Anisotropic Thermal Conduction in Transition Metal Dichalcogenide Nanocomposites with Rough Interfaces
Abstract
1. Introduction
2. Theoretical Method
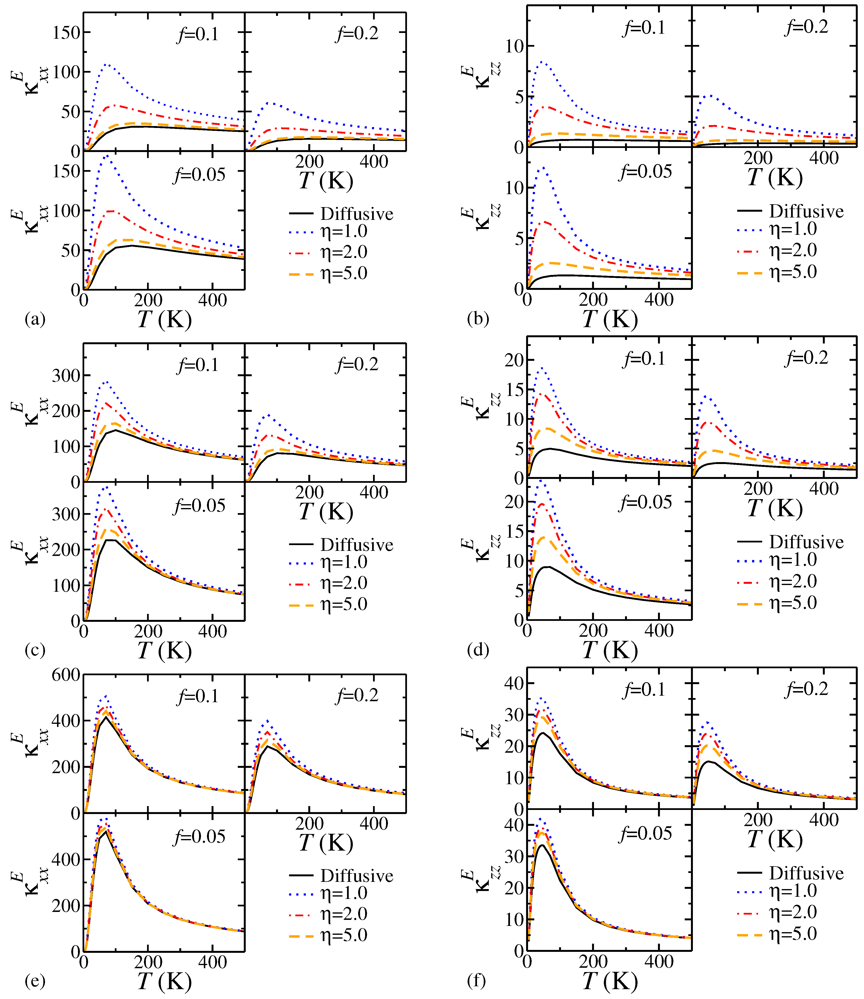
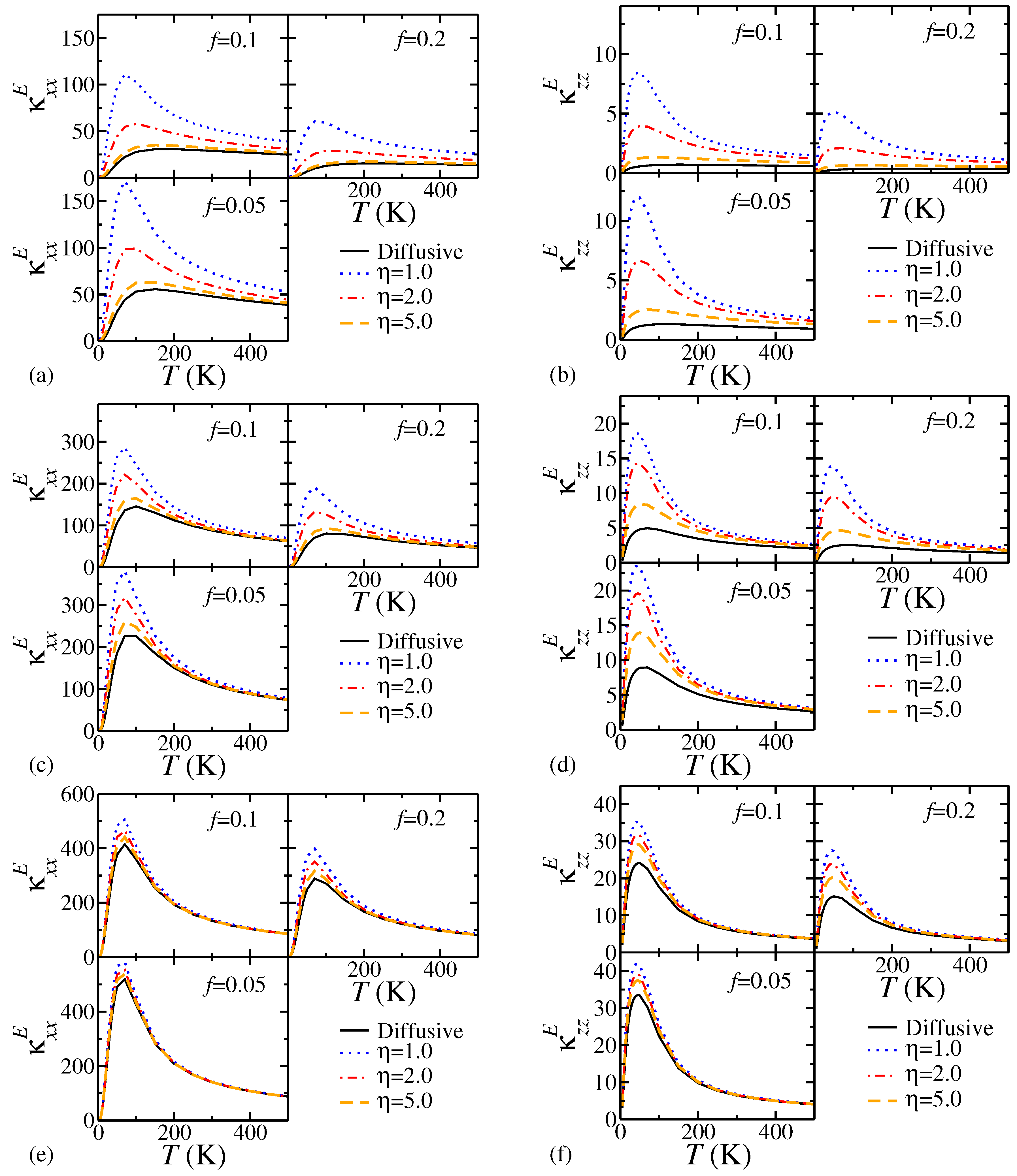
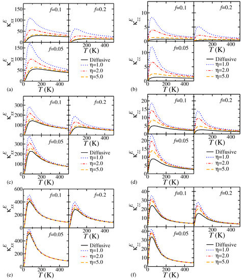
3. Results
4. Conclusions
Author Contributions
Funding
Acknowledgments
Conflicts of Interest
Abbreviations
| EMA | Effective Medium Approach |
| mEMA | modified Effective Medium Approach |
| emEMA | extended modified Effective Medium Approach |
| SMRT | Single Mode Relaxation Time |
| N | Normal anharmonic scattering process |
| DFT | density functional theory |
Appendix A. Depolarisation Tensors
Appendix B. Calculation of the Thermal Conductivity
Appendix B.1. Callaway Thermal Conductivity
Appendix B.2. Bulk Scattering Rates
Appendix B.3. Sample Boundary and Interface Scattering Rates
Appendix B.4. Computational Details
References
- Nan, C.W.; Birringer, R.; Clarke, D.R.; Gleiter, H. Effective thermal conductivity of particulate composites with interfacial thermal resistance. J. Appl. Phys. 1997, 81, 6692–6699. [Google Scholar] [CrossRef]
- Markel, V.A. Introduction to the Maxwell Garnett approximation: Tutorial. J. Opt. Soc. Am. A 2016, 33, 1244–1256. [Google Scholar] [CrossRef] [PubMed]
- Nan, C.W. Physics of inhomogeneous inorganic materials. Prog. Mater. Sci. 1993, 37, 1–116. [Google Scholar] [CrossRef]
- Swartz, E.T.; Pohl, R.O. Thermal Boundary Resistance. Rev. Mod. Phys. 1989, 3, 605–668. [Google Scholar] [CrossRef]
- Gavalas, G.R. Comparison of effective conductivities calculated by the effective medium approximation and the self consistent approximation for core-shell particulate composites. AIP Adv. 2017, 7, 095222. [Google Scholar] [CrossRef]
- Molina, J.M.; Narciso, J.; Weber, L.; Mortensen, A.; Louis, E. Thermal conductivity of Al-SiC composites with monomodal and bimodal particle size distribution. Mater. Sci. Eng. A 2008, 480, 483–488. [Google Scholar] [CrossRef]
