Enhanced Rashba Effect and Optical Absorption in 2D Janus XMoYZ2 (X = S/Se/Te; Y = Si/Ge; Z = N/P): A First-Principles Study
Abstract
1. Introduction
2. Computational Methods
3. Results and Discussion
3.1. Structure
3.2. Stability
3.3. Potential Energy and Charge Analysis
3.4. Spin Texture
3.5. Electronic Structure
3.6. Rashba Modulation
3.6.1. Strain
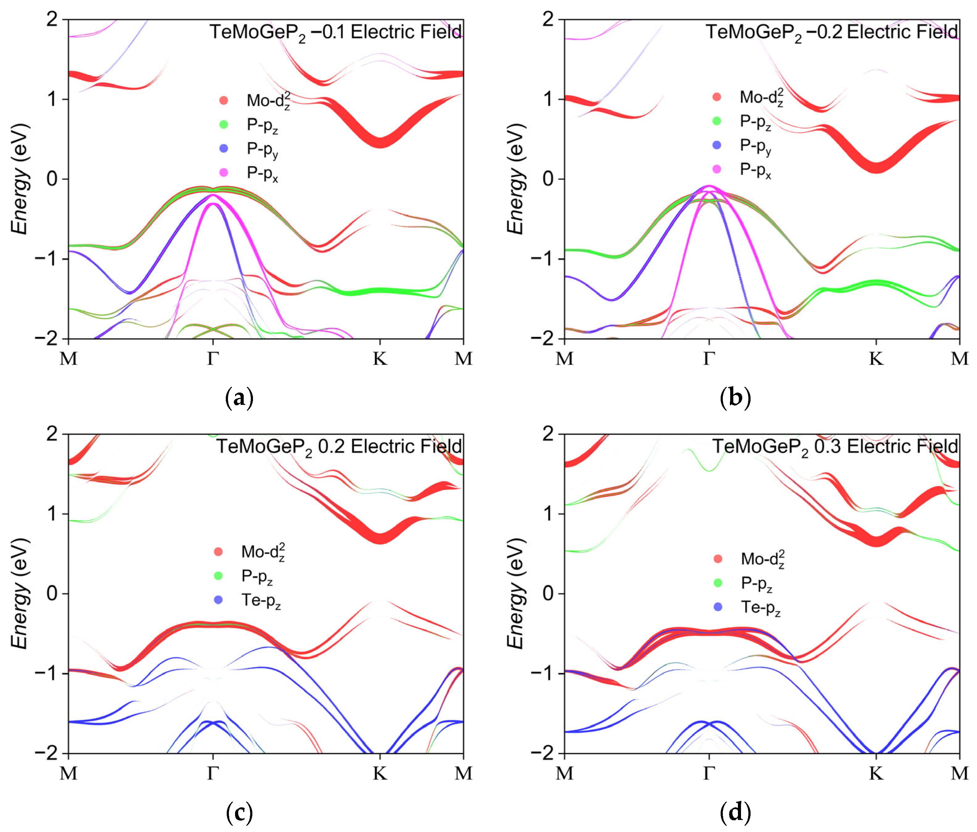
3.6.2. Electric Field
3.6.3. Charge Doping
3.7. Optical Properties
4. Conclusions
Author Contributions
Funding
Data Availability Statement
Conflicts of Interest
References
- Lee, S.; Kim, M.; Kwon, Y.K. Unconventional Hidden Rashba Effects in Two-Dimensional InTe. npj D Mater. Appl. 2023, 7, 43. [Google Scholar] [CrossRef]
- Wei, J.; Tian, Q.; Xu, X.; Qin, G.; Zuo, X.; Qin, Z. Two-Dimensional Rashba Semiconductors and Inversion-Asymmetric Topological Insulators in Monolayer Janus MAA’ZxZ’(4−x) Family. Appl. Phys. Lett. 2025, 126, 163104. [Google Scholar] [CrossRef]
- Sánchez, J.C.R.; Vila, L.; Desfonds, G.; Gambarelli, S.; Attané, J.P.; De Teresa, J.M.; Magén, C.; Fert, A. Spin-to-Charge Conversion Using Rashba Coupling at the Interface between Non-Magnetic Materials. Nat. Commun. 2013, 4, 2944. [Google Scholar] [CrossRef] [PubMed]
- Manchon, A.; Koo, H.C.; Nitta, J.; Frolov, S.M.; Duine, R.A. New Perspectives for Rashba Spin–Orbit Coupling. Nat. Mater. 2015, 14, 871–882. [Google Scholar] [CrossRef]
- Wu, H.; Tian, Q.; Wei, J.; Xing, Z.; Qin, G.; Qin, Z. Rashba Effect Modulation in Two-Dimensional A2B2Te6 (A = Sb, Bi; B = Si, Ge) Materials via Charge Transfer. Nanoscale 2025, 17, 17247–17255. [Google Scholar] [CrossRef] [PubMed]
- Bihlmayer, G.; Noël, P.; Vyalikh, D.V.; Chulkov, E.V.; Manchon, A. Rashba-like Physics in Condensed Matter. Nat. Rev. Phys. 2022, 4, 642–659. [Google Scholar] [CrossRef]
- Frank, T.; Faria Junior, P.E.; Zollner, K.; Fabian, J. Emergence of Radial Rashba Spin-Orbit Fields in Twisted van Der Waals Heterostructures. Phys. Rev. B 2024, 109, L241403. [Google Scholar] [CrossRef]
- Kohda, M.; Okayasu, T.; Nitta, J. Spin-Momentum Locked Spin Manipulation in a Two-Dimensional Rashba System. Sci. Rep. 2019, 9, 1909. [Google Scholar] [CrossRef]
- Guo, W.-T.; Huang, Z.; Zhang, J.-M. Rashba Spin-Splitting Driven Inverse Spin Hall Effect in MnBi2Te4. Commun. Phys. 2025, 8, 1. [Google Scholar] [CrossRef]
