Structural and Thermal Characterisation of Nanofilms by Time-Resolved X-ray Scattering
Abstract
1. Introduction
2. Materials and Methods
3. Results and Discussion
3.1. Thermal Expansion of Strained Thin Films
3.2. Heat Transfer in Epitaxial Isotopically Modulated Multilayers
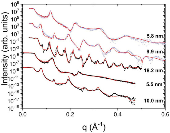
3.3. Heat Transfer in Sputtered Molybdenum Silicon Multilayers
4. Conclusions and Outlook
Author Contributions
Funding
Acknowledgments
Conflicts of Interest
Abbreviations
| TDTR | Time-Domain Thermal Reflection |
| TDXTS | Time-domain X-ray Thermal Scattering |
| XRD | X-ray Diffraction |
| XRR | X-ray Reflectivity |
| ML | Multilayer |
| d | critical thickness for crystallization |
| TIR | thermal interface resistance |
| (effective) thermal conductivity | |
| linear thermal expansion coefficient | |
| Poisson ratio | |
| CVD | chemical vapor deposition |
| MBE | molecular beam epitaxy |
| NE-MD | non-equilibrium molecular dynamics simulations |
References
- Hicks, L.D.; Dresselhaus, M.S. Effect of quantum-well structures on the thermoelectric figure of merit. Phys. Rev. B 1993, 47, 12727. [Google Scholar] [CrossRef]
- Snyder, G.J.; Toberer, E.S. Complex thermoelectric materials. Nat. Mater. 2008, 7, 105–114. [Google Scholar] [CrossRef] [PubMed]
- Venkatasubramanian, R. Lattice thermal conductivity reduction and phonon localizationlike behavior in superlattice structures. Phys. Rev. B 2000, 61, 3091. [Google Scholar] [CrossRef]
- Luckyanova, M.N.; Garg, J.; Esfarjani, K.; Jandl, A.; Bulsara, M.T.; Aaron, J.; Schmidt, A.J.M.; Chen, S.; Dresselhaus, M.S.; Ren, Z.; et al. Coherent Phonon Heat Conduction in Superlattices. Science 2012, 338, 936–939. [Google Scholar] [CrossRef] [PubMed]
- Mukherjee, S.; Givan, U.; Senz, S.; Bergeron, A.; Francoeur, S.; de la Mata, M.; Arbiol, J.; Sekiguchi, T.; Itoh, K.M.; Isheim, D.; et al. Phonon Engineering in Isotopically Disordered Silicon Nanowires. Nano Lett. 2015, 15, 3885–3893. [Google Scholar] [CrossRef] [PubMed]
- Asen-Palmer, M.; Bartkowski, K.; Gmelin, E.; Cardona, M.; Zhernov, A.V.; Inyushkin, A.T.; Ozhogin, V.I.; Itoh, K.M.; Haller, E.E. Thermal conductivity of germanium crystals with different isotopic compositions. Phys. Rev. B 1997, 56, 9431. [Google Scholar] [CrossRef]
- Cahill, D.G.; Watanabe, F. Thermal conductivity of isotopically pure and Ge-doped Si epitaxial layers from 300 to 550 K. Phys. Rev. B 2004, 70, 235322. [Google Scholar] [CrossRef]
- Cheaito, R.; Duda, J.C.; Beechem, T.E.; Hattar, K.; Ihlefeld, J.F.; Medlin, D.L.; Rodriguez, M.A.; Piekos, M.J.; Hopkins, P.E. Experimental investigation of size effects on the thermal Conductivity of Silicon-Germanium alloy thin films. Phys. Rev. Lett. 2012, 109, 195901. [Google Scholar] [CrossRef]
- Gross, P.; Ramakrishna, V.; Vilallonga, E.; Rabitz, H.; Littman, M.; Lyon, S.A.; Shayegan, M. Optimally designed potentials for control of electron-wave scattering in semiconductor nanodevices. Phys. Rev. B 1994, 49, 11100. [Google Scholar] [CrossRef]
