Electrodeposition–Assisted Assembled Multilayer Films of Gold Nanoparticles and Glucose Oxidase onto Polypyrrole-Reduced Graphene Oxide Matrix and Their Electrocatalytic Activity toward Glucose
Abstract
:1. Introduction
2. Materials and Methods
2.1. Chemicals
2.2. Apparatus and Measurements
2.3. Configuration of the Amperometric Glucose Biosensor
3. Results and Discussion
3.1. Glucose Biosensor Based on Polypyrrole, Reduced Graphene Oxide, Nanogold and Glucose Oxidase
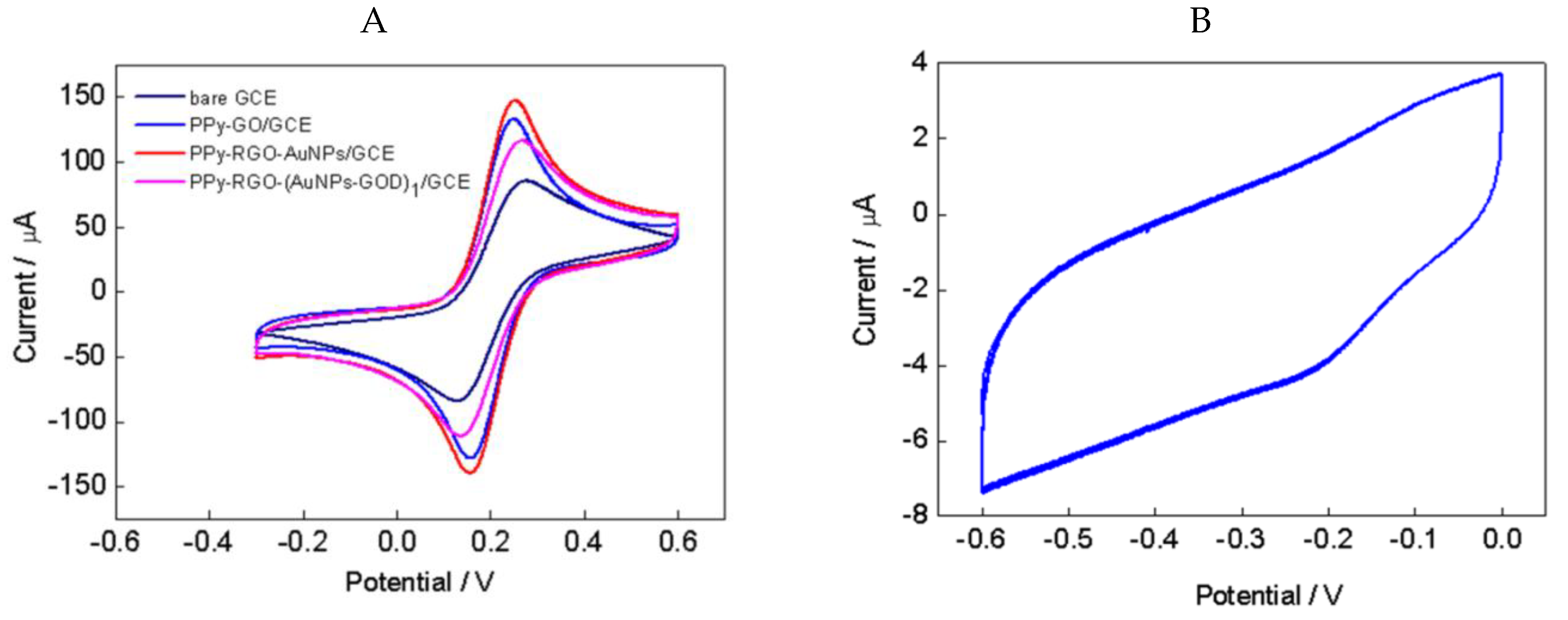
3.2. The Electrochemical Properties of PPy-RGO-AuNPs Nanocomposite
3.3. Electrochemical Performance of PPy-RGO-(AuNPs-GOD)n/GCE Electrode
4. Conclusions
Author Contributions
Funding
Conflicts of Interest
References
- Liu, P.; Zhang, M.; Xie, S.L.; Wang, S.S.; Cheng, W.X.; Cheng, F.L. Non-enzymatic glucose biosensor based on palladium-copper oxide nanocomposites synthesized via galvanic replacement reaction. Sens. Actuators B 2017, 253, 552–558. [Google Scholar] [CrossRef]
 - Yu, J.; Ni, Y.H.; Zhai, M.H. Highly selective non-enzyme glucose detection based on Co-CoO-Co3O4 nanocomposites prepared via a solution-combustion and subsequent heat-treating route. J. Alloy. Compd. 2017, 723, 904–911. [Google Scholar] [CrossRef]
 - Gangola, M.P.; Jaiswal, S.; Khedikar, Y.P.; Chibbar, R.N. A reliable and rapid method for soluble sugars and RFO analysis in chickpea using HPAEC–PAD and its comparison with HPLC–RI. Food Chem. 2014, 154, 127–133. [Google Scholar] [CrossRef] [PubMed]
 - Ma, J.; Hou, X.F.; Zhang, B.; Wang, Y.; He, L. The analysis of carbohydrates in milk powder by a new“heart-cutting” two-dimensional liquid chromatography method. J. Pharm. Biomed. 2014, 91, 24–31. [Google Scholar] [CrossRef]
 - Jabariyan, S.; Zanjanchi, M.A.; Arvand, M.; Sohrabnezhad, S. Colorimetric detection of glucose using lanthanum-incorporated MCM-41. Spectrochim. Acta A 2018, 203, 294–300. [Google Scholar] [CrossRef] [PubMed]
 - Gao, Y.; Wu, Y.T.; Di, J.W. Colorimetric detection of glucose based on gold nanoparticles coupled with silver nanoparticles. Spectrochim. Acta A 2017, 173, 207–212. [Google Scholar] [CrossRef]
 - Cho, S.J.; Noh, H.B.; Won, M.S.; Cho, C.H.; Kim, K.B.; Shim, Y.B. A selective glucose sensor based on direct oxidation on a bimetal catalyst with a molecular imprinted polymer. Biosens. Bioelectron. 2018, 99, 471–478. [Google Scholar] [CrossRef]
 - Han, B.k.; Pan, M.X.; Zhou, J.X.; Wang, Y.Y.; Wang, Z.H.; Jiao, J.; Zhang, C.; Chen, Q. Facile synthesis of β-Lactoglobulin-functionalized reduced graphene oxide and trimetallic PtAuPd nanocomposite for electrochemical sensing. Nanomaterials 2018, 8, 724. [Google Scholar] [CrossRef]
 - Galant, A.L.; Kaufman, R.C.; Wilson, J.D. Glucose: Detection and analysis. Food Chem. 2015, 188, 149–160. [Google Scholar] [CrossRef]
