In Silico Models for Predicting Adsorption of Organic Pollutants on Atmospheric Nanoplastics by Combining Grand Canonical Monte Carlo/Density Functional Theory and Quantitative Structure Activity Relationship Approach
Abstract
1. Introduction
2. Computational Details
2.1. Adsorbent and Adsorbate Models
2.2. Grand Canonical Monte Carlo Simulation
2.3. Density Functional Theory Computation
2.4. Adsorption Data and Molecular Structure Descriptors
2.5. Establishment and Evaluation for QSAR Models
3. Results and Discussion
3.1. Cm and logK Values for Organic Compounds on Nanoplastics
3.2. Sorbent-Specific QSAR Models for Predicting logK Values on PE, POM, and PVA Nanoplastics
- for PE nanoplastics,
- for POM nanoplastics,
- and for PVA nanoplastics,
3.3. Multi-Dimensional QSAR Models for Predicting Cm Values on Nanoplastics
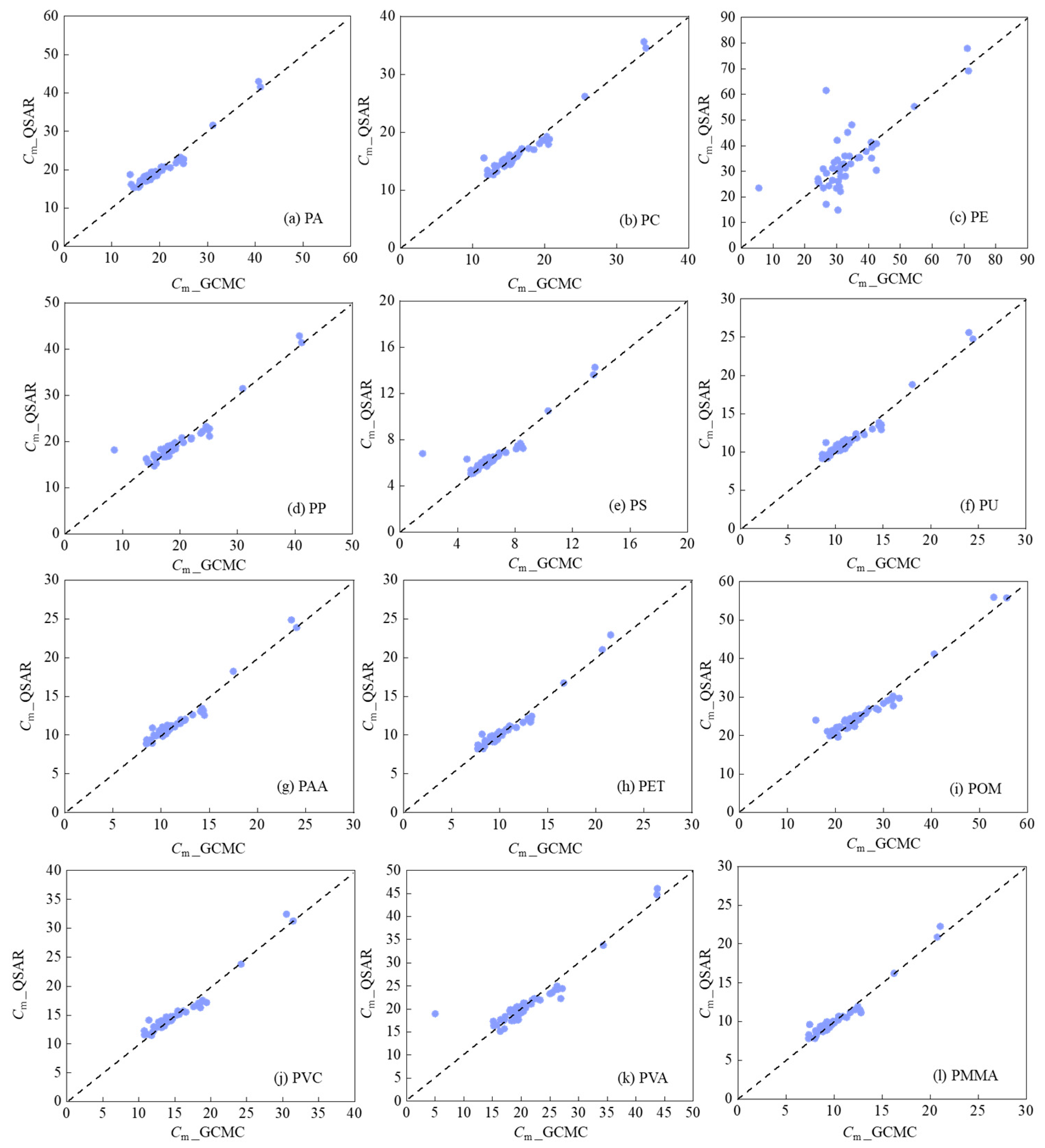
3.3.1. Twelve Sorbent-Specific QSAR Models
n = 48, R2adj = 0.94, RMSE = 1.27, F = 148.69, p < 0.001
n = 48, R2adj = 0.94, RMSE = 1.05, F = 149.46, p < 0.001
n = 48, R2adj = 0.79, RMSE = 8.58, F = 36.01, p < 0.001
n = 48, R2adj = 0.88, RMSE = 1.86, F = 71.33, p < 0.001
n = 48, R2adj = 0.77, RMSE = 0.89, F = 31.95, p < 0.001
n = 48, R2adj = 0.94, RMSE = 0.56, F = 150.16, p < 0.001
n = 48, R2adj = 0.95, RMSE = 0.68, F = 172.98, p < 0.001
n = 48, R2adj = 0.94, RMSE = 0.64, F = 153.35, p < 0.001
n = 48, R2adj = 0.93, RMSE = 1.88, F = 122.73, p < 0.001
n = 48, R2adj = 0.95, RMSE = 0.85, F = 166.24, p < 0.001
n = 48, R2adj = 0.84, RMSE = 2.44, F = 48.61, p < 0.001
n = 48, R2adj = 0.95, RMSE = 0.62, F = 165.85, p < 0.001
3.3.2. A Multi-Dimensional Prediction Model
3.4. Adsorption Mechanisms
3.4.1. QSAR Models for logK Values
3.4.2. Sorbent-Specific QSAR Models for Cm Values
3.4.3. Multi-Dimensional QSAR Models for Cm Values
3.4.4. Effects of Functional Groups on Adsorption Energies
4. Conclusions
Supplementary Materials
Author Contributions
Funding
Data Availability Statement
Conflicts of Interest
References
- Geyer, R.; Jambeck, J.R.; Law, K.L. Production, use, and fate of all plastics ever made. Sci. Adv. 2017, 3, e1700782. [Google Scholar] [CrossRef] [PubMed]
- Annual Production of Plastics Worldwide from 1950 to 2022. Available online: https://www.statista.com/statistics/282732/global-production-of-plastics-since-1950/ (accessed on 15 December 2025).
- Stegmann, P.; Daioglou, V.; Londo, M.; van Vuuren, D.P.; Junginger, M. Plastic futures and their CO2 emissions. Nature 2022, 612, 272–276. [Google Scholar] [CrossRef]
- Alimi, O.S.; Budarz, J.F.; Hernandez, L.M.; Tufenkji, N. Microplastics and nanoplastics in aquatic environments: Aggregation, deposition, and enhanced contaminant transport. Environ. Sci. Technol. 2018, 52, 1704–1724. [Google Scholar] [CrossRef]
- Botterell, Z.L.R.; Beaumont, N.; Dorrington, T.; Steinke, M.; Thompson, R.C.; Lindeque, P.K. Bioavailability and effects of microplastics on marine zooplankton: A review. Environ. Pollut. 2019, 245, 98–110. [Google Scholar] [CrossRef]
