Development of a Prototype Lateral Flow Immunoassay of Cortisol in Saliva for Daily Monitoring of Stress
Abstract
1. Introduction
2. Materials and Methods
2.1. Reagents and Materials
2.2. Synthesis of Gold Nanospheres and Conjugation with Antibodies
2.3. Saliva Samples Preparation: Participant Characteristics
2.4. Preparation of Lateral Flow Immunoassay Test Strip and Assay Performing
2.5. Plotting a Calibration Graph: Calculation of Results
3. Results and Discussion
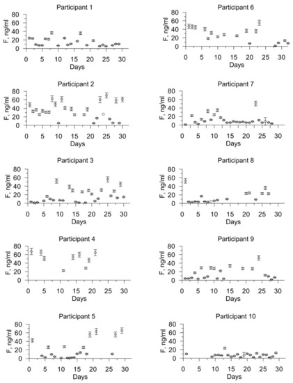
3.1. Obtaining Quantitative Results of Immunochromatographic Analysis of Saliva Samples
3.2. Comparing Emotional Stress Level and Cortisol Concentration in Saliva Samples
3.3. Checking Test Results Using ELISA
4. Conclusions
Funding
Institutional Review Board Statement
Informed Consent Statement
Acknowledgments
Conflicts of Interest
Appendix A

References
- Srisrattakarn, A.; Tippayawat, P.; Chanawong, A.; Tavichakorntrakool, R.; Daduang, J.; Wonglakorn, L.; Lulitanond, A. Development of a prototype lateral flow immunoassay for rapid detection of staphylococcal protein A in positive blood culture samples. Diagnostics 2020, 10, 794. [Google Scholar] [CrossRef]
- Houghton, R.L.; Reed, D.E.; Hubbard, M.A.; Dillon, M.J.; Chen, H.; Currie, B.J. Development of a prototype lateral flow immunoassay (LFI) for the rapid diagnosis of melioidosis. PLoS Negl. Trop. Dis. 2014, 8, e2727. [Google Scholar] [CrossRef]
- Khlebtsov, B.N.; Bratashov, D.N.; Byzova, N.A.; Dzantiev, B.B.; Khlebtsov, N.G. SERS-based lateral flow immunoassay of troponin I by using gap-enhanced Raman tags. Nano Res. 2019, 12, 413–420. [Google Scholar] [CrossRef]
- Choi, D.H.; Lee, S.K.; Oh, Y.K.; Bae, B.W.; Lee, S.D.; Kim, S.; Shin, Y.-B.; Kim, M.-G. A dual gold nanoparticle conjugate-based lateral flow assay (LFA) method for the analysis of troponin I. Biosen. Bioelect. 2010, 25, 1999–2002. [Google Scholar] [CrossRef]
- Byzova, N.A.; Zherdev, A.V.; Vengerov, Y.Y.; Starovoitova, T.A.; Dzantiev, B.B. A triple immunochromatographic test for simultaneous determination of cardiac troponin I, fatty acid binding protein, and C-reactive protein biomarkers. Microchim. Acta 2017, 184, 463–471. [Google Scholar] [CrossRef]
- Byzova, N.A.; Lukhverchik, L.N.; Zherdev, A.V.; Piven, N.V.; Burakovskii, A.I.; Dzantiev, B.B. Development of an immunochromatographic test system for the detection of human epidermal growth factor. Appl. Biochem. Microbiol. 2013, 49, 606–612. [Google Scholar] [CrossRef] [PubMed]
- Anfossi, L.; Di Nardo, F.; Profiti, M.; Nogarol, C.; Cavalera, S.; Baggiani, C.; Giovannoli, C.; Spano, G.; Ferroglio, E.; Mignone, W.; et al. A versatile and sensitive lateral flow immunoassay for the rapid diagnosis of visceral leishmaniasis. Anal. Bioanal. Chem. 2018, 410, 4123–4134. [Google Scholar] [CrossRef]
- Safenkova, I.; Zherdev, A.; Dzantiev, B. Factors influencing the detection limit of the lateral-flow sandwich immunoassay: A case study with potato virus X. Anal. Bioanal. Chem. 2012, 403, 1595–1605. [Google Scholar] [CrossRef] [PubMed]
- Wang, Y.K.; Shi, Y.B.; Zou, Q.; Sun, J.H.; Chen, Z.F.; Wang, H.; Li, S.Q.; Yan, Y.X. Development of a rapid and simultaneous immunochromatographic assay for the determination of zearalenone and fumonisin B1 in corn, wheat and feedstuff samples. Food Control. 2013, 31, 180–188. [Google Scholar] [CrossRef]
- Zvereva, E.A.; Hendrickson, O.D.; Zherdev, A.V.; Dzantiev, B.B. Immunochromatographic tests for the detection of microcystin-LR toxin in water and fish samples. Anal. Methods 2020, 12, 392–400. [Google Scholar] [CrossRef]