- Szczęśniak, D.; Kais, S. Gap States and Valley-Spin Filtering in Transition Metal Dichalcogenide Monolayers. Phys. Rev. B 2020, 101, 115423. [Google Scholar] [CrossRef]
- Koo, H.C.; Kim, S.B.; Kim, H.; Park, T.; Choi, J.W.; Kim, K.; Go, G.; Oh, J.H.; Lee, D.; Park, E.; et al. Rashba Effect in Functional Spintronic Devices. Adv. Mater. 2020, 32, 2002117. [Google Scholar] [CrossRef]
- Cheng, C.; Sun, J.-T.; Chen, X.-R.; Fu, H.-X.; Meng, S. Nonlinear Rashba Spin Splitting in Transition Metal Dichalcogenide Monolayers. Nanoscale 2016, 8, 17854–17860. [Google Scholar] [CrossRef]
- Xiang, L.; Ke, Y.; Zhang, Q. Tunable giant Rashba-type spin splitting in PtSe2/MoSe2 heterostructure. Appl. Phys. Lett. 2019, 115, 203501. [Google Scholar] [CrossRef]
- Zhang, L.; Gu, Y.; Du, A. Two-Dimensional Janus Antimony Selenium Telluride with Large Rashba Spin Splitting and High Electron Mobility. ACS Omega 2021, 6, 31919–31925. [Google Scholar] [CrossRef] [PubMed]
- Chen, J.; Wu, K.; Ma, H.; Hu, W.; Yang, J. Tunable Rashba Spin Splitting in Janus Transition-Metal Dichalcogenide Monolayers via Charge Doping. RSC Adv. 2020, 10, 6388–6394. [Google Scholar] [CrossRef] [PubMed]
- Zubair, M.; Vasilopoulos, P.; Tahir, M. Influence of Interface Induced Valley-Zeeman and Spin-Orbit Couplings on Transport in Heterostructures of Graphene on WSe2. Phys. Rev. B 2020, 101, 165436. [Google Scholar] [CrossRef]
- Rani, R.; Sharma, M.; Sharma, R. Giant Quantum Capacitance and Rashba Splitting in Tellurene Bilayer Derivatives. Physica E 2023, 152, 115757. [Google Scholar] [CrossRef]
- Gupta, S.; Yakobson, B.I. What Dictates Rashba Splitting in 2D van Der Waals Heterobilayers. J. Am. Chem. Soc. 2021, 143, 3503–3508. [Google Scholar] [CrossRef]
- Bordoloi, A.; Garcia-Castro, A.C.; Romestan, Z.; Romero, A.H.; Singh, S. Promises and Technological Prospects of Two-Dimensional Rashba Materials. Appl. Phys. 2024, 135, 220901. [Google Scholar] [CrossRef]
- Affandi, Y.; Ulil Absor, M.A. Electric Field-Induced Anisotropic Rashba Splitting in Two-Dimensional Tungsten Dichalcogenides WX2 (X: S, Se, Te): A First-Principles Study. Physica E 2019, 114, 113611. [Google Scholar] [CrossRef]
- Nayak, C.; Masanta, S.; Ghosh, S.; Moulick, S.; Pal, A.N.; Bose, I.; Singha, A. Valley Polarization and Photocurrent Generation in Transition Metal Dichalcogenide Alloy MoS2xSe2(1−x). Phys. Rev. B 2024, 109, 115304. [Google Scholar] [CrossRef]