- Bargheer, M.; Zhavoronkov, N.; Gritsai, Y.; Woo, J.C.; Kim, D.S.; Woerner, M.; Elsaesser, T. Coherent Atomic Motions in a Nanostructure Studied by Femtosecond X-ray Diffraction. Science 2004, 306, 1771–1773. [Google Scholar] [CrossRef]
- Sondhauss, P.; Larsson, J.; Harbst, M.; Naylor, G.A.; Plech, A.; Scheidt, K.; Synnergren, O.; Wulff, M.; Wark, J.S. Picosecond X-Ray Studies of Coherent Folded Acoustic Phonons in a Multiple Quantum Well. Phys. Rev. Lett. 2005, 94, 125509. [Google Scholar] [CrossRef] [PubMed]
- Tamura, S.; Tanaka, Y.; Maris, H.J. Phonon group velocity and thermal conduction in superlattices. Phys. Rev. B 1999, 60, 2627. [Google Scholar] [CrossRef]
- Ezzahri, Y.; Grauby, S.; Rampnoux, J.; Michel, H.; Pernot, G.; Claeys, W.; Dilhaire, S.; Rossignol, C.; Zeng, G.; Shakouri, A. Coherent phonons in Si/SiGe superlattices. Phys. Rev. B 2007, 75, 195309. [Google Scholar] [CrossRef]
- Bastian, G.; Vogelsang, A.; Schiffmann, C. Isotopic Superlattices for Perfect Phonon Reflection. J. Electron. Mater. 2010, 39, 1769–1771. [Google Scholar] [CrossRef]
- Garg, J.; Bonini, N.; Marzari, N. High Thermal Conductivity in Short-Period Superlattices. Nano Lett. 2011, 11, 5135–5141. [Google Scholar] [CrossRef] [PubMed]
- Ravichandran, J.; Yadav, A.K.; Cheaito, R.; Rossen, P.B.; Soukiassian, A.; Suresha, S.J.; Duda, J.C.; Foley, B.M.; Lee, C.H.; Zhu, Y.; et al. Crossover from incoherent to coherent phonon scattering in epitaxial oxide superlattices. Nat. Mater. 2014, 13, 168–172. [Google Scholar] [CrossRef]
- Spitzer, J.; Ruf, T.; Cardona, M.; Dondl, W.; Schorer, R.; Abstreiter, G.; Haller, E.E. Raman scattering by optical phonons in isotopic 70(Ge)n 74(Ge)n superlattices. Phys. Rev. Lett. 1994, 72, 1565–1568. [Google Scholar] [CrossRef]
- Cahill, D.G.; Fischer, H.E.; Klitsner, T.; Swartz, E.T.; Pohl, R.O. Thermal conductivity of thin films: Measurements and understanding. J. Vac. Sci. Technol. A 1989, 7, 1259–1266. [Google Scholar] [CrossRef]
- Cahill, D.G.; Ford, W.K.; Goodson, K.E.; Mahan, G.D.; Majumdar, A.; Maris, H.J.; Merlin, R.; Phillpot, S.R. Nanoscale thermal transport. J. Appl. Phys. 2003, 93, 793–818. [Google Scholar] [CrossRef]
- Cahill, D.G. Analysis of heat flow in layered structures for time-domain thermoreflectance. Rev. Sci. Instrum. 2004, 75, 5119–5123. [Google Scholar] [CrossRef]
- Hu, M.; Hartland, G.V. Heat Dissipation for Au Particles in Aqueous Solution: Relaxation Time versus Size. J. Phys. Chem. B 2002, 106, 7029–7033. [Google Scholar] [CrossRef]
- Plech, A.; Wulff, M.; Kuerbitz, S.; Berg, K.J.; Berg, G.; Graener, H.; Grésillon, S.; Kaempfe, M.; Feldmann, J.; von Plessen, G. Time-resolved X-ray diffraction on laser excited metal nanoparticles. Europhys. Lett. 2003, 61, 762. [Google Scholar] [CrossRef]
- Plech, A.; Kotaidis, V.; Grésillon, S.; Dahmen, C.; von Plessen, G. Laser-Induced heating and melting of gold nanoparticles studied by time-resolved x-ray scattering. Phys. Rev. B 2004, 70, 195423. [Google Scholar] [CrossRef]