- Choi, S.; Hwang, J.; Lee, S.; Lim, D.W.; Joo, H.; Choo, J. Quantitative analysis of thyroid-stimulating hormone (TSH) using SERS-based lateral flow immunoassay. Sens. Actuators B Chem. 2017, 240, 358–364. [Google Scholar] [CrossRef]
- Preechakasedkit, P.; Osada, K.; Katayama, Y.; Ruecha, N.; Suzuki, K.; Chailapakul, O.; Citterio, D. Gold nanoparticle core–europium(iii) chelate fluorophore-doped silica shell hybrid nanocomposites for the lateral flow immunoassay of human thyroid stimulating hormone with a dual signal readout. Analyst 2018, 143, 564–570. [Google Scholar] [CrossRef] [PubMed]
- Serebrennikova, K.V.; Samsonova, J.V.; Osipov, A.P. A semi-quantitative rapid multi-range gradient lateral flow immunoassay for procalcitonin. Microchim. Acta 2019, 186, 423. [Google Scholar] [CrossRef] [PubMed]
- Hubert, W.; Möller, M.; Nieschlag, E. Stress reactions in response to the procedure of LHRH tests as measured by salivary and serum cortisol and psychological variables. Horm. Res. Paediatr. 1989, 32, 198–202. [Google Scholar] [CrossRef] [PubMed]
- Lewis, M.; Thomas, D. Cortisol release in infants in response to inoculation. Child Dev. 1990, 61, 50–59. [Google Scholar] [CrossRef] [PubMed]
- Fujibayashi, S.; Koizumi, A. Circadian rhythm and stress in the elderly: A study using salivary cortisol levels as an indicator. Nihon Eiseigaku Zasshi 1989, 44, 869–876. [Google Scholar] [CrossRef] [PubMed][Green Version]
- Tarui, H.; Nakamura, A. Saliva cortisol: A good indicator for acceleration stress. Aviat. Space Environ. Med. 1987, 58, 573–575. [Google Scholar]
- Bassett, J.R.; Marshall, P.M.; Spillane, R. The physiological measurement of acute stress (public speaking) in bank employees. Int. J. Psychophysiol. 1987, 5, 265–273. [Google Scholar] [CrossRef]
- Ben-Aryeh, H.; Roll, R.; Kahana, L.; Malberger, E.; Szargel, R.; Gutman, D. Saliva as an indicator of stress. Int. J. Psychosom. 1985, 32, 3–8. [Google Scholar]
- Kirschbaum, C.; Hellhammer, D.H. Salivary cortisol in psychobiological research: An overview. Neuropsychobiology 1989, 22, 150–169. [Google Scholar] [CrossRef]
- Lehnert, H.; Beyer, J.; Walger, P.; Murison, R.; Kirschbaum, C.; Hellhammer, D.H. Salivary cortisol in normal men: Effects of corticotropin releasing factor and different psychological stimuli. In Frontiers in Stress Research; Huber: Toronto, ON, Canada, 1989; pp. 392–394. ISBN 0920887392. [Google Scholar]
- Kirschbaum, C.; Strasburger, C.J.; Jammers, W.; Hellhammer, D.H. Cortisol and behavior: 1. Adaptation of a radioimmunoassay kit for reliable and inexpensive salivary cortisol determination. Pharmacol. Biochem. Behav. 1989, 34, 747–751. [Google Scholar] [CrossRef]
- Bohnen, N.; Nicolson, N.; Sulon, J.; Jolles, J. Coping style, trait anxiety and cortisol reactivity during mental stress. J. Psychosom. Res. 1991, 35, 141–147. [Google Scholar] [CrossRef]
- Hubert, W.; de Jong-Meyer, R. Emotional stress and saliva cortisol response. J. Clin. Chem. Clin. Biochem. 1989, 27, 235–237. [Google Scholar] [PubMed]
- Vreeburg, S.A.; Zitman, F.G.; van Pelt, J.; Derijk, R.H.; Verhagen, J.C.; van Dyck, R.; Hoogendijk, W.J.; Smit, J.H.; Penninx, B.W. Salivary cortisol levels in persons with and without different anxiety disorders. Psychosom. Med. 2010, 72, 340–347. [Google Scholar] [CrossRef] [PubMed]