- Zamanian, E.; Babaee Touski, S. Electronic, Rashba and Photocatalytic Properties of Janus XMoYZ2 (X = S, Se, Te; Y = Si, Ge and Z = N, P) Monolayers. Physica E 2024, 163, 116012. [Google Scholar] [CrossRef]
- Yu, S.-B.; Zhou, M.; Zhang, D.; Chang, K. Spin Hall Effect in the Monolayer Janus Compound MoSSe Enhanced by Rashba Spin-Orbit Coupling. Phys. Rev. B 2021, 104, 075435. [Google Scholar] [CrossRef]
- Lee, S.; Kwon, Y.-K. Unveiling Giant Hidden Rashba Effects in Two-Dimensional Si2Bi2. npj 2D Mater. Appl. 2020, 4, 45. [Google Scholar] [CrossRef]
- Freitas, R.R.Q.; De Brito Mota, F.; Rivelino, R.; De Castilho, C.M.C.; Kakanakova-Georgieva, A.; Gueorguiev, G.K. Spin-Orbit-Induced Gap Modification in Buckled Honeycomb XBi and XBi3 (X = B, Al, Ga, and In) Sheets. J. Phys. Condens. Matter 2015, 27, 485306. [Google Scholar] [CrossRef]
- Zhang, S.-H.; Liu, B.-G. Anisotropic Rashba Effect and Charge and Spin Currents in Monolayer BiTeI by Controlling Symmetry. Phys. Rev. B 2019, 100, 165429. [Google Scholar] [CrossRef]
- Sibatov, R.T.; Meftakhutdinov, R.M.; Kochaev, A.I. Asymmetric XMoSiN2 (X = S, Se, Te) Monolayers as Novel Promising 2D Materials for Nanoelectronics and Photovoltaics. Appl. Surf. Sci. 2022, 585, 152465. [Google Scholar] [CrossRef]
- Farooq, M.U.; Xian, L.; Huang, L. Spin Hall Effect in Two-Dimensional InSe: Interplay between Rashba and Dresselhaus Spin-Orbit Couplings. Phys. Rev. B 2022, 105, 245405. [Google Scholar] [CrossRef]
- Rezavand, A.; Ghobadi, N. Stacking-Dependent Rashba Spin-Splitting in Janus Bilayer Transition Metal Dichalcogenides: The Role of in-Plane Strain and out-of-Plane Electric Field. Physica E 2021, 132, 114768. [Google Scholar] [CrossRef]
- Andrews, N.L.P.; Fan, J.Z.; Forward, R.L.; Chen, M.C.; Loock, H.-P. Ideal strength and strain engineering of the Rashba effect in two-dimensional BiTeBr. Phys. Chem. Chem. Phys. 2017, 19, 73–81. [Google Scholar] [CrossRef] [PubMed]
- Hu, T.; Jia, F.; Zhao, G.; Wu, J.; Stroppa, A.; Ren, W. Intrinsic and Anisotropic Rashba Spin Splitting in Janus Transition-Metal Dichalcogenide Monolayers. Phys. Rev. B 2018, 97, 235404. [Google Scholar] [CrossRef]
- Singh, S.; Romero, A.H. Giant Tunable Rashba Spin Splitting in a Two-Dimensional BiSb Monolayer and in BiSb/AlN Heterostructures. Phys. Rev. B 2017, 95, 165444. [Google Scholar] [CrossRef]
- Su, J.; Wang, X.; Shao, C.; Guo, Y.; Xian, L. Strain-Controlled Rashba Spin-Orbit Coupling Effect in SnS and SnSe Monolayers. Mater. Des. 2021, 209, 110005. [Google Scholar] [CrossRef]