- Molina, J.M.; Prieto, R.; Narciso, J.; Louis, E. The effect of porosity on the thermal conductivity of Al-12 wt.% Si/SiC composites. Scr. Mater. 2009, 60, 582–585. [Google Scholar] [CrossRef]
- Minnich, A.; Chen, G. Modified effective medium formulation for the thermal conductivity of nanocomposites. Appl. Phys. Lett. 2007, 91, 073105. [Google Scholar] [CrossRef]
- Jin, H.; Heremans, J.P. Optimisation of the figure of merit in Bi100−xSbx/Al2O3 nanocomposites. Phys. Rev. Mater. 2018, 2, 115401. [Google Scholar] [CrossRef]
- Ordonez-Miranda, J.; Yang, R.; Alvarado-Gil, J.J. On the thermal conductivity of particulate nanocomposites. Appl. Phys. Lett. 2011, 98, 233111. [Google Scholar] [CrossRef]
- Behrang, A.; Grmela, M.; Dubois, C.; Turenne, S.; Lafleur, P.G. Influence of particle-matrix interface, temperature, and agglomeration on heat conduction in dispersions. J. Appl. Phys. 2013, 114, 014305. [Google Scholar] [CrossRef]
- Behrang, A.; Grmela, M.; Dubois, C.; Turenne, S.; Lafleur, P.G.; Lebon, G. Effective heat conduction in dispersion of wires. Appl. Phys. Lett. 2014, 104, 063106. [Google Scholar] [CrossRef]
- Behrang, A.; Grmela, M.; Dubois, C.; Turenne, S.; Lafleur, P.G. Temperature dependence of thermal conductivity in hybrid nanodispersions. RSC Adv. 2015, 5, 2768–2776. [Google Scholar] [CrossRef]
- Siddiqui, M.U.; Arif, A.F.M. Generalized Effective Medium Theory for Particulate Nanocomposite Materials. Materials 2016, 9, 964. [Google Scholar] [CrossRef]
- Sihvola, A. Homogenization of a Dielectric Mixture with Anisotropic Spheres in Anisotropic Background. Electromagnetics 1997, 17, 269–286. [Google Scholar] [CrossRef]
- Sihvola, A. Electromagnetic Mixing Formulas and Applications; The Institute of Electrical Engineers: London, UK, 1999. [Google Scholar]
- Levy, O.; Cherkaev, E. Effective medium approximations for anisotropic composites with arbitrary component orientation. J. Appl. Phys. 2013, 114, 164102. [Google Scholar] [CrossRef]