- Macleod, M.; Arp, H.P.H.; Tekman, M.B.; Jahnke, A. The global threat from plastic pollution. Science 2021, 373, 61–65. [Google Scholar] [CrossRef]
- Thompson, R.C.; Olsen, Y.; Mitchell, R.P.; Davis, A.; Rowland, S.J.; John, A.W.G.; McGonigle, D.; Russell, A.E. Lost at sea: Where is all the plastic? Science 2004, 304, 838. [Google Scholar] [CrossRef]
- Hochella, M.F.; Mogk, D.W.; Ranville, J.; Allen, I.C.; Luther, G.W.; Marr, L.C.; McGrail, B.P.; Murayama, M.; Qafoku, N.P.; Rosso, K.M.; et al. Natural, incidental, and engineered nanomaterials and their impacts on the Earth system. Science 2019, 363, 1414. [Google Scholar] [CrossRef]
- Rainieri, S.; Conlledo, N.; Larsen, B.K.; Granby, K.; Barranco, A. Combined effects of microplastics and chemical contaminants on the organ toxicity of zebrafish (Danio rerio). Environ. Res. 2018, 162, 135–143. [Google Scholar] [CrossRef]
- Xiong, Y.C.; Zhao, J.H.; Li, L.Q.; Wang, Y.Y.; Dai, X.H.; Yu, F.; Ma, J. Interfacial interaction between micro/nanoplastics and typical PPCPs and nanoplastics removal via electrosorption from an aqueous solution. Water Res. 2020, 184, 116100. [Google Scholar] [CrossRef] [PubMed]
- Yang, W.F.; Gao, X.X.; Wu, Y.X.; Wan, L.; Tan, L.C.; Yuan, S.M.; Ding, H.J.; Zhang, W.H. The combined toxicity influence of microplastics and nonylphenol on microalgae Chlorella pyrenoidosa. Ecotoxicol. Environ. Saf. 2020, 195, 110484. [Google Scholar] [CrossRef] [PubMed]
- Wu, C.X.; Zhang, K.; Huang, X.L.; Liu, J.T. Sorption of pharmaceuticals and personal care products to polyethylene debris. Environ. Sci. Pollut. Res. 2016, 23, 8819–8826. [Google Scholar] [CrossRef]
- Velzeboer, I.; Kwadijk, C.; Koelmans, A.A. Strong sorption of PCBs to nanoplastics, microplastics, carbon nanotubes, and fullerenes. Environ. Sci. Technol. 2014, 48, 4869–4876. [Google Scholar] [CrossRef]
- Bhagwat, G.; Tran, T.; Lamb, D.; Senathirajah, K.; Grainge, I.; O’Connor, W.; Juhasz, A.; Palanisami, T. Biofilms enhance the adsorption of toxic contaminants on plastic microfibers under environmentally relevant conditions. Environ. Sci. Technol. 2021, 55, 8877–8887. [Google Scholar] [CrossRef] [PubMed]
- Ding, L.; Mao, R.F.; Ma, S.R.; Guo, X.T.; Zhu, L.Y. High temperature depended on the ageing mechanism of microplastics under different environmental conditions and its effect on the distribution of organic pollutants. Water Res. 2020, 174, 115634. [Google Scholar] [CrossRef]
- Dong, X.F.; Zheng, M.G.; Qu, L.Y.; Shi, L.; Wang, L.; Zhang, Y.; Liu, X.W.; Qiu, Y.; Zhu, H.H. Sorption of tonalide, musk xylene, galaxolide, and musk ketone by microplastics of polyethylene and polyvinyl chloride. Mar. Pollut. Bull. 2019, 144, 129–133. [Google Scholar] [CrossRef] [PubMed]