- Shayduk, R.; Navirian, H.; Leitenberger, W.; Goldshteyn, J.; Vrejoiu, I.; Weinelt, M.; Gaal, P.; Herzog, M.; von Korff Schmising, C.; Bargheer, M. Nanoscale heat transport studied by high-resolution time-resolved x-ray diffraction. New J. Phys. 2011, 13, 093032. [Google Scholar] [CrossRef]
- Bracht, H.; Wehmeier, N.; Eon, S.; Plech, A.; Issenmann, D.; Lundsgaard Hansen, J.; Nylandsted Larsen, A.; Ager, J., III; Haller, E. Reduced thermal conductivity of isotopically modulated silicon multilayer structures. Appl. Phys. Lett. 2012, 101, 064103. [Google Scholar] [CrossRef]
- Harb, M.; von Korff Schmising, C.; Enquist, H.; Jurgilaitis, A.; Maximov, I.; Shvets, P.V.; Obraztsov, A.N.; Khakhulin, D.; Wulff, M.; Larsson, J. The c-axis thermal conductivity of graphite film of nanometer thickness measured by time resolved X-ray diffraction. Appl. Phys. Lett. 2012, 101, 233108. [Google Scholar] [CrossRef]
- Shayduk, R.; Vonk, V.; Arndt, B.; Franz, D.; Strempfer, J.; Francoual, S.; Keller, T.F.; Spitzbart, T.; Stierle, A. Nanosecond laser pulse heating of a platinum surface studied by pump-probe X-ray diffraction. Appl. Phys. Lett. 2016, 109, 043107. [Google Scholar] [CrossRef]
- Bojahr, A.; Herzog, M.; Mitzscherling, S.; Maerten, L.; Schick, D.; Goldshteyn, J.; Leitenberger, W.; Shayduk, R.; Gaal, P.; Bargheer, M. Brillouin scattering of visible and hard X-ray photons from optically synthesized phonon wavepackets. Opt. Express 2013, 21, 21188–21197. [Google Scholar] [CrossRef]
- Issenmann, D.; Eon, S.; Bracht, H.; Hettich, M.; Dekorsy, T.; Buth, G.; Steininger, R.; Baumbach, T.; Lundsgaard Hansen, J.; Nylandsted Larsen, A.; et al. Ultrafast study of phonon transport in isotopically controlled semiconductor nanostructures. Phys. Status Solidi 2016, 213, 3020–3028. [Google Scholar] [CrossRef]
- Bracht, H.; Eon, S.; Frieling, R.; Plech, A.; Issenmann, D.; Wolf, D.; Lundsgaard Hansen, J.; Nylandsted Larsen, A.; Ager, J., III; Haller, E.E. Thermal conductivity of isotopically controlled silicon nanostructures. New J. Phys. 2014, 16, 015021. [Google Scholar] [CrossRef]
- Bozorg-Grayeli, E.; Li, Z.; Asheghi, M.; Delgado, G.; Pokrovsky, A.; Panzer, M.; Wack, D.; Goodson, K.E. Thermal conduction properties of Mo/Si multilayers for extreme ultraviolet optics. J. Appl. Phys. 2012, 112, 083504. [Google Scholar] [CrossRef]
- Krause, B.; Abadias, G.; Michel, A.; Wochner, P.; Ibrahimkutty, S.; Baumbach, T. Direct Observation of the Thickness-Induced Crystallization and Stress Build-Up during Sputter-Deposition of Nanoscale Silicide Films. ACS Appl. Mater. Interfaces 2016, 8, 34888–34895. [Google Scholar] [CrossRef] [PubMed]
- Voorma, H.; Louis, E.; Koster, N.B.; Bijkerk, F. Temperature induced diffusion in Mo/Si multilayer mirrors. J. Appl. Phys. 1998, 83, 4700–4708. [Google Scholar] [CrossRef]
- Bjorck, M.; Andersson, G. GenX: an extensible X-ray reflectivity refinement program utilizing differential evolution. J. Appl. Cryst. 2007, 40, 1174–1178. [Google Scholar] [CrossRef]
- Krenzer, B.; Janzen, A.; Zhou, P.; von der Linde, D.; von Hoegen, M.H. Thermal boundary conductance in heterostructures studied by ultrafast electron diffraction. New J. Phys. 2006, 8, 190. [Google Scholar] [CrossRef]
