Improved Selectivity of CeMnOx/Pt@SnO2 Laminated MOS Sensor for Hydrogen Cyanide Under Temperature Dynamic Modulation
Abstract
1. Introduction
2. Materials and Methods
2.1. Preparation of Layer Materials
2.1.1. Preparation of Pt@SnO2 Slurry
2.1.2. Preparation of CeMnOx Slurry
2.2. Preparation of the Catalytic Layer/Gas-Sensitive Layer MOS Sensor
2.3. Test Platform
2.4. Battlefield Environment Simulation Gases
3. Results and Discussion
3.1. Characterization of Material
3.2. Selectivity
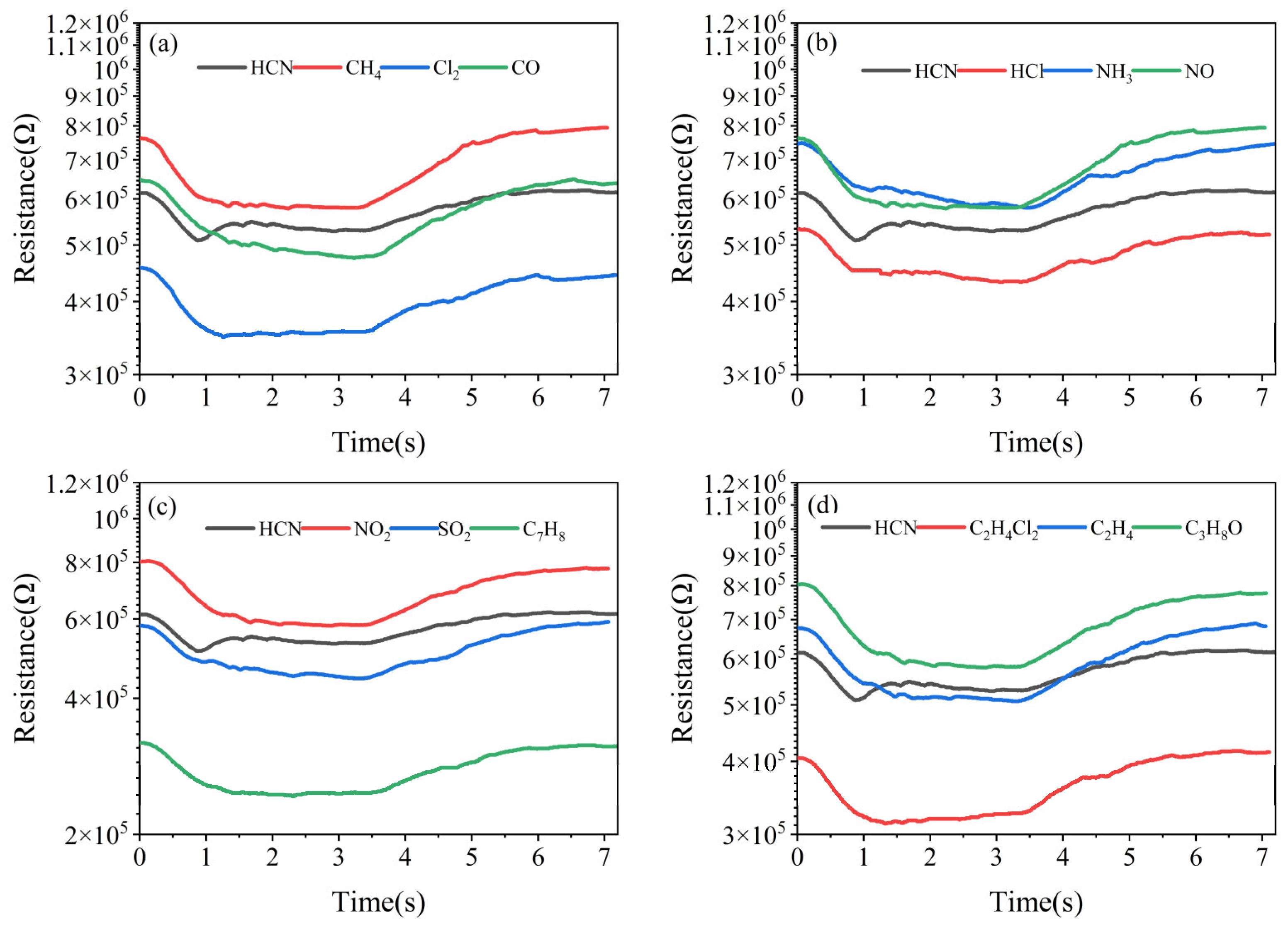
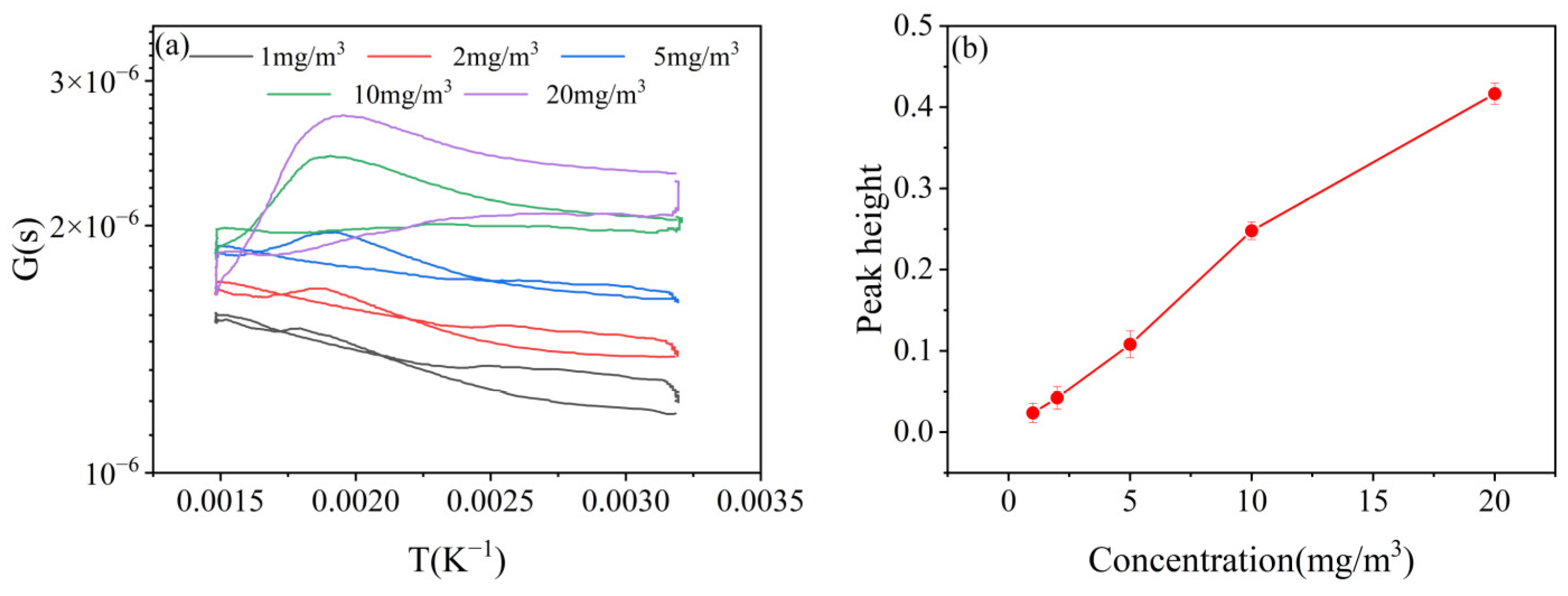
3.2.1. Appearance of Characteristic Peaks
3.2.2. Definition of Peak Height
3.2.3. Selectivity Evaluation
3.3. Sensitivity
3.4. Response/Recovery Time
3.5. Stability
3.6. Anti-Interference
3.7. Sensing Mechanisms of High Selectivity
3.7.1. The Sensing Mechanism of Pt@SnO2 Gas-Sensitive Layer for HCN
3.7.2. High Selective Catalysis of HCN by CeMnOx Catalytic Layer
3.7.3. Generation Mechanism of the Characteristic Peak
4. Conclusions
Author Contributions
Funding
Data Availability Statement
Conflicts of Interest
References
- Tran, Q.B.; Phenrat, T.; Lohitnavy, M. Physiologically based pharmacokinetic modeling of hydrogen cyanide in humans following the oral administration of potassium cyanide and cyanogenic glycosides from food. Hum. Ecol. Risk Assess. 2020, 26, 1496–1511. [Google Scholar] [CrossRef]
- Sehrawat, A.; Sindhu, S.S.; Glick, B.R. Hydrogen cyanide production by soil bacteria: Biological control of pests and promotion of plant growth in sustainable agriculture. Pedosphere 2022, 32, 15–38. [Google Scholar] [CrossRef]
- Destanoğlu, O.; Ateş, İ. Headspace gas chromatography–mass spectrometry method for the determination of total cyanide concentration in water and post-mortem blood samples. J. Serb. Chem. Soc. 2021, 86, 77–90. [Google Scholar] [CrossRef]
- Bocos-Bintintan, V.; Ratiu, I.A. Fast sensing of hydrogen cyanide (Hcn) vapors using a hand-held ion mobility spectrometer with nonradioactive ionization source. Sensors 2021, 21, 5045. [Google Scholar] [CrossRef]
- Freitas, D.; Pansini, F.; Varandas, A. Linear and cyclic (HCN) n clusters: A DFT study of IR and Raman spectra. Chem. Phys. Lett. 2023, 828, 140734. [Google Scholar] [CrossRef]