- Hong, Y.L.; Liu, Z.; Wang, L.; Zhou, T.; Ma, W.; Xu, C.; Feng, S.; Chen, L.; Chen, M.L.; Sun, D.M.; et al. Chemical vapor deposition of layered two-dimensional MoSi2N4 materials. Science 2020, 369, 670–674. [Google Scholar] [CrossRef] [PubMed]
- Dai, Z.; Liu, L.; Zhang, Z. Strain Engineering of 2D Materials: Issues and Opportunities at the Interface. Adv. Mater. 2019, 31, 1805417. [Google Scholar] [CrossRef] [PubMed]
- Kresse, G.; Furthmüller, J. Efficient Iterative Schemes for Ab Initio Total-Energy Calculations Using a Plane-Wave Basis Set. Phys. Rev. B 1996, 54, 11169–11186. [Google Scholar] [CrossRef]
- Perdew, J.P.; Burke, K.; Ernzerhof, M. Generalized Gradient Approximation Made Simple. Phys. Rev. Lett. 1996, 77, 3865–3868. [Google Scholar] [CrossRef]
- Blöchl, P.E. Projector Augmented-Wave Method. Phys. Rev. B 1994, 50, 17953–17979. [Google Scholar] [CrossRef]
- Bader, R.F.W.; Henneker, W.H.; Cade, P.E. Molecular Charge Distributions and Chemical Binding. Chem. Phys. 1967, 46, 3341–3363. [Google Scholar] [CrossRef]
- Togo, A.; Chaput, L.; Tadano, T.; Tanaka, I. Implementation Strategies in Phonopy and Phono3py. J. Phys. Condens. Matter 2023, 35, 353001. [Google Scholar] [CrossRef]
- Baroni, S.; De Gironcoli, S.; Dal Corso, A.; Giannozzi, P. Phonons and Related Crystal Properties from Density-Functional Perturbation Theory. Rev. Mod. Phys. 2001, 73, 515–562. [Google Scholar] [CrossRef]
- Togo, A.; Tanaka, I. First Principles Phonon Calculations in Materials Science. Scr. Mater. 2015, 108, 1–5. [Google Scholar] [CrossRef]
- Pallikara, I.; Kayastha, P.; Skelton, J.M.; Whalley, L.D. The Physical Significance of Imaginary Phonon Modes in Crystals. Electron. Struct. 2022, 4, 033002. [Google Scholar] [CrossRef]











| α(Å), a = b | Ref. [22] | lX-Mo (Å) | lMo-Z1 (Å) | lZ1-Y (Å) | lY-Z2 (Å) | |
|---|---|---|---|---|---|---|
| SeMoGeN2 | 3.103 | 3.100 | 2.511 | 2.137 | 1.882 | 1.881 |
| SeMoGeP2 | 3.478 | 3.471 | 2.585 | 2.449 | 2.325 | 2.300 |
| SeMoSiN2 | 3.013 | 3.009 | 2.499 | 2.115 | 1.752 | 1.802 |
| SeMoSiP2 | 3.428 | 3.421 | 2.574 | 2.439 | 2.239 | 2.236 |
| SMoGeN2 | 3.067 | 3.067 | 2.390 | 2.132 | 1.878 | 1.867 |
| SMoGeP2 | 3.436 | 3.434 | 2.473 | 2.444 | 2.324 | 2.288 |
| SMoSiN2 | 2.980 | 2.980 | 2.374 | 2.109 | 1.751 | 1.786 |
| SMoSiP2 | 3.386 | 3.385 | 2.461 | 2.434 | 2.239 | 2.223 |
| TeMoGeN2 | 3.169 | 3.169 | 2.696 | 2.150 | 1.889 | 1.908 |