- Böhm, H.; Nogales, S. Mori-Tanaka models for the thermal conductivity of composites with interfacial resistance and particle size distributions. Compos. Sci. Technol. 2008, 68, 1181–1187. [Google Scholar]
- Thomas, I.O.; Srivastava, G.P. Extension of the modified effective medium approach to nanocomposites with anisotropic thermal conductivities. Phys. Rev. B 2018, 98, 094201. [Google Scholar] [CrossRef]
- Koh, Y.K.; Cao, Y.; Cahill, D.G.; Jena, D. Heat-Transport Mechanisms in Superlattices. Adv. Funct. Mater. 2009, 19, 610–615. [Google Scholar] [CrossRef]
- Gong, Y.; Lin, J.; Wang, X.; Shi, G.; Lei, S.; Lin, Z.; Zou, X.; Ye, G.; Vajtai, R.; Yakobson, B.I.; et al. Vertical and in-plane heterostructures from WS2/MoS2 monolayers. Nat. Mater. 2014, 13, 1135–1142. [Google Scholar] [CrossRef]
- Velusamy, D.B.; Kim, R.H.; Cha, S.; Huh, J.; Khazaeinezhad, R.; Kassani, S.H.; Song, G.; Cho, S.M.; Cho, H.C.; Hwang, I.; et al. Flexible transition metal dichalcogenide nanosheets for band-selective photodetection. Nat. Commun. 2015, 6, 8063. [Google Scholar] [CrossRef] [PubMed]
- Lu, Q.; Yu, Y.; Ma, Q.; Chen, B.; Zhang, H. 2D Transition-Metal-Dichalcogenide-Nanosheet-Based Composites for Photocatalytic and Electrocatalytic Hydrogen Evolution Reactions. Adv. Mater. 2016, 28, 1917–1933. [Google Scholar] [CrossRef] [PubMed]
- Thomas, I.O.; Srivastava, G.P. Anharmonic, dimensionality and size effects in phonon transport. J. Phys. Condens. Matter 2017, 29, 505703. [Google Scholar] [CrossRef] [PubMed]
- Gaskins, J.T.; Kotsonis, G.; Giri, A.; Ju, S.; Rohskopf, A.; Wang, Y.; Bai, T.; Sachet, E.; Shelton, C.T.; Liu, Z.; et al. Thermal Boundary Conductance Across Heteroepitaxial ZnO/GaN Interfaces: Assessment of the Phonon Gas Model. Nano Lett. 2018. [Google Scholar] [CrossRef] [PubMed]
- Chen, G. Thermal conductivity and ballistic-phonon transport in the cross-plane direction of superlattices. Phys. Rev. B 1998, 57, 14958–14973. [Google Scholar] [CrossRef]