- Xie, X.J.; Si, R.J.; Zheng, J.; Wei, K.; Zheng, X.Y.; Chen, C.; Wang, C.C. Synthesis of ZnO/NiO hollow spheres and their humidity sensing performance. J. Alloys Compd. 2021, 879, 160487. [Google Scholar] [CrossRef]
- Xiong, Y.; Zhu, Z.; Guo, T.; Li, H.; Xue, Q. Synthesis of nanowire bundle-like WO3-W18O49 heterostructures for highly sensitive NH3 sensor application. J. Hazard. Mater. 2018, 353, 290–299. [Google Scholar] [CrossRef] [PubMed]
- Shooshtari, M. Ammonia gas sensors based on multi-wall carbon nanofiber field effect transistors by using gate modulation. Colloids Surf. A 2025, 704, 135563. [Google Scholar] [CrossRef]
- Cai, Z.X.; Li, H.Y.; Ding, J.C.; Guo, X. Hierarchical flowerlike WO3 nanostructures assembled by porous nanoflakes for enhanced NO gas sensing. Sens. Actuators B Chem. 2017, 246, 225–234. [Google Scholar] [CrossRef]
- Gu, H.; Wang, Z.; Hu, Y. Hydrogen gas sensors based on semiconductor oxide nanostructures. Sensors 2012, 12, 5517–5550. [Google Scholar] [CrossRef]
- Postica, V.; Vahl, A.; Strobel, J.; Santos-Carballal, D.; Lupan, O.; Cadi-Essadek, A.; De Leeuw, N.H.; Schütt, F.; Polonskyi, O.; Strunskus, T.; et al. Tuning doping and surface functionalization of columnar oxide films for volatile organic compound sensing: Experiments and theory. J. Mater. Chem. A 2018, 6, 23669–23682. [Google Scholar] [CrossRef]
- Ivanovskaya, M.; Kotsikau, D.; Faglia, G.; Nelli, P.; Irkaev, S. Gas-sensitive properties of thin film heterojunction structures based on Fe2O3-In2O3 nanocomposites. Sens. Actuators B Chem. 2003, 93, 422–430. [Google Scholar] [CrossRef]
- Gao, Y.; Chen, D.; Hou, X.; Zhang, Y.; Yi, S.; Ji, H.; Wang, Y.; Yin, L.; Sun, J. Microwave-assisted synthesis of hierarchically porous Co3O4/rGO nanocomposite for low-temperature acetone detection. J. Colloid. Interface Sci. 2021, 594, 690–701. [Google Scholar] [CrossRef] [PubMed]
- Wang, Y.; Cui, Y.; Meng, X.; Zhang, Z.; Cao, J. A gas sensor based on Ag-modified ZnO flower-like microspheres: Temperature-modulated dual selectivity to CO and CH4. Surf. Interfaces 2021, 24, 101110. [Google Scholar] [CrossRef]
- Xu, Y.; Zhao, X.; Chen, Y.; Zhao, W. Research on a mixed gas recognition and concentration detection algorithm based on a metal oxide semiconductor olfactory system sensor array. Sensors 2018, 18, 3264. [Google Scholar] [CrossRef] [PubMed]