| TeMoGeP2 | 3.545 | 3.542 | 2.750 | 2.460 | 2.328 | 2.320 |
| TeMoSiN2 | 3.077 | 3.077 | 2.690 | 2.130 | 1.755 | 1.833 |
| TeMoSiP2 | 3.493 | 3.493 | 2.743 | 2.448 | 2.240 | 2.256 |
| Δφ | Se/S/Te | Mo | N/P | Ge/Si | N/P | |
|---|---|---|---|---|---|---|
| SeMoGeN2 | 0.232 | −0.281 | 0.988 | −1.191 | 1.861 | −1.377 |
| SeMoGeP2 | 0.018 | −0.556 | 0.934 | −0.048 | −0.279 | −0.050 |
| SeMoSiN2 | 0.194 | −0.464 | 1.299 | −1.680 | 2.918 | −2.073 |
| SeMoSiP2 | 0 | −0.161 | 0.209 | −0.012 | 0.748 | −0.783 |
| SMoGeN2 | 0.027 | −0.522 | 1.244 | −1.215 | 1.893 | −1.400 |
| SMoGeP2 | −0.156 | −0.292 | 0.200 | 0.380 | −0.279 | −0.008 |
| SMoSiN2 | 0 | −0.537 | 1.317 | −1.647 | 3.000 | −2.133 |
| SMoSiP2 | −0.224 | −0.225 | 0.001 | 0.233 | 0.822 | −0.831 |
| TeMoGeN2 | 0.460 | −0.385 | 1.254 | −1.347 | 1.825 | −1.347 |
| TeMoGeP2 | 0.176 | 0.221 | −0.321 | 0.248 | −0.330 | 0.183 |
| TeMoSiN2 | 0.492 | −0.167 | 0.885 | −1.613 | 2.737 | −1.842 |
| TeMoSiP2 | 0.182 | −0.147 | 0.211 | −0.494 | 0.999 | −0.569 |
| VBM | CBM | Type | Location | Eg (PBE + SOC) | |
|---|---|---|---|---|---|
| SeMoGeN2 | Γ | K | I | 1.448 | |
| SeMoGeP2 | Γ | K | I | VBM | 0.791 |
| SeMoSiN2 | Γ | Γ→K | I | VBM | 1.774 |
| SeMoSiP2 | K | K | D | 0.912 | |
| SMoGeN2 | Γ | K | I | 1.512 | |
| SMoGeP2 | Γ | K | I | VBM | 0.510 |
| SMoSiN2 | K | K | D | 2.081 | |
| SMoSiP2 | Γ | K | I | VBM | 0.803 |
| TeMoGeN2 | Γ | K | I | 1.022 | |
| TeMoGeP2 | Γ | K | I | VBM | 0.761 |
| TeMoSiN2 | M | Γ→K | I | 1.077 | |
| TeMoSiP2 | K | K | D | 0.914 |
| Uniaxial Strain (%) | Biaxial Strain (%) | ||||||||
|---|---|---|---|---|---|---|---|---|---|
| ΔEΓ→M | ΔkΓ→M | ΔEΓ→K | ΔkΓ→K | ΔEΓ→M | ΔkΓ→M | ΔEΓ→K | ΔkΓ→K | ||
| TeMoGeP2 | −5 | 0.00044 | 0.00355 | 0.00030 | 0.00399 | ||||
| −4 | 0.00093 | 0.00704 | 0.00061 | 0.00796 | 0.06253 | 0.15989 | 0.07630 | 0.21745 | |
| −3 | 0.00487 | 0.01746 | 0.00285 | 0.01587 | 0.04990 | 0.14769 | 0.05651 | 0.18272 | |
| −2 | 0.03415 | 0.09004 | 0.02741 | 0.09502 | 0.03818 | 0.12878 | 0.04120 | 0.14871 | |
| −1 | 0.03054 | 0.09967 | 0.02836 | 0.10662 | 0.03016 | 0.11370 | 0.03165 | 0.12333 | |
| 0 | 0.02505 | 0.09892 | 0.02719 | 0.10634 | 0.02505 | 0.09892 | 0.02590 | 0.10634 | |
| 1 | 0.02049 | 0.09500 | 0.02336 | 0.10215 | 0.02185 | 0.08781 | 0.02241 | 0.09359 | |
| 2 | 0.01694 | 0.09075 | 0.02108 | 0.09799 | 0.01944 | 0.08026 | 0.01987 | 0.08109 | |
| 3 | 0.01424 | 0.08342 | 0.01910 | 0.09776 | 0.01656 | 0.06955 | 0.01688 | 0.07265 | |