- Fu, L.N.; Li, J.; Wang, G.Y.; Luan, Y.N.; Dai, W. Adsorption behavior of organic pollutants on microplastics. Ecotoxicol. Environ. Saf. 2021, 217, 112207. [Google Scholar] [CrossRef] [PubMed]
- Liu, X.M.; Shi, H.H.; Xie, B.; Dionysiou, D.D.; Zhao, Y.P. Microplastics as both a sink and a source of bisphenol A in the marine environment. Environ. Sci. Technol. 2019, 53, 10188–10196. [Google Scholar] [CrossRef]
- Liu, G.; Zhu, Z.; Yang, Y.; Sun, Y.; Yu, F.; Ma, J. Sorption behavior and mechanism of hydrophilic organic chemicals to virgin and aged microplastics in freshwater and seawater. Environ. Pollut. 2019, 246, 26–33. [Google Scholar] [CrossRef]
- Liu, P.; Lu, K.; Li, J.; Wu, X.; Qian, L.; Wang, M.; Gao, S. Effect of aging on adsorption behavior of polystyrene microplastics for pharmaceuticals: Adsorption mechanism and role of aging intermediates. J. Hazard. Mater. 2020, 384, 121193. [Google Scholar] [CrossRef]
- Wang, F.; Shih, K.M.; Li, X.Y. The partition behavior of perfluorooctanesulfonate (PFOS) and perfluorooctanesulfonamide (FOSA) on microplastics. Chemosphere 2015, 119, 841–847. [Google Scholar] [CrossRef]
- Schäfer, A.I.; Nghiem, L.D.; Waite, T.D. Removal of the natural hormone estrone from aqueous solutions using nanofiltration and reverse osmosis. Environ. Sci. Technol. 2002, 37, 182–188. [Google Scholar] [CrossRef]
- Liu, X.; Xu, J.; Zhao, Y.; Shi, H.; Huang, C.H. Hydrophobic sorption behaviors of 17β-Estradiol on environmental microplastics. Chemosphere 2019, 226, 726–735. [Google Scholar] [CrossRef]
- Louie, S.G.; Chan, Y.H.; da Jornada, F.H.; Li, Z.L.; Qiu, D.Y. Discovering and understanding materials through computation. Nat. Mater. 2021, 20, 728–735. [Google Scholar] [CrossRef] [PubMed]
- Mo, Q.M.; Yang, X.J.; Wang, J.J.; Xu, H.J.; Li, W.Y.; Fan, Q.; Gao, S.; Yang, W.Y.; Gao, C.Z.; Liao, D.H.; et al. Adsorption mechanism of two pesticides on polyethylene and polypropylene microplastics: DFT calculations and particle size effects. Environ. Pollut. 2021, 291, 118120. [Google Scholar] [CrossRef] [PubMed]
- Enyoh, C.E.; Wang, Q.; Wang, W.; Chowdhury, T.; Rabin, M.H.; Islam, R.; Yue, G.; Lin, Y.; Xiao, K. Sorption of per- and polyfluoroalkyl substances (PFAS) using polyethylene (PE) microplastics as adsorbent: Grand canonical Monte Carlo and molecular dynamics (GCMC-MD) studies. Int. J. Environ. Anal. Chem. 2022, 104, 2719–2735. [Google Scholar] [CrossRef]
- Joliat, J.; Picaud, S.; Jedlovszky, P. Competitive adsorption of trace gases on ice at tropospheric temperatures: A grand canonical Monte Carlo simulation study. J. Phys. Chem. A 2023, 127, 10223–10232. [Google Scholar] [CrossRef]
- Sun, Y.X.; Ma, Y.J.; Yu, B.; Zhang, W.; Zhang, L.P.; Chen, P.; Xu, L. Perspectives on molecular simulation of CO2/CH4 competitive adsorption in a shale matrix: A review. Energy Fuels 2024, 38, 15935–15971. [Google Scholar] [CrossRef]