 - Wang, L.Y.; Peng, C.W.; Yang, H.; Miao, L.F.; Xu, L.J.; Wang, L.; Song, Y.H. Ni@carbon nanocomposites/macroporous carbon for glucose sensor. J. Mater. Sci. 2019, 54, 1654–1664. [Google Scholar] [CrossRef]
 - Wu, B.Y.; Hou, S.H.; Yin, F.; Zhao, Z.X.; Wang, Y.Y.; Wang, X.S.; Chen, Q. Amperometric glucose biosensor based on multilayer films via layer-by-layer self-assembly of multi-wall carbon nanotubes, gold nanoparticles and glucose oxidase on the Pt electrode. Biosens. Bioelectron. 2007, 22, 2854–2860. [Google Scholar] [CrossRef] [PubMed]
 - Pakapongpan, S.; Poo-arporn, R.P. Self-assembly of glucose oxidase on reduced graphene oxide-magnetic nanoparticles nanocomposite-based direct electrochemistry for reagentless glucose biosensor. Mater. Sci. Eng. C Mater. 2017, 76, 398–405. [Google Scholar] [CrossRef] [PubMed]
 - Kallenberg, A.I.; van Rantwijk, F.; Sheldon, R.A. Immobilization of penicillin G acylase: The key to optimum performance. Adv. Synth. Catal. 2005, 347, 905–926. [Google Scholar] [CrossRef]
 - Shahdost-fard, F.; Roushani, M. Impedimetric detection of trinitrotoluene by using a glassy carbon electrode modified with a gold nanoparticle@fullerene composite and an aptamer-imprinted polydopamine. Microchim. Acta 2017, 184, 3997–4006. [Google Scholar] [CrossRef]
 - Hou, S.H.; Ou, Z.M.; Chen, Q.; Wu, B.Y. Amperometric acetylcholine biosensor based on self-assembly of gold nanoparticles and acetylcholinesterase on the sol-gel/multi-walled carbon nanotubes/choline oxidase composite-modified platinum electrode. Biosens. Bioelectron. 2012, 33, 44–49. [Google Scholar] [CrossRef] [PubMed]
 - Eksin, E.; Zor, E.; Erdem, A.; Bingol, H. Electrochemical monitoring of biointeraction by graphene-based material modified pencil graphite electrode. Biosens. Bioelectron. 2017, 92, 207–214. [Google Scholar] [CrossRef] [PubMed]
 - Şenel, M. Simple method for preparing glucose biosensor based on in-situ polypyrrole cross-linked chitosan/glucose oxidase/gold bionanocomposite film. Mater. Sci. Eng. C Mater. 2015, 48, 287–293. [Google Scholar] [CrossRef]
 - Shrivastava, S.; Jadon, N.; Jain, R. Next-generation polymer nanocomposite-based electrochemical sensors and biosensors: A review. TrAC Trends Anal. Chem. 2016, 82, 55–67. [Google Scholar] [CrossRef]
 - Wang, Y.D.; Qing, X.; Zhou, Q.; Zhang, Y.; Liu, Q.Z.; Liu, K.; Wang, W.W.; Li, M.F.; Lu, Z.T.; Chen, Y.L.; et al. The woven fiber organic electrochemical transistors based on polypyrrole nanowires/reduced graphene oxide composites for glucose sensing. Biosens. Bioelectron. 2017, 95, 138–145. [Google Scholar] [CrossRef]
 - Xue, K.; Xue, S.; Shi, H.; Feng, X.; Xin, H.; Song, W. A novel amperometric glucose biosensor based on ternary gold nanoparticles/polypyrrole/reduced graphene oxide nanocomposit. Sens. Actuators B Chem. 2014, 203, 412–416. [Google Scholar] [CrossRef]