| 4 | 0.01228 | 0.07952 | 0.01751 | 0.09363 | 0.01212 | 0.05903 | 0.01232 | 0.06060 | |
| 5 | 0.01091 | 0.07567 | 0.01625 | 0.08953 | 0.00658 | 0.04548 | 0.00667 | 0.04877 | |
| TeMoSiN2 | −5 | 0.00005 | 0.00408 | 0.00031 | 0.00920 | ||||
| −4 | 0.00010 | 0.00405 | 0.00032 | 0.00917 | |||||
| −3 | 0.00050 | 0.01206 | 0.00054 | 0.01372 | |||||
| −2 | 0.00544 | 0.04788 | 0.00278 | 0.04105 | |||||
| −1 | 0.04255 | 0.13066 | 0.04613 | 0.19107 | |||||
| 0 | 0.04271 | 0.13754 | 0.04883 | 0.16790 | 0.04271 | 0.13754 | 0.04883 | 0.16790 | |
| 1 | 0.03727 | 0.14043 | 0.04587 | 0.16295 | 0.03716 | 0.14397 | 0.04032 | 0.15725 | |
| 2 | 0.03441 | 0.13940 | 0.04452 | 0.15804 | 0.03470 | 0.14640 | 0.03683 | 0.15571 | |
| 3 | 0.03398 | 0.14224 | 0.04470 | 0.15768 | 0.03571 | 0.15261 | 0.03751 | 0.15860 | |
| 4 | 0.03576 | 0.14505 | 0.04640 | 0.16181 | 0.04005 | 0.15871 | 0.04190 | 0.16580 | |
| 5 | 0.03962 | 0.15162 | 0.04958 | 0.16593 | 0.05822 | 0.17216 | 0.06041 | 0.17719 | |
| TeMoSiP2 | −5 | 0.06197 | 0.16197 | 0.04332 | 0.19000 | ||||
| −4 | 0.06223 | 0.16067 | 0.04805 | 0.17400 | |||||
| −3 | 0.04784 | 0.15232 | 0.03856 | 0.15700 | 0.05053 | 0.15346 | 0.05860 | 0.18545 | |
| −2 | 0.03634 | 0.14060 | 0.03145 | 0.14500 | 0.03582 | 0.14483 | 0.03938 | 0.16315 | |
| −1 | 0.02745 | 0.12906 | 0.02596 | 0.13225 | 0.02611 | 0.12938 | 0.02777 | 0.14132 | |
| 0 | 0.02087 | 0.11770 | 0.02178 | 0.12392 | 0.02087 | 0.11770 | 0.02178 | 0.12392 | |
| 1 | 0.01600 | 0.10652 | 0.01848 | 0.11564 | 0.01874 | 0.10968 | 0.01938 | 0.11478 | |
| 2 | 0.01243 | 0.09551 | 0.01585 | 0.10740 | 0.01885 | 0.10521 | 0.01943 | 0.10973 | |
| 3 | 0.00990 | 0.08805 | 0.01382 | 0.10318 | 0.02045 | 0.10756 | 0.02110 | 0.11254 | |
| 4 | 0.00813 | 0.08069 | 0.01226 | 0.09899 | 0.02219 | 0.10984 | 0.02301 | 0.11531 | |
| 5 | 0.00697 | 0.07679 | 0.01114 | 0.09482 | 0.02226 | 0.11539 | 0.02326 | 0.12182 | |
| Electric Field (V/Å) | |||||
|---|---|---|---|---|---|
| ΔEΓ→M | ΔkΓ→M | ΔEΓ→K | ΔkΓ→K | ||
| SeMoGeP2 | −0.3 | 0.01040 | 0.05215 | 0.01051 | 0.05219 |
| −0.2 | 0.00946 | 0.05215 | 0.00955 | 0.05219 | |
| −0.1 | 0.00853 | 0.05215 | 0.00861 | 0.05621 | |
| 0 | 0.00833 | 0.05215 | 0.00841 | 0.05621 | |
| 0.1 | 0.00680 | 0.05215 | 0.00686 | 0.05621 | |
| 0.2 | 0.00583 | 0.05215 | 0.00588 | 0.05219 | |
| 0.3 | 0.00511 | 0.05215 | 0.00515 | 0.05219 | |
| 0.4 | 0.00425 | 0.05215 | 0.00428 | 0.05219 | |