- Cai, S.Y.; Yu, L.; Huo, E.G.; Ren, Y.X.; Liu, X.D.; Chen, Y.P. Adsorption and diffusion properties of functionalized MOFs for CO2 capture: A combination of molecular dynamics simulation and density functional theory calculation. Langmuir 2024, 40, 6869–6877. [Google Scholar] [CrossRef]
- Xu, J.H.; Carney, T.E.; Zhou, R.Y.; Shepard, C.; Kanai, Y. Real-time time-dependent density functional theory for simulating nonequilibrium electron dynamics. J. Am. Chem. Soc. 2024, 146, 5011–5029. [Google Scholar] [CrossRef]
- Li, M.; Yu, H.Y.; Wang, Y.F.; Li, J.G.; Ma, G.C.; Wei, X.X. QSPR models for predicting the adsorption capacity for microplastics of polyethylene, polypropylene and polystyrene. Sci. Rep. 2020, 10, 14597. [Google Scholar] [CrossRef] [PubMed]
- Gui, B.X.; Xu, X.T.; Zhang, S.N.; Wang, Y.; Li, C.; Zhang, D.M.; Su, L.M.; Zhao, Y.H. Prediction of organic compounds adsorbed by polyethylene and chlorinated polyethylene microplastics in freshwater using QSAR. Environ. Res. 2021, 197, 111001. [Google Scholar] [CrossRef]
- Xu, J.P.; Wang, L.; Sun, H.W. Adsorption of neutral organic compounds on polar and nonpolar microplastics: Prediction and insight into mechanisms based on pp-LFERs. J. Hazard. Mater. 2021, 408, 124857. [Google Scholar] [CrossRef]
- Yao, J.J.; Wen, J.Y.; Li, H.P.; Yang, Y. Surface functional groups determine adsorption of pharmaceuticals and personal care products on polypropylene microplastics. J. Hazard. Mater. 2022, 423, 127131. [Google Scholar] [CrossRef]
- Qiu, Y.; Li, Z.J.; Zhang, T.; Zhang, P. Predicting aqueous sorption of organic pollutants on microplastics with machine learning. Water Res. 2023, 244, 120503. [Google Scholar] [CrossRef]
- Akkermans, R.L.; Spenley, N.A.; Robertson, S.H. Monte Carlo methods in materials studio. Mol. Simul. 2013, 39, 1153–1164. [Google Scholar] [CrossRef]
- Nosé, S. A molecular dynamics method for simulations in the canonical ensemble. Mol. Phys. 1984, 52, 255–268. [Google Scholar] [CrossRef]
- Sun, H.; Jin, Z.; Yang, C.W.; Akkermans, R.L.C.; Robertson, S.H.; Spenley, N.A.; Miller, S.; Todd, S.M. COMPASS II: Extended coverage for polymer and drug-like molecule databases. J. Mol. Model. 2016, 22, 47. [Google Scholar] [CrossRef]
- Sun, H. COMPASS: An ab initio forcefield optimized for condensed-phase applications—Overview with details on alkane and benzene compounds. J. Phys. Chem. B 1998, 102, 7338–7364. [Google Scholar] [CrossRef]
- Sun, H.; Ren, P.; Fried, J.R. The COMPASS forcefield: Parameterization and validation for polyphosphazenes. Comput. Theor. Polym. Sci. 1998, 8, 229–246. [Google Scholar] [CrossRef]
- Rigby, D.; Sun, H.; Eichinger, B.E. Computer simulations of poly(ethylene oxides): Forcefield, PVT diagram and cyclization behavior. Polym. Int. 1997, 44, 311–330. [Google Scholar] [CrossRef]
- Wells, B.A.; Chaffee, A.L. Ewald summation for molecular simulations. J. Chem. Theory Comput. 2015, 11, 3684–3695. [Google Scholar] [CrossRef]