- Choi, Y.J.; Seeley, Z.; Bandyopadhyay, A.; Bose, S.; Akbar, S.A. Aluminum-doped TiO2 nano-powders for gas sensors. Sens. Actuators B Chem. 2007, 124, 111–117. [Google Scholar] [CrossRef]
- Poloju, M.; Jayababu, N.; Reddy, M.R. Improved gas sensing performance of Al doped ZnO/CuO nanocomposite based ammonia gas sensor. Mater. Sci. Eng. B 2018, 227, 61–67. [Google Scholar] [CrossRef]
- Hassan, K.; Hossain, R.; Sahajwalla, V. Novel microrecycled ZnO nanoparticles decorated macroporous 3D graphene hybrid aerogel for efficient detection of NO2 at room temperature. Sens. Actuators B Chem. 2021, 330, 129278. [Google Scholar] [CrossRef]
- Duan, Q.; Zhang, W.; Li, L.; Ying, B.; Li, T.; Chen, B.; Li, H.; Liu, H. W-CeO2 nanospheres gas sensor array for accurate and selective H2S detection in exhaled breath. Chem. Eng. J. 2024, 479, 147748. [Google Scholar] [CrossRef]
- Si, R.; Xu, Y.; Shen, C.; Jiang, H.; Lei, M.; Guo, X.; Xie, S.; Gao, S.; Zhang, S. High-selectivity laminated gas sensor based on characteristic peak under temperature modulation. ACS Sens. 2024, 9, 674–688. [Google Scholar] [CrossRef]
- Vuong, N.M.; Kim, D.; Kim, H. Surface gas sensing kinetics of a WO3 nanowire sensor: Part 2—Reducing gases. Sens. Actuators B Chem. 2016, 224, 425–433. [Google Scholar] [CrossRef]
- Parret, F.; Ménini, P.; Martinez, A.; Soulantica, K.; Maisonnat, A.; Chaudret, B. Improvement of micromachined SnO2 gas sensors selectivity by optimised dynamic temperature operating mode. Sens. Actuators B Chem. 2006, 118, 276–282. [Google Scholar] [CrossRef]
- Yang, L.; Xie, C.; Zhang, G.; Zhao, J.; Yu, X.; Zeng, D.; Zhang, S. Enhanced response to NO2 with CuO/ZnO laminated heterostructured configuration. Sens. Actuators B Chem. 2014, 195, 500–508. [Google Scholar] [CrossRef]
- Jeong, S.Y.; Moon, Y.K.; Wang, J.; Lee, J.H. Exclusive detection of volatile aromatic hydrocarbons using bilayer oxide chemiresistors with catalytic overlayers. Nat. Commun. 2023, 14, 233. [Google Scholar] [CrossRef]
- Yang, L.; Qin, M.; Zhang, G.; Yang, J.; Yang, J.; Zhao, J. Progress of sensitive materials in chemiresistive sensors for detecting chemical warfare agent simulants: A review. Rev. Anal. Chem. 2023, 42, 20220052. [Google Scholar] [CrossRef]