| TeMoGeP2 | −0.1 | 0.02853 | 0.07845 | 0.02943 | 0.08271 |
| 0 | 0.02485 | 0.09892 | 0.02568 | 0.10634 | |
| 0.1 | 0.01980 | 0.10574 | 0.02043 | 0.11028 | |
| 0.2 | 0.01202 | 0.10574 | 0.01237 | 0.11028 | |
| 0.3 | 0.03903 | 0.21830 | 0.04359 | 0.24814 | |
| 0.4 | 0.13178 | 0.27970 | 0.16082 | 0.33085 | |
| TeMoSiP2 | −0.3 | 0.04419 | 0.09346 | 0.04618 | 0.10393 |
| −0.2 | 0.03358 | 0.11077 | 0.03520 | 0.11992 | |
| −0.1 | 0.02660 | 0.11770 | 0.02787 | 0.12392 | |
| 0 | 0.02082 | 0.11770 | 0.02173 | 0.12392 | |
| 0.1 | 0.01385 | 0.11077 | 0.01434 | 0.11593 | |
| 0.2 | 0.00509 | 0.09000 | 0.00521 | 0.09194 | |
| 0.3 | 0.02948 | 0.23540 | 0.04291 | 0.31579 | |
| 0.4 | 0.12588 | 0.29079 | 0.17120 | 0.35976 | |
Disclaimer/Publisher’s Note: The statements, opinions and data contained in all publications are solely those of the individual author(s) and contributor(s) and not of MDPI and/or the editor(s). MDPI and/or the editor(s) disclaim responsibility for any injury to people or property resulting from any ideas, methods, instructions or products referred to in the content. |
© 2026 by the authors. Licensee MDPI, Basel, Switzerland. This article is an open access article distributed under the terms and conditions of the Creative Commons Attribution (CC BY) license.
Share and Cite
Liu, X.; Li, M.; Shang, N.; Guo, P.; Song, H.; Zhao, B.; Li, L.; Wang, J. Enhanced Rashba Effect and Optical Absorption in 2D Janus XMoYZ2 (X = S/Se/Te; Y = Si/Ge; Z = N/P): A First-Principles Study. Nanomaterials 2026, 16, 358. https://doi.org/10.3390/nano16060358
Liu X, Li M, Shang N, Guo P, Song H, Zhao B, Li L, Wang J. Enhanced Rashba Effect and Optical Absorption in 2D Janus XMoYZ2 (X = S/Se/Te; Y = Si/Ge; Z = N/P): A First-Principles Study. Nanomaterials. 2026; 16(6):358. https://doi.org/10.3390/nano16060358
Chicago/Turabian StyleLiu, Xiaochuan, Meng Li, Ningru Shang, Peng Guo, Hongyue Song, Bin Zhao, Lin Li, and Jianjun Wang. 2026. "Enhanced Rashba Effect and Optical Absorption in 2D Janus XMoYZ2 (X = S/Se/Te; Y = Si/Ge; Z = N/P): A First-Principles Study" Nanomaterials 16, no. 6: 358. https://doi.org/10.3390/nano16060358
APA StyleLiu, X., Li, M., Shang, N., Guo, P., Song, H., Zhao, B., Li, L., & Wang, J. (2026). Enhanced Rashba Effect and Optical Absorption in 2D Janus XMoYZ2 (X = S/Se/Te; Y = Si/Ge; Z = N/P): A First-Principles Study. Nanomaterials, 16(6), 358. https://doi.org/10.3390/nano16060358