- Brooks, C.L., III; Montgomery Pettitt, B.; Karplus, M. Structural and energetic effects of truncating long range interactions in ionic and polar fluids. J. Chem. Phys. 1985, 83, 5897–5908. [Google Scholar] [CrossRef]
- Ni, B.; Baumketner, A. Effect of atom- and group-based truncations on biomolecules simulated with reaction-field electrostatics. J. Mol. Model. 2011, 17, 2883–2893. [Google Scholar] [CrossRef] [PubMed][Green Version]
- Putri, A.D.; Murti, B.T.; Kanchi, S.; Sabela, M.I.; Bisetty, K.; Tiwari, A.; Inamuddin; Asiri, A.M. Computational studies on the molecular insights of aptamer induced poly(N-isopropylacrylamide)-graft-graphene oxide for on/off- switchable whole-cell cancer diagnostics. Sci. Rep. 2019, 9, 7873. [Google Scholar] [CrossRef] [PubMed]
- Nyden, M.R.; Stoliarov, S.I.; Westmoreland, P.R.; Guo, Z.X.; Jee, C. Applications of reactive molecular dynamics to the study of the thermal decomposition of polymers and nanoscale structures. Mat. Sci. Eng. A 2004, 365, 114–121. [Google Scholar] [CrossRef]
- Delley, B. An all-electron numerical method for solving the local density functional for polyatomic molecules. J. Chem. Phys. 1990, 92, 508–517. [Google Scholar] [CrossRef]
- Delley, B. From molecules to solids with the DMol3 approach. J. Chem. Phys. 2000, 113, 7756–7764. [Google Scholar] [CrossRef]
- Perdew, J.P.; Burke, K.; Ernzerhof, M. Generalized gradient approximation made simple. Phys. Rev. Lett. 1996, 77, 3865–3868. [Google Scholar] [CrossRef]
- Benedek, N.A.; Snook, I.K.; Latham, K.; Yarovsky, I. Application of numerical basis sets to hydrogen bonded systems: A density functional theory study. J. Chem. Phys. 2005, 122, 144102. [Google Scholar] [CrossRef] [PubMed]
- Inada, Y.; Orita, H. Efficiency of numerical basis sets for predicting the binding energies of hydrogen bonded complexes: Evidence of small basis set superposition error compared to Gaussian basis sets. J. Comput. Chem. 2008, 29, 225–232. [Google Scholar] [CrossRef]
- Liu, P.; Rodriguez, J.A. Catalysts for hydrogen evolution from the [NiFe] hydrogenase to the Ni2P (001) surface: The importance of ensemble effect. J. Am. Chem. Soc. 2005, 127, 14871–14878. [Google Scholar] [CrossRef]
- Grimme, S. Semiempirical GGA-type density functional constructed with a long-range dispersion correction. J. Comput. Chem. 2006, 27, 1787–1799. [Google Scholar] [CrossRef]
- Zou, M.Y.; Zhang, J.D.; Chen, J.W.; Li, X.H. Simulating adsorption of organic pollutants on finite (8,0) single-walled carbon nanotubes in water. Environ. Sci. Technol. 2012, 46, 8887–8894. [Google Scholar] [CrossRef]
- Hong, Q.Y.; Xu, H.M.; Ling, C.C.; Liu, Z.S.; Huang, W.J.; Yang, S.J.; Qu, Z.; Zhang, L.Z.; Yan, N.Q. Low-coordinated polysulfide species on metal sulfide enabled superior gaseous mercury removal from natural gas. Environ. Sci. Technol. 2025, 59, 4178–4187. [Google Scholar] [CrossRef]