- Srivastava, G.P. Tuning phonon properties in thermoelectric materials. Rep. Prog. Phys. 2015, 78, 026501. [Google Scholar] [CrossRef] [PubMed]
- Srivastava, G.P. The Physics of Phonons; Taylor and Francis: New York, NY, USA, 1990. [Google Scholar]
- Srivastava, G.P. Calculation of lattice thermal conductivity of Ge from 4–900 K. Philos. Mag. 1976, 34, 795–809. [Google Scholar] [CrossRef]
- Ma, J.; Li, W.; Luo, X. Examining the Callaway model for lattice thermal conductivity. Phys. Rev. B 2014, 90, 035203. [Google Scholar] [CrossRef]
- Callaway, J. Model for Lattice Thermal Conductivity at Low Temperatures. Phys. Rev. 1959, 113, 1046–1051. [Google Scholar] [CrossRef]
- Thomas, I.O.; Srivastava, G.P. Control of thermal conductivity with species mass in transition-metal dichalcogenides. J. Appl. Phys. 2018, 123, 135703. [Google Scholar] [CrossRef]
- Bjerg, L.; Iversen, B.B.; Madsen, G.K.H. Modeling the thermal conductivities of the zinc antimonides ZnSb and Zn4Sb3. Phys. Rev. B 2014, 89, 024304. [Google Scholar] [CrossRef]
- Madsen, G.K.H.; Katre, A.; Bera, C. Calculating the thermal conductivity of the silicon clathrates using the quasi-harmonic approximation. Phys. Status Solidi A 2016, 213, 802–807. [Google Scholar] [CrossRef]
- Katre, A.; Madsen, G.K.H. Orthogonal tight-binding model for the thermal conductivity of Si. Phys. Rev. B 2016, 93, 155203. [Google Scholar] [CrossRef]
- Giannozzi, P.; Baroni, S.; Bonini, N.; Calandra, M.; Car, R.; Cavazzoni, C.; Ceresoli, D.; Chiarotti, G.L.; Cococcioni, M.; Dabo, I.; et al. QUANTUM ESPRESSO: A modular and open-source software project for quantum simulations of materials. J. Phys. Condens. Matter 2009, 21, 395502. [Google Scholar] [CrossRef] [PubMed]
- Perdew, J.P.; Burke, K.; Ernzerhof, M. Generalized Gradient Approximation Made Simple. Phys. Rev. Lett. 1996, 77, 3865–3868. [Google Scholar] [CrossRef] [PubMed]
- Monkhorst, H.J.; Pack, J.D. Special points for Brillouin-zone integrations. Phys. Rev. B 1976, 13, 5188–5192. [Google Scholar] [CrossRef]