 - Wang, X.L.; Zhang, X.L. Electrochemical co-reduction synthesis of graphene/nano-gold composites and its application to electrochemical glucose biosensor. Electrochim. Acta 2013, 112, 774–782. [Google Scholar] [CrossRef]
 - Guo, H.; Wang, X.; Qian, Q.; Wang, F.; Xia, X. A green approach to the synthesis of graphene nanosheets. ACS Nano 2009, 3, 2653–2659. [Google Scholar] [CrossRef] [PubMed]
 - Zhang, S.; Zheng, J.B. Synthesis of single-crystal α-MnO2 nanotubes-loaded Ag@C core–shell matrix and their application for electrochemical sensing of nonenzymatic hydrogen peroxide. Talanta 2016, 159, 231–237. [Google Scholar] [CrossRef] [PubMed]
 - Wu, B.Y.; Zhao, N.; Hou, S.H.; Zhang, C. Electrochemical synthesis of polypyrrole, reduced graphene oxide, and gold nanoparticles composite and its application to hydrogen peroxide biosensor. Nanomaterials 2016, 6, 220. [Google Scholar] [CrossRef] [PubMed]
 - Liu, C.B.; Wang, K.; Luo, S.L.; Tang, Y.H.; Chen, L.Y. Direct electrodeposition of graphene enabling the one-step synthesis of graphene–metal nanocomposite films. Small 2011, 7, 1203–1206. [Google Scholar] [CrossRef]
 - Márquez, A.; Jiménez-Jorquera, C.; Domínguez, C.; Muñoz-Berbel, X. Electrodepositable alginate membranes for enzymatic sensors: An amperometric glucose biosensor for whole blood analysis. Biosens. Bioelectron. 2017, 97, 136–142. [Google Scholar] [CrossRef] [PubMed]
 - Wang, Y.T.; Yu, L.; Zhu, Z.Q.; Zhang, J.; Zhu, J.Z.; Fan, C.H. Improved enzyme immobilization for enhanced bioelectrocatalytic activity of glucose sensor. Sens. Actuators B Chem. 2009, 136, 332–337. [Google Scholar] [CrossRef]
 - Mai, Y.Y.; Eisenberg, A. Self-assembly of block copolymers. Chem. Soc. Rev. 2012, 41, 5969–5985. [Google Scholar] [CrossRef]
 - Yu, G.C.; Jie, K.C.; Huang, F. Supramolecular amphiphiles based on Host−Guest molecular recognition motifs. Chem. Rev. 2015, 115, 7240–7303. [Google Scholar] [CrossRef]
 - Jayakumar, K.; Camarada, M.B.; Dharuman, V.; Ju, H.X.; Dey, R.S.; Wen, Y.P. One-step coelectrodeposition-assisted layer-by-layer assembly of gold nanoparticles and reduced graphene oxide and its self-healing three-dimensional nanohybrid for an ultrasensitive DNA sensor. Nanoscale 2018, 10, 2658. [Google Scholar] [CrossRef]
 - Sun, H.C.; Luo, Q.; Hou, C.X.; Liu, J.Q. Nanostructures based on protein self-assembly: From hierarchical construction to bioinspired materials. Nano Today 2017, 14, 16–41. [Google Scholar] [CrossRef]
 - Zhang, X.; Chen, H.; Zhang, H. Layer-by-layer assembly: From conventional to unconventional methods. Chem. Commun. 2007, 14, 1395–1405. [Google Scholar] [CrossRef] [PubMed]