- Yap, C.W. PaDEL-Descriptor: An open source software to calculate molecular descriptors and fingerprints. J. Comput. Chem. 2011, 32, 1466–1474. [Google Scholar] [CrossRef]
- Gramatica, P. Principles of QSAR models validation: Internal and external. QSAR Comb. Sci. 2007, 26, 694–701. [Google Scholar] [CrossRef]
- Wang, Y.; Chen, J.W.; Wei, X.X.; Hernandez Maldonado, A.J.; Chen, Z.F. Unveiling adsorption mechanisms of organic pollutants onto carbon nanomaterials by density functional theory computations and linear free energy relationship modeling. Environ. Sci. Technol. 2017, 51, 11820–11828. [Google Scholar] [CrossRef] [PubMed]
- Wang, Y.; Tang, W.H.; Peng, Y.; Chen, Z.F.; Chen, J.W.; Xiao, Z.J.; Zhao, X.G.; Qu, Y.K.; Li, J.H. Predicting the adsorption of organic pollutants on boron nitride nanosheets via in silico techniques: DFT computations and QSAR modeling. Environ. Sci. Nano 2021, 8, 795–805. [Google Scholar] [CrossRef]
- Su, L.H.; Wang, Z.Y.; Xiao, Z.J.; Xia, D.M.; Wang, Y.; Chen, J.W. Rapidly predicting aqueous adsorption constants of organic pollutants onto polyethylene microplastics by combining molecular dynamics simulations and machine learning. ACS EST Water 2024, 4, 4184–4192. [Google Scholar] [CrossRef]
- Golbraikh, A.; Shen, M.; Xiao, Z.Y.; Xiao, Y.D.; Lee, K.H.; Tropsha, A. Rational selection of training and test sets for the development of validated QSAR models. J. Comput. Aided Mol. Des. 2003, 17, 241–253. [Google Scholar] [CrossRef] [PubMed]
- Robinson, C.; Schumacker, R.E. Interaction effects: Centering, variance inflation factor, and interpretation issues. Mult. Linear Regres. Viewp. 2009, 35, 6–11. [Google Scholar]
- Todeschini, R.; Consonni, V. Molecular Descriptors for Chemoinformatics; Wiley VCH: Weinheim, Germany, 2009; pp. 27–37. [Google Scholar]
- Lide, D.R. CRC Handbook of Chemistry and Physics; CRC Press, Inc.: Boca Raton, FL, USA, 2005. [Google Scholar]
- Hall, L.H.; Kier, L.B. Electrotopological state indices for atom types: A novel combination of electronic, topological, and valence state information. J. Chem. Inf. Comput. Sci. 1995, 35, 1039–1045. [Google Scholar] [CrossRef]
- Deboyace, K.; Bookwala, M.; Buckner, I.S.; Zhou, D.; Wildfong, P.L.D. Interpreting the physicochemical meaning of a molecular descriptor predictive of amorphous solid dispersion formation in polyvinylpyrrolidone vinyl acetate. Mol. Pharmaceut. 2022, 19, 303–317. [Google Scholar] [CrossRef]
- Prabhakar, Y.S.; Rawal, R.K.; Gupta, M.K.; Solomon, V.R.; Katti, S.B. Topological descriptors in modeling the HIV inhibitory activity of 2-aryl-3-pyridylthiazolidin-4-ones. Comb. Chem. High T. Scr. 2005, 8, 431–437. [Google Scholar]
- Toots, K.M.; Sild, S.; Leis, J.; Acree, W.E.; Maran, U., Jr. Machine learning quantitative structure–property relationships as a function of ionic liquid cations for the gas-ionic liquid partition coefficient of hydrocarbons. Int. J. Mol. Sci. 2022, 23, 7534. [Google Scholar] [CrossRef] [PubMed]