- Van Eck, M.; Berkhof, H.; Nicolson, N.; Sulon, J. The effects of perceived stress, traits, mood states, and stressful daily events on salivary cortisol. Psychosom. Med. 1996, 58, 447–458. [Google Scholar] [CrossRef] [PubMed]
- Di Nardo, F.; Cavalera, S.; Baggiani, C.; Giovannoli, C.; Laura Anfossi, L. Direct vs mediated coupling of antibodies to gold nanoparticles: The case of salivary cortisol detection by lateral flow immunoassay. ACS Appl. Mater. Interfaces 2019, 11, 32758–32768. [Google Scholar] [CrossRef] [PubMed]
- Leung, W.; Chan, P.; Bosgoed, F.; Lehmann, K.; Renneberg, I.; Lehmann, M.; Renneberg, R. One-step quantitative cortisol dipstick with proportional reading. J. Immunol. Methods 2003, 81, 109–118. [Google Scholar] [CrossRef]
- Kim, S.B.; Takenaka, Y.; Torimura, M. A bioluminescent probe for salivary cortisol. Bioconjug. Chem. 2011, 22, 1835–1841. [Google Scholar] [CrossRef]
- Stevens, R.C.; Soelberg, S.D.; Near, S.; Furlong, C.E. Detection of cortisol in saliva with a flow-filtered, portable surface plasmon resonance biosensor system. Anal. Chem. 2008, 80, 6747–6751. [Google Scholar] [CrossRef]
- Höferl, M.; Krist, S.; Buchbauer, G. Adaptation of DELFIATM Cortisol Kit for determination of salivary cortisol concentration. Arch. Pharm. 2005, 338, 493–497. [Google Scholar] [CrossRef]
- Westermann, J.; Demir, A.; Herbst, V. Determination of cortisol in saliva and serum by a luminescence-enhanced enzyme immunoassay. Clin. Lab. 2004, 50, 11–24. [Google Scholar] [PubMed]
- Tu, E.; Pearlmutter, P.; Tiangco, M.; Derose, G.; Begdache, L.; Koh, A. Comparison of colorimetric analyses to determine cortisol in human sweat. ACS Omega 2020, 5, 8211–8218. [Google Scholar] [CrossRef]
- Apilux, A.; Rengpipat, S.; Suwanjang, W.; Chailapakul, O. Development of competitive lateral flow immunoassay coupled with silver enhancement for simple and sensitive salivary cortisol detection. EXCLI J. 2018, 17, 1198–1209. [Google Scholar] [CrossRef] [PubMed]
- Dalirirad, S.; Steckl, A.J. Aptamer-based lateral flow assay for point of care cortisol detection in sweat. Sens. Actuators B Chem. 2019, 283, 79–86. [Google Scholar] [CrossRef]
- Frens, G. Controlled nucleation for the regulation of the particle size in monodisperse gold suspensions. Nat. Phys. Sci. 1973, 241, 20–22. [Google Scholar] [CrossRef]
- Steptoe, A.; Wardle, J.; Lipsey, Z.; Mills, R.; Oliver, G.; Jarvis, M.; Kirschbaum, C. A longitudinal study of work load and variations in psychological well-being, cortisol, smoking, and alcohol consumption. Ann. Behav. Med. 1998, 20, 84–91. [Google Scholar] [CrossRef]
- Brandtstädter, J.; Baltes-Götz, B.; Kirschbaum, C.; Hellhammer, D. Developmental and personality correlates of adrenocortical activity as indexed by salivary cortisol: Observations in the age range of 35 to 65 years. J. Psychosom. Res. 1991, 35, 173–185. [Google Scholar] [CrossRef]
- Panfilova, E. Some steps in the development of an immunochromatographic test to quantify cortisol in human salivary fluid. Opt. Nano Technol. Biol. and Med. Proc. SPIE 2021, in press. [Google Scholar]
- Herane Vives, A.; De Angel, V.; Papadopoulos, A.; Strawbridge, R.; Wise, T.; Young, A.H.; Arnone, D.; Cleare, A.J. The relationship between cortisol, stress and psychiatric illness: New insights using hair analysis. J. Psychiatr. Res. 2015, 70, 38–49. [Google Scholar] [CrossRef]
- Urusov, A.E.; Zherdev, A.V.; Dzantiev, B.B. Method to Reduce Limit of Detection of Immunochromatographic Methods to Control Content of Low-Molecular Compounds. RF 2497126 C2, 27 October 2013. [Google Scholar]