- Nicoul, M.; Shymanovich, U.; Tarasevitch, A.; von der Linde, D.; Sokolowski-Tinten, K. Picosecond acoustic response of a laser-heated gold-film studied with time-resolved x-ray diffraction. Appl. Phys. Lett. 2011, 98, 191902. [Google Scholar] [CrossRef]
- Cammarata, M.; Eybert, L.; Ewald, F.; Reichenbach, W.; Wulff, M.; Anfinrud, P.; Schotte, F.; Plech, A.; Kong, Q.; Lorenc, M.; et al. Optimized shutter train operation for high brightness synchrotron pump-probe experiment. Rev. Sci. Instrum. 2009, 80, 15101. [Google Scholar] [CrossRef]
- Herzog, M.; Schick, D.; Gaal, P.; Shayduk, R.; Korff Schmising, C.; Bargheer, M. Analysis of ultrafast X-ray diffraction data in a linear-chain model of the lattice dynamics. Appl. Phys. A 2012, 106, 489–499. [Google Scholar] [CrossRef]
- Pudell, J.; Maznev, A.A.; Herzog, M.; Kronseder, M.; Back, C.H.; Malinowski, G.; von Reppert, A.; Bargheer, M. Layer specific observation of slow thermal equilibration in ultrathin metallic nanostructures by femtosecond X-ray diffraction. Nat. Commun. 2018, 9, 3335. [Google Scholar] [CrossRef]
- Plech, A.; Grésillon, S.; von Plessen, G.; Scheidt, K.; Naylor, G. Structural kinetics of laser-excited metal nanoparticles supported on a surface. Chem. Phys. 2004, 299, 183–191. [Google Scholar] [CrossRef]
- Issenmann, D.; Eon, S.; Wehmeier, N.; Bracht, H.; Buth, G.; Ibrahimkutty, S.; Plech, A. Determination of nanoscale heat conductivity by time-resolved X-ray scattering. Thin Solid Films 2013, 541, 28–31. [Google Scholar] [CrossRef]
- Hohlfeld, J.; Wellershoff, S.S.; Gudde, J.; Conrad, U.; Jahnke, V.; Matthias, E. Electron and lattice dynamics following optical excitation of metals. Chem. Phys. 2000, 251, 237–258. [Google Scholar] [CrossRef]
- Eon, S.; Bracht, H.; Plech, A.; Lundsgaard Hansen, J.; Nylandsted Larsen, A.; Ager, J.W., III; Haller, E.E. Pump and probe measurements of thermal conductivity of isotopically controlled silicon nanostructures. Phys. Status Solidi 2016, 213, 541. [Google Scholar] [CrossRef]
- Plech, A.; Randler, R.; Geis, A.; Wulff, M. Diffuse scattering from liquid solutions with white beam undulator radiation for photoexcitation studies. J. Synchrotron Radiat. 2002, 9, 287–292. [Google Scholar] [CrossRef]
- Reich, S.; Letzel, A.; Menzel, A.; Kretzschmar, N.; Gökce, B.; Barcikowski, S.; Plech, A. Early appearance of crystalline nanoparticles in pulsed laser ablation in liquids dynamics. Nanoscale 2019, 11. [Google Scholar] [CrossRef]
- Wilson, O.M.; Hu, X.; Cahill, D.G.; Braun, P.V. Colloidal metal particles as probes of nanoscale thermal transport in fluids. Phys. Rev. B 2002, 66, 224301. [Google Scholar] [CrossRef]
- Ezzahri, Y.; Grauby, S.; Dilhaire, S.; Rampnoux, J.M.; Claeys, W.; Zhang, Y.; Shakouri, A. Determination of thermophysical properties of Si/SiGe superlattices with a pump-probe technique. In Proceedings of the International Workshop on Thermal Investigation of ICs and Systems, Belgirate, Italy, 27–30 September 2005. [Google Scholar]