- Akinola, L.K.; Uzairu, A.; Shallangwa, G.A.; Abechi, S.E. Development and validation of predictive quantitative structure–activity relationship models for estrogenic activities of hydroxylated polychlorinated biphenyls. Environ. Toxicol. Chem. 2023, 42, 823–834. [Google Scholar] [CrossRef]
- Euldji, I.; Si-Moussa, C.; Hamadache, M.; Benkortbi, O. QSPR modelling of the solubility of drug and drug-like compounds in supercritical carbon dioxide. Mol. Inform. 2022, 41, 2200026. [Google Scholar] [CrossRef] [PubMed]
- Rezić, T.; Vrsalović Presečki, A.; Kurtanjek, Ž. New approach to the evaluation of lignocellulose derived by-products impact on lytic-polysaccharide monooxygenase activity using a molecular descriptor structural causality model. Bioresour. Technol. 2021, 342, 125990. [Google Scholar] [CrossRef] [PubMed]






Disclaimer/Publisher’s Note: The statements, opinions and data contained in all publications are solely those of the individual author(s) and contributor(s) and not of MDPI and/or the editor(s). MDPI and/or the editor(s) disclaim responsibility for any injury to people or property resulting from any ideas, methods, instructions or products referred to in the content. |
© 2026 by the authors. Licensee MDPI, Basel, Switzerland. This article is an open access article distributed under the terms and conditions of the Creative Commons Attribution (CC BY) license.
Share and Cite
Wang, Y.; Yi, H.; Li, C.; Tang, X.; Zhao, P.; Chen, Z. In Silico Models for Predicting Adsorption of Organic Pollutants on Atmospheric Nanoplastics by Combining Grand Canonical Monte Carlo/Density Functional Theory and Quantitative Structure Activity Relationship Approach. Nanomaterials 2026, 16, 178. https://doi.org/10.3390/nano16030178
Wang Y, Yi H, Li C, Tang X, Zhao P, Chen Z. In Silico Models for Predicting Adsorption of Organic Pollutants on Atmospheric Nanoplastics by Combining Grand Canonical Monte Carlo/Density Functional Theory and Quantitative Structure Activity Relationship Approach. Nanomaterials. 2026; 16(3):178. https://doi.org/10.3390/nano16030178
Chicago/Turabian StyleWang, Ya, Honghong Yi, Chao Li, Xiaolong Tang, Peng Zhao, and Zhongfang Chen. 2026. "In Silico Models for Predicting Adsorption of Organic Pollutants on Atmospheric Nanoplastics by Combining Grand Canonical Monte Carlo/Density Functional Theory and Quantitative Structure Activity Relationship Approach" Nanomaterials 16, no. 3: 178. https://doi.org/10.3390/nano16030178
APA StyleWang, Y., Yi, H., Li, C., Tang, X., Zhao, P., & Chen, Z. (2026). In Silico Models for Predicting Adsorption of Organic Pollutants on Atmospheric Nanoplastics by Combining Grand Canonical Monte Carlo/Density Functional Theory and Quantitative Structure Activity Relationship Approach. Nanomaterials, 16(3), 178. https://doi.org/10.3390/nano16030178