- Ponzoni, A.; Comini, E.; Concina, I.; Ferroni, M.; Falasconi, M.; Gobbi, E.; Sberveglieri, V.; Sberveglieri, G. Nanostructured metal oxide gas sensors, a survey of applications carried out at sensor lab, Brescia (Italy) in the security and food quality fields. Sensors 2012, 12, 17023–17045. [Google Scholar] [CrossRef]
- Choi, N.J.; Ban, T.H.; Kwak, J.H.; Lim, Y.T.; Joo, B.S.; Kim, J.C.; Huh, J.S.; Lee, D.D. Thin film gas sensors based on tin oxide for acetonitrile. J. Sens. Sci. Technol. 2004, 13, 218–223. [Google Scholar] [CrossRef]
- Nair, M.M.; Iacoban, A.C.; Neaţu, F.; Florea, M.; Neaţu, Ş. A comparative overview of MXenes and metal oxides as cocatalysts in clean energy production through photocatalysis. Chem. Eng. J. 2018, 333, 402–413. [Google Scholar] [CrossRef]
- Wang, Q.; Wang, X.; Wang, L.; Hu, Y.; Ning, P.; Ma, Y.; Tan, L. Catalytic oxidation and hydrolysis of HCN over LaxCuy/TiO2 catalysts at low temperatures. Micropor. Mesopor. Mater. 2019, 282, 260–268. [Google Scholar] [CrossRef]
- Neatu, S.; Trandafir, M.M.; Stănoiu, A.; Florea, O.G.; Simion, C.E.; Leonat, L.N.; Cobianu, C.; Gheorghe, M.; Florea, M.; Neatu, F. Bulk versus surface modification of alumina with Mn and Ce based oxides for CH4 catalytic combustion. Materials 2019, 12, 1771. [Google Scholar] [CrossRef] [PubMed]
- Wang, X.; Sun, R.; Wang, L.; Xie, Y.; Tao, L.; Ma, Y.; Ning, P. Coupled Catalytic Oxidation-Reduction and Hydrolysis with Ce1Mn2 Catalysts for HCN and NO Removal. Energy Fuels 2020, 34, 8543–8551. [Google Scholar] [CrossRef]
- Shaffer, R.E.; Rose-Pehrsson, S.L. Improved probabilistic neural network algorithm for chemical sensor array pattern recognition. Anal. Chem. 1999, 71, 4263–4271. [Google Scholar] [CrossRef] [PubMed]
- Esfandiar, A.; Ghasemi, S.; Irajizad, A.; Akhavan, O.; Gholami, M.R. The decoration of TiO2/reduced graphene oxide by Pd and Pt nanoparticles for hydrogen gas sensing. Int. J. Hydrogen Energy 2012, 37, 15423–15432. [Google Scholar] [CrossRef]
- Kim, N.H.; Choi, S.J.; Kim, S.J.; Cho, H.J.; Jang, J.S.; Koo, W.T.; Kim, M.; Kim, I.D. Highly sensitive and selective acetone sensing performance of WO3 nanofibers functionalized by Rh2O3 nanoparticles. Sens. Actuators B Chem. 2016, 224, 185–192. [Google Scholar] [CrossRef]
- Simion, C.E.; Florea, O.G.; Florea, M.; Neaţu, F.; Neaţu, Ş.; Trandafir, M.M.; Stănoiu, A. CeO2: Mn3O4 Catalytic Micro-Converters Tuned for CH4 Detection Based on Catalytic Combustion under Real Operating Conditions. Materials 2020, 13, 2196. [Google Scholar] [CrossRef] [PubMed]
