- Chen, G.; Hui, P. Pulsed photothermal modeling of composite samples based on transmission-line theory of heat conduction. Thin Solid Films 1999, 339, 58–67. [Google Scholar] [CrossRef]
- Huang, Z.X.; Tang, Z.A.; Yu, J.; Bai, S. Thermal conductivity of nanoscale polycrystalline ZnO thin films. Physica B 2011, 406, 818–823. [Google Scholar] [CrossRef]
- Ciesa, F.; Plech, A. Gold nanoparticle membranes as large-area surface monolayers. J. Colloid Interface Sci. 2010, 346, 1–7. [Google Scholar] [CrossRef] [PubMed]
- Touloukian, Y.S.; Kirby, R.K.; Taylor, R.E.; Desai, P.D. Thermal Expansion—Metallic Elements and Alloys; IFI Plenum: New York, NY, USA, 1975; Volume 12. [Google Scholar]
- Suh, I.K.; Ohta, H.; Waseda, Y. High-temparature thermal expansion of six metallic elements measured by dilatation method and X-ray diffraction. J. Mater. Sci. 1988, 23, 757–760. [Google Scholar] [CrossRef]
- Kotaidis, V.; Dekorsy, T.; Ibrahimkutty, S.; Issenmann, D.; Khakhulin, D.; Plech, A. Vibrational symmetry breaking of supported nanospheres. Phys. Rev. B 2012, 86, 100101. [Google Scholar] [CrossRef]
- Zoo, Y.; Adams, D.; Mayer, J.; Alford, T. Investigation of coefficient of thermal expansion of silver thin film on different substrates using X-ray diffraction. Thin Solid Films 2006, 513, 170–174. [Google Scholar] [CrossRef]
- Burzo, M.G.; Komarov, P.L.; Raad, P.E. Thermal Transport Properties of Gold-Covered Thin-Film Silicon Dioxide. IEEE Trans. Compon. Packag. Technol. 2003, 26, 80–88. [Google Scholar] [CrossRef]
- Abadias, G.; Chason, E.; Keckes, J.; Sebastiani, M.; Thompson, G.B.; Barthel, E.; Doll, G.L.; Murray, C.E.; Stoessel, C.H.; Martinu, L. Review Article: Stress in thin films and coatings: Current status, challenges, and prospects featured. J. Vac. Soc. Technol. A 2018, 36, 020801. [Google Scholar] [CrossRef]
- Thomsen, C.; Grahn, H.T.; Maris, H.J.; Tauc, J. Surface generation and detection of phonons by picosecond light pulses. Phys. Rev. B 1986, 34, 4129. [Google Scholar] [CrossRef]
- Schmidt, A.J.; Chen, X.; Chen, G. Pulse accumulation, radial heat conduction, and anisotropic thermal conductivity in pump-probe transient thermoreflectance. Rev. Sci. Instrum. 2008, 79, 114902. [Google Scholar] [CrossRef] [PubMed]
- Frieling, R.; Radek, M.; Eon, S.; Bracht, H.; Wolf, D.E. Phonon coherence in isotopic silicon superlattices. Appl. Phys. Lett. 2014, 105, 132104. [Google Scholar] [CrossRef]
- Frieling, R.; Wolf, D.E.; Bracht, H. Molecular dynamics simulations of thermal transport in isotopically modulated semiconductor nanostructures. Phys. Status Solidi A 2016, 213, 549–556. [Google Scholar] [CrossRef]
- Li, Z.; Tan, S.; Bozorg-Grayeli, E.; Kodama, T.; Asheghi, M.; Delgado, G.; Panzer, M.; Pokrovsky, A.; Wack, D.; Goodson, K.E. Phonon Dominated Heat Conduction Normal to Mo/Si Multilayers with Period below 10 nm. Nano Lett. 2012, 12, 3121–3126. [Google Scholar] [CrossRef] [PubMed]
- Lee, S.M.; Cahill, D.G.; Venkatasubramanian, R. Thermal conductivity of Si-Ge superlattices. Appl. Phys. Lett. 1997, 70, 2957. [Google Scholar] [CrossRef]