 - Richardson, J.J.; Björnmalm, M.; Caruso, F. Technology-driven layer-by-layer assembly of nanofilms. Science 2015, 348, aaa2491. [Google Scholar] [CrossRef] [PubMed]
 - Xue, C.M.; Kung, C.C.; Gao, M.; Liu, C.C.; Dai, L.M.; Urbas, A.; Li, Q. Facile fabrication of 3D layer-by-layer graphene-gold nanorod hybrid architecture for hydrogen peroxide based electrochemical biosensor. Sens. Bio-Sens. Res. 2015, 3, 7–11. [Google Scholar] [CrossRef]
 - Dhawan, S.; Sadanandan, S.; Haridas, V.; Voelckerb, N.H.; Prieto-Simónc, B. Novel peptidylated surfaces for interference-free electrochemical detection of cardiac troponin I. Biosens. Bioelectron. 2018, 99, 486–492. [Google Scholar] [CrossRef] [PubMed]
 - Si, P.; Kannan, P.; Guo, L.; Son, H.; Kim, D.H. Highly stable and sensitive glucose biosensor based on covalently assembled high density Au nanostructures. Biosens. Bioelectron. 2011, 26, 3845–3851. [Google Scholar] [CrossRef] [PubMed]
 - Fusco, G.; Göbel, G.; Zanoni, R.; Kornejew, E.; Favero, G.; Mazzei, F.; Lisdat, F. Polymer-supported electron transfer of PQQ-dependent glucose dehydrogenase at carbon nanotubes modified by electropolymerized polythiophene copolymers. Electrochim. Acta 2017, 248, 64–74. [Google Scholar] [CrossRef]
 - Krishnan, S.K.; Prokhorov, E.; Bahena, D.; Esparza, R.; Meyyappan, M. Chitosan-covered Pd@Pt core−shell nanocubes for direct electron transfer in electrochemical enzymatic glucose biosensor. ACS Omega 2017, 2, 1896–1904. [Google Scholar] [CrossRef]
 - Astratine, L.; Magner, E.; Cassidy, J.; Betts, A. Electrodeposition and characterisation of copolymers based on pyrrole and 3,4-ethylenedioxythiophene in BMIM BF4 usinga microcell configuration. Electrochim. Acta 2014, 115, 440–448. [Google Scholar] [CrossRef]
 - Nowicka, M.; Fau, M.; Rapecki, T.; Donten1, M. Polypyrrole-Au nanoparticles composite as suitable platform for DNA biosensor with electrochemical impedance spectroscopy detection. Electrochimica Acta 2014, 140, 65–71. [Google Scholar] [CrossRef]
 - Nia, P.; Meng, W.; Lorestani, F.; Mahmoudian, M.; Alias, Y. Electrodeposition of copper oxide/polypyrrole /reduced graphene oxide as a nonenzymatic glucose biosensor. Sens. Actuators B Chem. 2015, 209, 100–108. [Google Scholar] [CrossRef]
 - Ball, V.; Jun Toh, R.; Voelcker, N.H.; Thissen, H.; Evans, R.A. Electrochemical deposition of aminomalonitrile based films. Colloids Surf. A 2018, 552, 124–129. [Google Scholar] [CrossRef]
 - German, N.; Ramanavicius, A.; Ramanaviciene, A. Amperometric glucose biosensor based on electrochemically deposited gold nanoparticles covered by polypyrrole. Electroanalysis 2017, 29, 1267–1277. [Google Scholar] [CrossRef]