- Urusov, A.E.; Gubaidullina, M.K.; Petrakova, A.V.; Zherdev, A.V.; Dzantiev, B.B. A new kind of highly sensitive competitive lateral flow immunoassay displaying direct analyte-signal dependence. Application to the determination of the mycotoxin deoxynivalenol. Microchim. Acta 2018, 185, 29. [Google Scholar] [CrossRef] [PubMed]
- Mikaelian, N.P.; Komarov, O.S.; Davydov, V.V.; Meisner, I.S. Biochemistry of the Oral Fluid in Health and Disease. Educational-Methodical Manual for Independent Work of Students in the Specialty “Dentistry”; Publishing House IKAR: Moscow, Russia, 2017; pp. 12–13. [Google Scholar]
- Lee, S.; Kim, G.; Moon, J. Development of a Smartphone-based reading system for lateral flow immunoassay. J. Nanosci. Nanotechnol. 2014, 11, 8453–8457. [Google Scholar] [CrossRef] [PubMed]
- Ruppert, C.; Phogat, N.; Laufer, S.; Kohl, M.; Deigner, H.P. A smartphone readout system for gold nanoparticle-based lateral flow assays: Application to monitoring of digoxigenin. Microchim. Acta 2018, 186, 119. [Google Scholar] [CrossRef] [PubMed]
- Tyrrell, C.H. A Lateral Flow Smart Phone Image Analysis Diagnostic. Master’s Thesis, California Polytechnic State University, San Luis Obispo, CA, USA, August 2013. [Google Scholar]







| Participant Number | Average Cortisol Concentration During the Study Period ± SD, ng/mL | The Min/Max Value of Cortisol During the Study Period, ng/mL |
|---|---|---|
| 1 | 14.9 ± 9.6 | 5.2/36.6 |
| 2 | 34.9 ± 19.6 | 5.1/70.3 |
| 3 | 17.9 ± 16.1 | 1.0/55.0 |
| 4 | 50.9 ± 16.1 | 22.3/67.3 |
| 5 | 21.6 ± 22.5 | 1.0/65 |
| 6 | 27.5 ± 16.4 | 1.1/55.4 |
| 7 | 12.3 ± 11.4 | 1.0/50.4 |
| 8 | 14.3 ± 13.8 | 2.6/52.9 |
| 9 | 15.8 ± 13.8 | 1.5/52.6 |
| 10 | 7.2 ± 4.7 | 1.6/23.5 |
| Sample No | LFIA ± SD, (ng/mL) Mean (n = 3) | ELISA ± SD, (ng/mL) Mean (n = 3) |
|---|---|---|
| 1 | 15.9 ± 1.2 | 11.4 ± 0.2 |
| 2 | 12.3 ± 0.9 | 8.3 ± 0.1 |
| 3 | 23.5 ± 0.7 | 23.5 ± 1.1 |
| 4 | 22.5 ± 0.9 | 22.6 ± 0.3 |
| 5 | 18.6 ± 0.5 | 21.8 ± 1.1 |
| 6 | 17.2 ± 0.1 | 16.0 ± 1.5 |
| 7 | 5.8 ± 0.4 | 7.3 ± 1.8 |
| 8 | 27.7 ± 0.7 | 24.3 ± 1.1 |
| 9 | 38.3 ± 2.4 | 35.8 ± 3.2 |
| 10 | 24.0 ± 1.4 | 23.0 ± 0.3 |
| 11 | 28.2 ± 2.1 | 25.0 ± 0.8 |
| 12 | 35.4 ± 1.3 | 32.5 ± 2.5 |
| 13 | 25.0 ± 1.6 | 21.2 ± 0.9 |
| 14 | 60.9 ± 3.1 | 63.1 ± 3.0 |
Publisher’s Note: MDPI stays neutral with regard to jurisdictional claims in published maps and institutional affiliations. |
© 2021 by the author. Licensee MDPI, Basel, Switzerland. This article is an open access article distributed under the terms and conditions of the Creative Commons Attribution (CC BY) license (https://creativecommons.org/licenses/by/4.0/).
Share and Cite
Panfilova, E. Development of a Prototype Lateral Flow Immunoassay of Cortisol in Saliva for Daily Monitoring of Stress. Biosensors 2021, 11, 146. https://doi.org/10.3390/bios11050146
Panfilova E. Development of a Prototype Lateral Flow Immunoassay of Cortisol in Saliva for Daily Monitoring of Stress. Biosensors. 2021; 11(5):146. https://doi.org/10.3390/bios11050146
Chicago/Turabian StylePanfilova, Elizaveta. 2021. "Development of a Prototype Lateral Flow Immunoassay of Cortisol in Saliva for Daily Monitoring of Stress" Biosensors 11, no. 5: 146. https://doi.org/10.3390/bios11050146
APA StylePanfilova, E. (2021). Development of a Prototype Lateral Flow Immunoassay of Cortisol in Saliva for Daily Monitoring of Stress. Biosensors, 11(5), 146. https://doi.org/10.3390/bios11050146