- Simkin, M.V.; Mahan, G.D. Minimum Thermal Conductivity of Superlattices. Phys. Rev. Lett. 2000, 84, 927–930. [Google Scholar] [CrossRef] [PubMed]
- Chen, Y.; Li, D.; Lukes, J.R.; Ni, Z.; Chen, M. Minimum superlattice thermal conductivit y from molecular dynamics. Phys. Rev. B 2005, 72, 174302. [Google Scholar] [CrossRef]
- Baron, A.Q.R.; Ruby, S.L. Time resolved detection of X-rays using large area avalanche photodiodes. Nucl. Instrum. Method A 1994, 343, 517–526. [Google Scholar] [CrossRef]
- Ibrahimkutty, S.; Issenmann, D.; Schleef, S.; Müller, A.S.; Mathis, Y.L.; Gasharova, B.; Huttel, E.; Steininger, R.; Göttlicher, J.; Baumbach, T.; et al. Asynchronous sampling for ultrafast experiments with low momentum compaction at the ANKA ring. J. Synchrotron Radiat. 2011, 18, 539–545. [Google Scholar] [CrossRef]
- Issenmann, D.; Schleef, S.; Ibrahimkutty, S.; Buth, G.; Baumbach, T.; Beyer, M.; Demsar, J.; Plech, A. Lattice Dynamics of Laser Excited Ferroelectric BaTiO3. Acta Phys. Pol. A 2012, 121, 319–323. [Google Scholar] [CrossRef]
- Schick, D.; von Korff Schmising, C.; Bojahr, A.; Kiel, M.; Gaal, P.; Bargheer, M. Time-Resolved X-Ray Scattering. Proc. SPIE 2011, 7937, 793715. [Google Scholar]







| Sample | Period | TIR (m·K/W) | (W/(m·K)) |
|---|---|---|---|
| nat-Si | – | 4.5 × 10 | 130 |
| 28-Si/29-Si | 20 nm | 4.5 × 10 | (81 ± 10) |
| 28-Si/29-Si | alloy | 4.5 × 10 | (79 ± 10) |
| 28-Si/30-Si | 19.4 nm | 4.5 × 10 | (61 ± 10) |
| 28-Si/30-Si | alloy | 4.5 × 10 | (51 ± 8) |
| 100 nm Mo | – | 2.5 × 10 | (80 ± 20) |
| Mo/Si | 5.5 nm | 2 × 10 | (1.35 ± 0.2) |
| Mo/Si | 10 nm | 2 × 10 | (0.9 ± 0.15) |
| Mo/Si | 18.2 nm | 2.2 × 10 | (0.75 ± 0.15) |
| (SiMo)/Si | 5.8 nm | 2 × 10 | (1.1 ± 0.2) |
| (SiMo)/Si | 9.9 nm | 2 × 10 | (0.95 ± 0.2) |
© 2019 by the authors. Licensee MDPI, Basel, Switzerland. This article is an open access article distributed under the terms and conditions of the Creative Commons Attribution (CC BY) license (http://creativecommons.org/licenses/by/4.0/).
Share and Cite
Plech, A.; Krause, B.; Baumbach, T.; Zakharova, M.; Eon, S.; Girmen, C.; Buth, G.; Bracht, H. Structural and Thermal Characterisation of Nanofilms by Time-Resolved X-ray Scattering. Nanomaterials 2019, 9, 501. https://doi.org/10.3390/nano9040501
Plech A, Krause B, Baumbach T, Zakharova M, Eon S, Girmen C, Buth G, Bracht H. Structural and Thermal Characterisation of Nanofilms by Time-Resolved X-ray Scattering. Nanomaterials. 2019; 9(4):501. https://doi.org/10.3390/nano9040501
Chicago/Turabian StylePlech, Anton, Bärbel Krause, Tilo Baumbach, Margarita Zakharova, Soizic Eon, Caroline Girmen, Gernot Buth, and Hartmut Bracht. 2019. "Structural and Thermal Characterisation of Nanofilms by Time-Resolved X-ray Scattering" Nanomaterials 9, no. 4: 501. https://doi.org/10.3390/nano9040501
APA StylePlech, A., Krause, B., Baumbach, T., Zakharova, M., Eon, S., Girmen, C., Buth, G., & Bracht, H. (2019). Structural and Thermal Characterisation of Nanofilms by Time-Resolved X-ray Scattering. Nanomaterials, 9(4), 501. https://doi.org/10.3390/nano9040501