| Diesel and Aviation Fuel Exhaust | Vegetation-Burning Smoke | Bleach Vapor | |||
|---|---|---|---|---|---|
| Carbon Monoxide | Carbon Dioxide | Carbon Monoxide | Carbon Dioxide | Hydrogen Chloride | Chlorine |
| Hydrocarbon | Oxynitride | Hydrocarbon | Oxynitride | ||
| Sulfur dioxide | Water | ||||
| Nitrogen | |||||
| Group Number | Gas Composition | |||
|---|---|---|---|---|
| 1 | HCN | Carbon monoxide | Nitric oxide | Nitrogen dioxide |
| 2 | HCN | Methane | Ethene | Toluene |
| 3 | HCN | Hydrogen chloride | Chlorine | Ammonia |
| 4 | HCN | Sulfur dioxide | Dichloroethane | Isopropyl alcohol |
Disclaimer/Publisher’s Note: The statements, opinions and data contained in all publications are solely those of the individual author(s) and contributor(s) and not of MDPI and/or the editor(s). MDPI and/or the editor(s) disclaim responsibility for any injury to people or property resulting from any ideas, methods, instructions or products referred to in the content. |
© 2025 by the authors. Licensee MDPI, Basel, Switzerland. This article is an open access article distributed under the terms and conditions of the Creative Commons Attribution (CC BY) license (https://creativecommons.org/licenses/by/4.0/).
Share and Cite
Liu, Y.; Qi, Y.; Yang, W.; Ma, T.; Zhang, S.; Liang, T. Improved Selectivity of CeMnOx/Pt@SnO2 Laminated MOS Sensor for Hydrogen Cyanide Under Temperature Dynamic Modulation. Nanomaterials 2025, 15, 155. https://doi.org/10.3390/nano15030155
Liu Y, Qi Y, Yang W, Ma T, Zhang S, Liang T. Improved Selectivity of CeMnOx/Pt@SnO2 Laminated MOS Sensor for Hydrogen Cyanide Under Temperature Dynamic Modulation. Nanomaterials. 2025; 15(3):155. https://doi.org/10.3390/nano15030155
Chicago/Turabian StyleLiu, Yadong, Yelin Qi, Wen Yang, Tengbo Ma, Shunping Zhang, and Ting Liang. 2025. "Improved Selectivity of CeMnOx/Pt@SnO2 Laminated MOS Sensor for Hydrogen Cyanide Under Temperature Dynamic Modulation" Nanomaterials 15, no. 3: 155. https://doi.org/10.3390/nano15030155
APA StyleLiu, Y., Qi, Y., Yang, W., Ma, T., Zhang, S., & Liang, T. (2025). Improved Selectivity of CeMnOx/Pt@SnO2 Laminated MOS Sensor for Hydrogen Cyanide Under Temperature Dynamic Modulation. Nanomaterials, 15(3), 155. https://doi.org/10.3390/nano15030155