| Volume Fraction | 0.05 | 0.1 | 0.2 | |||||||||||
|---|---|---|---|---|---|---|---|---|---|---|---|---|---|---|
| Diff. | 1.0 | 2.0 | 5.0 | Diff. | 1.0 | 2.0 | 5.0 | Diff. | 1.0 | 2.0 | 5.0 | |||
| 10 nm | 47.9 | 73.2 | 59.3 | 51.7 | 28.9 | 52.5 | 39.8 | 31.7 | 15.5 | 33.7 | 23.4 | 16.9 | ||
| 100 nm | 110.2 | 121.9 | 114.7 | 112.5 | 87.8 | 104.4 | 94.1 | 90.8 | 61.9 | 80.6 | 69.2 | 61.2 | ||
| 1000 nm | 140.0 | 143.5 | 141.4 | 140.5 | 133.0 | 139.5 | 135.6 | 134.0 | 121.5 | 132.7 | 126.0 | 123.1 | ||
| 10 nm | 1.13 | 2.69 | 2.28 | 1.70 | 0.67 | 2.15 | 1.71 | 1.07 | 0.37 | 1.67 | 1.18 | 0.61 | ||
| 100 nm | 3.81 | 4.91 | 4.52 | 4.37 | 2.73 | 4.04 | 3.64 | 3.39 | 1.77 | 3.17 | 2.79 | 2.41 | ||
| 1000 nm | 6.41 | 6.76 | 6.59 | 6.56 | 5.67 | 6.22 | 5.97 | 5.93 | 4.67 | 5.44 | 5.13 | 5.05 | ||
© 2018 by the authors. Licensee MDPI, Basel, Switzerland. This article is an open access article distributed under the terms and conditions of the Creative Commons Attribution (CC BY) license (http://creativecommons.org/licenses/by/4.0/).
Share and Cite
Thomas, I.O.; Srivastava, G.P. Anisotropic Thermal Conduction in Transition Metal Dichalcogenide Nanocomposites with Rough Interfaces. Nanomaterials 2018, 8, 1054. https://doi.org/10.3390/nano8121054
Thomas IO, Srivastava GP. Anisotropic Thermal Conduction in Transition Metal Dichalcogenide Nanocomposites with Rough Interfaces. Nanomaterials. 2018; 8(12):1054. https://doi.org/10.3390/nano8121054
Chicago/Turabian StyleThomas, Iorwerth O., and Gyaneshwar P. Srivastava. 2018. "Anisotropic Thermal Conduction in Transition Metal Dichalcogenide Nanocomposites with Rough Interfaces" Nanomaterials 8, no. 12: 1054. https://doi.org/10.3390/nano8121054
APA StyleThomas, I. O., & Srivastava, G. P. (2018). Anisotropic Thermal Conduction in Transition Metal Dichalcogenide Nanocomposites with Rough Interfaces. Nanomaterials, 8(12), 1054. https://doi.org/10.3390/nano8121054