 - Wu, B.Y.; Hou, S.H.; Miao, Z.Y.; Zhang, C.; Ji, Y.H. Layer-by-layer self-assembling gold nanorods and glucose oxidase onto carbon nanotubes functionalized sol-gel matrix for an amperometric glucose biosensor. Nanomaterials 2015, 5, 1544–1555. [Google Scholar] [CrossRef] [PubMed]
 - Zhao, Y.; Li, W.B.; Pan, L.J.; Zhai, D.Y.; Wang, Y.; Li, L.L.; Cheng, W.; Yin, W.; Wang, X.R.; Xu, J.B.; et al. ZnO-nanorods/graphene heterostructure: A direct electron transfer glucose biosensor. Sci. Rep. 2016, 6, 32327. [Google Scholar] [CrossRef] [PubMed]
 - Chi, Q.; Zhang, J.; Dong, S.J.; Wang, E. Direct electrochemistry and surface characterization of glucose oxidase adsorbed on anodized carbon electrodes. Electrochim. Acta 1994, 39, 2431–2436. [Google Scholar] [CrossRef]
 - Seehuber, A.; Dahint, R. Conformation and activity of glucose oxidase on homogeneously coated and nanostructured surfaces. J. Phys. Chem. B 2013, 117, 6980–6989. [Google Scholar] [CrossRef]
 - Wooten, M.; Karra, S.; Zhang, M.G.; Gorski, W. Direct electron transfer, sensing, and enzyme activity in the glucose oxidase/carbon nanotubes system. Anal. Chem. 2014, 86, 752–757. [Google Scholar] [CrossRef]
 - Wang, Y.; Yao, Y.J. Direct electron transfer of glucose oxidase promoted by carbon nanotubes is without value in certain mediator-free applications. Microchim. Acta 2012, 176, 271–277. [Google Scholar] [CrossRef]
 








© 2018 by the authors. Licensee MDPI, Basel, Switzerland. This article is an open access article distributed under the terms and conditions of the Creative Commons Attribution (CC BY) license (http://creativecommons.org/licenses/by/4.0/).
Share and Cite
Wu, B.; Hou, S.; Xue, Y.; Chen, Z. Electrodeposition–Assisted Assembled Multilayer Films of Gold Nanoparticles and Glucose Oxidase onto Polypyrrole-Reduced Graphene Oxide Matrix and Their Electrocatalytic Activity toward Glucose. Nanomaterials 2018, 8, 993. https://doi.org/10.3390/nano8120993
Wu B, Hou S, Xue Y, Chen Z. Electrodeposition–Assisted Assembled Multilayer Films of Gold Nanoparticles and Glucose Oxidase onto Polypyrrole-Reduced Graphene Oxide Matrix and Their Electrocatalytic Activity toward Glucose. Nanomaterials. 2018; 8(12):993. https://doi.org/10.3390/nano8120993
Chicago/Turabian StyleWu, Baoyan, Shihua Hou, Yongyong Xue, and Zhan Chen. 2018. "Electrodeposition–Assisted Assembled Multilayer Films of Gold Nanoparticles and Glucose Oxidase onto Polypyrrole-Reduced Graphene Oxide Matrix and Their Electrocatalytic Activity toward Glucose" Nanomaterials 8, no. 12: 993. https://doi.org/10.3390/nano8120993
APA StyleWu, B., Hou, S., Xue, Y., & Chen, Z. (2018). Electrodeposition–Assisted Assembled Multilayer Films of Gold Nanoparticles and Glucose Oxidase onto Polypyrrole-Reduced Graphene Oxide Matrix and Their Electrocatalytic Activity toward Glucose. Nanomaterials, 8(12), 993. https://doi.org/10.3390/nano8120993
        