EC/PMMA ratio of 3:1 | 0.039 | 10–110 | This work |
| PtOEP | EC/PMMA ratio of 1:1 | 0.029 | 10–150 | This work |
| PtOEP | EC/PMMA ratio of 1:3 | 0.021 | 0–160 | This work |
| PtOEP | PMMA | 0.017 | 0–180 | This work |
| PtTPTBPF4 | tButPS | 0.477 | 0–55 | [31] |
| PtOEP | poly(p-FSt-co-TFEMA) | 0.180 | 0–100 | [2] |
| PtOEP | PMMA | 0.022 | 0–100 | [19] |
| PtOEP | PS/PEG ratio of 4:1 | 0.129 | 0–100 | [35] |
| PtOEP | PS/PEG ratio of 9:1 | 0.153 | 0–100 | [35] |
| Ru(bpy)3]2+Cl2·6H2O | PMMA | 0.0026 | 0–100 | [45] |
| Ru(bpy)3]2+Cl2·6H2O | PSS | 0.0230 | 0–100 | [46] |
Publisher’s Note: MDPI stays neutral with regard to jurisdictional claims in published maps and institutional affiliations. |
© 2021 by the authors. Licensee MDPI, Basel, Switzerland. This article is an open access article distributed under the terms and conditions of the Creative Commons Attribution (CC BY) license (https://creativecommons.org/licenses/by/4.0/).
Share and Cite
Zhang, K.; Lu, S.; Qu, Z.; Feng, X. Tuning the Sensitivity and Dynamic Range of Optical Oxygen Sensing Films by Blending Various Polymer Matrices. Biosensors 2022, 12, 5. https://doi.org/10.3390/bios12010005
Zhang K, Lu S, Qu Z, Feng X. Tuning the Sensitivity and Dynamic Range of Optical Oxygen Sensing Films by Blending Various Polymer Matrices. Biosensors. 2022; 12(1):5. https://doi.org/10.3390/bios12010005
Chicago/Turabian StyleZhang, Kaiheng, Siyuan Lu, Zhe Qu, and Xue Feng. 2022. "Tuning the Sensitivity and Dynamic Range of Optical Oxygen Sensing Films by Blending Various Polymer Matrices" Biosensors 12, no. 1: 5. https://doi.org/10.3390/bios12010005
APA StyleZhang, K., Lu, S., Qu, Z., & Feng, X. (2022). Tuning the Sensitivity and Dynamic Range of Optical Oxygen Sensing Films by Blending Various Polymer Matrices. Biosensors, 12(1), 5. https://doi.org/10.3390/bios12010005
